Electrical Engineering (EE) Exam  >  Electrical Engineering (EE) Notes  >  Basic Electrical Technology  >  Study of Electro Dynamic Type Instruments

Study of Electro Dynamic Type Instruments | Basic Electrical Technology - Electrical Engineering (EE) PDF Download

Objectives 

  • To understand the basic construction of a dynamometer instrument.
  • Explain basic operation and development of torque expressions for ammeter, voltmeter and wattmeter.
  • Study of ammeter, voltmeter and wattmeter connections.  
  • To investigate the errors involve in wattmeter readings and its compensation.
  • Understanding the effect of inductance of voltage coil (moving coil) on the wattmeter readings.

Introduction 

Electrodynamic type instruments are similar to the PMMC-type elements except that the magnet is replaced by two serially connected fixed coils that produce the magnetic field when energized (see Fig.43.1). The fixed coils are spaced far enough apart to allow passage of the shaft of the movable coil. The movable coil carries a pointer, which is balanced by counter weights. Its rotation is controlled by springs. The motor torque is proportional to the product of the currents in the moving and fixed coils. If the current is reversed, the field polarity and the polarity of the moving coil reverse at the same time, and the turning force continues in the original direction. Since the reversing the current direction does not reverse the turning force, this type of instruments can be used to measure AC or DC current, voltage, or its major application as a wattmeter for power measurement. In the first two cases, the moving and fixed are serially connected.

For power measurement, one of the coils (usually the fixed coils) passes the load current and other coil passes a current proportional to the load voltage. Air friction damping is employed for these instruments and is provided by a pair of Aluminum-vanes attached to the spindle at the bottom.  These vanes move in a sector shaped chamber. Cost and performance compared with the other types of instruments restrict the use of this design to AC or DC power measurement. Electro-dynamic meters are typically expensive but have the advantage of being more accurate than moving coil and moving iron instrument but its sensitivity is low. Similar to moving iron vane instruments, the electro dynamic instruments are true RMS responding meters. When electro dynamic instruments used for power measurement its scale is linear because it predicts the average power delivered to the load and it is calibrated in average values for AC. Voltage, current and power can all be measured if the fixed and moving coils are connected appropriately. Other parts of the instruments are described briefly below: 

Study of Electro Dynamic Type Instruments | Basic Electrical Technology - Electrical Engineering (EE)

Electro dynamic (or Dynamometer) type Instruments:

Fixed coil: The magnetic field is produced by the fixed coil which is divided into two sections to give more uniform field near the centre and to allow passage of the instrument shaft.

Moving coil: The moving coil is wound either as a self-sustaining coil or else on a nonmagnetic former.  A metallic former cannot be used, as eddy currents would be induced in it by alternating field.  Light but rigid construction is used for the moving coil.  It should be noted that both fixed and moving coils are air cored.

Springs: The controlling torque is provided by two control springs.  These hairsprings also act as leads of current to the moving coil. Dampers:  Air friction damping is employed for these instruments and is provided by a pair of Aluminum-vanes attached to the spindle at the bottom.  These vanes move in a sector shaped chamber. 

Shielding:  Since the magnetic field produced by fixed coils is weaker than that in other types of instruments, these meters need a special magnetic shielding. Electro-dynamic instruments are effectively shielded from the effects of external magnetic fields by enclosing the mechanism in a laminated iron hollow cylinder with closed ends.

Operating Principle

Let us consider the currents in the fixed and moving coils are iand im respectively.  The action of electrodynamic instrument depends upon the force exerted between fixed and moving coils carrying current. The flux density B (wb/m2 ) produced by the fixed coil is proportional to i(fixed coil current). The force on the conductors of the moving coil, for a given strength field,will proportional to im (moving coil current) and the number of turns ‘ ’ of the moving coil.  In case of ammeter and voltmeter fixed and moving coils are connected in series and the developed torque is due to the interaction of the magnetic fields produced by currents in the fixed and moving coils and thus it will be proportional to i2 ( if =im =i ).  Thus, dynamic instruments can be used for dc and ac measurements. 

Expression for developed torque: 

Case-a: Torque expression based on energy concept 

Let us assume that the fixed and moving coils having self-inductances Land Lrespectively.  Further it is assumed that the mutual inductance between the fixed and movable coils is M .  

Total energy stored in the magnetic field of the coils is given by  

Study of Electro Dynamic Type Instruments | Basic Electrical Technology - Electrical Engineering (EE)

where iand  iare the currents through the fixed and moving coils.  From equation (43.1) one can write the expression for torque developed as 

Study of Electro Dynamic Type Instruments | Basic Electrical Technology - Electrical Engineering (EE)

Note Lf and Lm are not functions of θ but the mutual inductance ‘ M ’ between the coils is a function of the deflection θ (i.e relative position of moving coil). The equivalent inductance between fixed and moving coils can be found out as  

Leq =Lf+ Lm + 2M (cumulative manner) and from this one can find the mutual inductance between them as 

Study of Electro Dynamic Type Instruments | Basic Electrical Technology - Electrical Engineering (EE)

With all deflection type instruments, however, the mutual inductance varies with the relative positions of the moving and fixed coils. The maximum value Mmax of the mutual inductance occurs when the axes of the moving and fixed coils are aligned with θ = 180º, as this position gives the maximum flux linkage between coils. When θ = 0º,M=-  Mmax  If the plane of the moving coil is at an angle θ with the direction of B that produced by the fixed coil, then the mutual inductance M is expressed by  

M = - Mmax cosθ 

D.C operation:  Expression (43.2) for the developed torque is rewritten by setting if =If (d.c) and im=I(d.c)

Study of Electro Dynamic Type Instruments | Basic Electrical Technology - Electrical Engineering (EE)

If the control is due to spiral springs, the controlling torque is proportional to the angle of deflection θ. Controlling torque Tc =ks θ 

where ks is the spring constant. 

Note that Td = Tat steady deflection, i.e, 

Study of Electro Dynamic Type Instruments | Basic Electrical Technology - Electrical Engineering (EE)

A.C operation:  The dynamometer instrument is used to measure alternating current or voltage, the moving coil–due to its inertia takes up a position where the average deflecting torque over a complete cycle is balanced by the restoring torque of the spiral spring.  The deflecting torque is proportional to the mean value of the square of the current or voltage (note both coils are connected in series for ammeters or voltmeters), and the instrument scale can therefore be calibrated to read r.m.s values of alternating current or voltage. 

Average deflecting torque 

Study of Electro Dynamic Type Instruments | Basic Electrical Technology - Electrical Engineering (EE)

Let if (t) = I max,f sinω t , im (t)= Imax .m sin(ω t −α ) where ‘α’ is the phase–angle between two currents

Study of Electro Dynamic Type Instruments | Basic Electrical Technology - Electrical Engineering (EE)

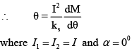
where I1 and I2 are the r.m.s values of fixed and moving coil currents.  In steady state condition of deflection,

Study of Electro Dynamic Type Instruments | Basic Electrical Technology - Electrical Engineering (EE)

In case of ammeter or voltmeter, both the coils are connected in series and the same current is flowing through the coils.  Equation (43.8) can be written as  

 

Study of Electro Dynamic Type Instruments | Basic Electrical Technology - Electrical Engineering (EE)

Case-b:  Torque expression based on electro-magnetic force concept 

 Fig. 43.1(b) shows that the torque exerted in all electro-dynamic instruments depend upon the current im flowing through the moving coil and the magnetic flux density B  which is directly proportional to the current if through the fixed coil. 

Study of Electro Dynamic Type Instruments | Basic Electrical Technology - Electrical Engineering (EE)

The torque acting upon the moving coil can be easily calculated if the flux density  is assumed constant throughout the space occupied by the moving coil. 

 Consider the length of the coil is l and the width is '2r', then when a current im flows through it, the force acting on the top portion of the moving coil of  turns is f=NBliand hence the resulting torque Td is f = 2 NBl imr .If the plane of the moving coil is at an angle φ with the direction of , then resulting clockwise torque developed on the moving coil is given by 

Study of Electro Dynamic Type Instruments | Basic Electrical Technology - Electrical Engineering (EE)

where, the flux density B is directly proportion to the fixed coil current i.e B =kf if . At steady state condition of deflection, the resulting torque Td  developed by the moving coil is balanced by the spring restraining torque Tc=ksθ one can obtain the following relationship.

Study of Electro Dynamic Type Instruments | Basic Electrical Technology - Electrical Engineering (EE)

We see that the angle of deflection θ depends on the product of the moving coil current  iand the fixed coil current if  When the both coils carry alternating currents, say 

Study of Electro Dynamic Type Instruments | Basic Electrical Technology - Electrical Engineering (EE)the average value of deflection-angle θ expression has the form Study of Electro Dynamic Type Instruments | Basic Electrical Technology - Electrical Engineering (EE)

where the value of Study of Electro Dynamic Type Instruments | Basic Electrical Technology - Electrical Engineering (EE)varies as the value of φ varies. Note that the average value of the product of two instantaneous current signals is expressed as

Study of Electro Dynamic Type Instruments | Basic Electrical Technology - Electrical Engineering (EE)

More about ammeters 

Ammeters 
 Fig. 43.2(a) shows that fixed coils and moving coil of a dynamometer instrument connected in series and assumed the current through moving coil does not exceed a certain the upper limit depending on its construction. 

Study of Electro Dynamic Type Instruments | Basic Electrical Technology - Electrical Engineering (EE)

The flux direction through the fixed and movable coils due to current is shown in Fig. 43.2 (a).  it can be noted that the –pole of the moving coil flux is reflected from the adjacent –pole of the fixed coil and on the other side adjacent S –poles are also repelled each other.  This results the pointer to move clockwise direction from ‘zero position’ to a steady position depending upon the magnitude of current flowing through the coils.  Fig.43.2(b) illustrate the effect of reversing the direction of the current through the coils and shows that the deflecting torque produces movement of the pointer in the same direction. This means that the dynamometer instrument suitable for both dc and ac measurements of current and voltage. The dynamic instrument when uses as a voltmeter, the fixed coils wounded with thin wire are connected in series with the moving coil and a non-inductive resistance (see Fig.43.5). For ammeter application the fixed coils are connected in parallel with the moving coil, and in parallel with a shunt, as required (see Fig.43.4).

Study of Electro Dynamic Type Instruments | Basic Electrical Technology - Electrical Engineering (EE)

Remarks: The scale of the instrument can be conveniently calibrated on dc and then used to measure ac. 

Ranges of Ammeters and Voltmeters 

Ammeters

A given size of instruments requires a definite number of ampere-turns to be supplied by the fixed and moving coils to obtain a full–scale deflection. Ammeter ranges are altered by changing the number of turns and size of conductor in the fixed and moving coils.  A double range instrument may easily be obtained by connecting different coil sections either in series or in parallel.  The internal connections are shown in Fig.43.3.  The maximum range for which ammeters are usually constructed is dependent on its application. For ammeter use in which only fraction of rated current (say 200 ma) is carried by the moving coil to alter its range by changing the mode of connection of the fixed coils.

Voltmeters:  With voltmeters the ranges is altered by changing the number of turns in the coils and the value of series resistances, but the range of a given instrument may be increased by connecting additional resistances in series with it.  For example, the range of a given voltmeter may be doubled while connecting in series with it a non–inductive resistance equal in value to the original resistance of the instrument. 

Study of Electro Dynamic Type Instruments | Basic Electrical Technology - Electrical Engineering (EE)

Connections for ammeter, voltmeter and wattmeter 

Ammeter

When ammeters for ranges above about 250mA , the moving coil cannot be connected in series with the fixed coil (note the control spring is unsuitable for currents above about 250 mA).  Therefore, the moving coil must be connected in parallel with the fixed coils as shown in Fig 43.4. 

Study of Electro Dynamic Type Instruments | Basic Electrical Technology - Electrical Engineering (EE)

Here the moving coil current is kept within 200 mA and the rest of current is passed through the fixed coil.  Moving coil carries a small fraction of measured current through the moving coil.  For extreme accuracy the connection shown in Fig. 43.4 must fulfill the following conditions.

  • The resistance/reactance ratio must have the same value (i.e time constant of moving coil = time constant of fixed coil) for each branch. 
  • The percentage change of resistance with temperature must be the same for the two branches.

Voltmeters: The connection for use as a voltmeter is shown in Fig. 43.5, in which fixed and moving coils are connected in series with a high series resistance having “zero resistivity coefficients”.

Study of Electro Dynamic Type Instruments | Basic Electrical Technology - Electrical Engineering (EE)

This combination is connected across the voltage source or across the load terminals whose voltage is to be measured. The deflecting torque is given by

Study of Electro Dynamic Type Instruments | Basic Electrical Technology - Electrical Engineering (EE)

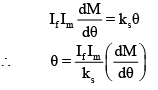
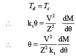
where Z is the m gnitude of total impedance of the voltmeter circuit.  At steady state condition of deflection 

Study of Electro Dynamic Type Instruments | Basic Electrical Technology - Electrical Engineering (EE)

This implies that deflecting torque is directly proportional to V2 if dM/dθ is kept nearly constant. This is possible if θ varies from 45º to 135º over the range of instrument scale. 

Remarks: Electro-dynamic meter’s use is much more common for ac voltmeters than for ac ammeters because of practical limitation on the current through the moving coil. Electrodynamic ammeter needs to read r.m.s values of alternating current accurately irrespective of signal waveform or distortion of signal waveform.

Wattmeter: Perhaps the most important use of the electrodynamometer is for the wattmeter. The mechanism of electro dynamic wattmeter closely resembles that of an electro-dynamic ammeter, but the moving coil of wattmeter is connected in series with a high non-inductive resistance. It provides with separate terminals to connect across the load terminals. The fixed coil is connected in series with the load to have the same load current. A typical connection of an electrodynamometer for use as a wattmeter is shown in Fig. 43.6.

Study of Electro Dynamic Type Instruments | Basic Electrical Technology - Electrical Engineering (EE)

For a d.c circuit, the fixed coil current if =IL is the load current, and the moving–coil current i2 has a value V/ R .  The deflecting torque in a d.c circuit is proportional to the power and it is given by 

Study of Electro Dynamic Type Instruments | Basic Electrical Technology - Electrical Engineering (EE)

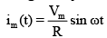
For a.c circuit:  Let the applied voltage v(t) = Vm sinω t ; and the currents through the moving and fixed coils are given by  

Study of Electro Dynamic Type Instruments | Basic Electrical Technology - Electrical Engineering (EE) (assuming inductance of moving coil is negligible) 

Study of Electro Dynamic Type Instruments | Basic Electrical Technology - Electrical Engineering (EE)

where φ is the power factor angle of the load ( +φ leading p.f of the load and  −φ for lagging p.f of the load). 

Instantaneous deflecting torque 

Study of Electro Dynamic Type Instruments | Basic Electrical Technology - Electrical Engineering (EE)

 The mean or average torque 

Study of Electro Dynamic Type Instruments | Basic Electrical Technology - Electrical Engineering (EE)

where V and I are the r.m.s values of load voltage and current respectively.  It may be noted that the developed torque must be equal to the controlling torque at steady state.  In other words, the controlling torque Tc∝  θ and this implies that θ ∝ power (average). Thus an electro-dynamic instrument, connected as shown in Fig. 43.6, becomes a wattmeter which will give a direct deflection of the power in either dc or ac circuit.

Remarks:  

  • The moving coil is usually called the voltage coil (or pressure coil) and carries a small current proportional to voltage across the coil.
  • The fixed coils are called the current coils and will carry load current.
  • The terminal ‘ M ’ is connected to the source side where as the terminal ‘L ’ is connected to the load side. 

Wattmeter Errors: 

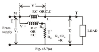
A wattmeter is normally required to measure power in the load.  Two modes of wattmeter connections to the load are shown in Fig. 43.7(a) and Fig.43.7(b). For the connection shown in Fig. 43.7(a), the power supplied by the source to load = VI cosφ where φ is the load power factor.

Study of Electro Dynamic Type Instruments | Basic Electrical Technology - Electrical Engineering (EE)

Study of Electro Dynamic Type Instruments | Basic Electrical Technology - Electrical Engineering (EE)

Refer to Fig.43.7(a), and let us study the reading of the wattmeter and its is expressed as  

Study of Electro Dynamic Type Instruments | Basic Electrical Technology - Electrical Engineering (EE)

Study of Electro Dynamic Type Instruments | Basic Electrical Technology - Electrical Engineering (EE)

where V ' is the magnitude voltage across the current coil or fixed coil. 

Equation (43.13) shows that the wattmeter reading is equal to the sum of power consumed in the load ( VI cosφ ) + power loss ( I2r ) in the fixed coil of resistance ‘ r ’ Ω. 

If the connections are those of Fig. 43.7(b) the total currentStudy of Electro Dynamic Type Instruments | Basic Electrical Technology - Electrical Engineering (EE)through the current coil will be the vector sum of the load currentStudy of Electro Dynamic Type Instruments | Basic Electrical Technology - Electrical Engineering (EE)and the voltage coil or pressure coil or moving coil Study of Electro Dynamic Type Instruments | Basic Electrical Technology - Electrical Engineering (EE)where  is the resistance of the voltage coil).  The wattmeter reading corresponding to the circuit configuration Fig. 43.7(b) is given by 

Study of Electro Dynamic Type Instruments | Basic Electrical Technology - Electrical Engineering (EE)

Study of Electro Dynamic Type Instruments | Basic Electrical Technology - Electrical Engineering (EE)

These results can be also applied in d.c circuits; the verification of this is simple, as phase angles are not involved. 

Remarks:  

  • Losses Study of Electro Dynamic Type Instruments | Basic Electrical Technology - Electrical Engineering (EE) are normally small in instrument–circuit. 
  • Normally the connection Fig. 43.7(a) is better, but under some heavy load current conditions the wattmeter circuit configuration Fig 43.7(b) is preferable. 

How to Compensate Wattmeter Error? 

The error involves in wattmeter reading with the circuit configuration Fig 43.7(b) can easily be eliminated by introducing double–wound current coil. One conductor being the current coil as usual. The additional conductor is an internal connection, corresponding to the lead from L to V+ of Fig. 43.8(a), which carries the voltage–coil current in a reverse direction through the winding.    

Study of Electro Dynamic Type Instruments | Basic Electrical Technology - Electrical Engineering (EE)

Thus any extra torque due to the voltage–coil current in the current coil itself is neutralized by the torque due to the voltage–coil current in the additional winding.

Note: (i) There are watt-meters, that directly read the power consumed by the load PL .  In such a meter, the moving–coil (voltage coil) current goes through an additional fixed coil located so as to cancel the effect of I on the current in the fixed coil.

(ii) The input terminals of each coil (fixed and moving coils) is identified as ± sign as shown in Fig.43.8(b). The marked ±  terminal of the current coil should be connected to the incoming line or to the source side and the voltage coil marked ± terminal should be connected to the positive side of the load. With the wattmeter terminal connection specified, the meter will read up-scale when power is delivered to the load. If one of the coils is connected in reverse polarity (backwards), the wattmeter will drive downscale and may be damaged. To get, up-scale reading of watt-meters, the current coil connection should be reversed. 

Study of Electro Dynamic Type Instruments | Basic Electrical Technology - Electrical Engineering (EE)

Inductance of Voltage–Coil Introduces an Error in Wattmeter 

Let us consider the wattmeter connection as shown in Fig. 43.7(b). The mean torque of an electro-dynamic instrument is proportional to the mean value of the product i1 i2 where i1 and i2 being instantaneous values of the two currents.  It may also be said that the mean torque is proportional to 

Study of Electro Dynamic Type Instruments | Basic Electrical Technology - Electrical Engineering (EE)Study of Electro Dynamic Type Instruments | Basic Electrical Technology - Electrical Engineering (EE)

I1I2 cosθ , where I1 and I2 are r.m.s values and θ the phase angle between the two currents (pressure coil current and current coil current).  The current through moving coil

Study of Electro Dynamic Type Instruments | Basic Electrical Technology - Electrical Engineering (EE)is in the same phase as that of load voltage, where R is the resistance of a non–inductive voltage–coil circuit.  Then θ = φ , load phase angle.

Instantaneous Torque Expression (neglecting inductance of voltage coil or moving coil):-  

Study of Electro Dynamic Type Instruments | Basic Electrical Technology - Electrical Engineering (EE)

In practice, the voltage–coil must posses some inductances; at a given frequency, let the resulting reactance be XLL .

The instantaneous current through the voltage 

Study of Electro Dynamic Type Instruments | Basic Electrical Technology - Electrical Engineering (EE)

where v(t) =VmSin ωt = voltage across the load. 

Study of Electro Dynamic Type Instruments | Basic Electrical Technology - Electrical Engineering (EE)

Study of Electro Dynamic Type Instruments | Basic Electrical Technology - Electrical Engineering (EE)

Study of Electro Dynamic Type Instruments | Basic Electrical Technology - Electrical Engineering (EE)

Comparison of equations (43.15) and (43.16) shows that the correction factor by which the deflection must be multiplied is Study of Electro Dynamic Type Instruments | Basic Electrical Technology - Electrical Engineering (EE).

Remarks: 

  • As α is very small, it is usually sufficiently accurate to take the correction factor as (i) 

Study of Electro Dynamic Type Instruments | Basic Electrical Technology - Electrical Engineering (EE) for lagging power factor of the load.  (ii)Study of Electro Dynamic Type Instruments | Basic Electrical Technology - Electrical Engineering (EE)for leading power factor of the  load.  

  • The effect of inductance in the moving coil circuit is to cause the wattmeter to read high on lagging power factor (see the equation (43.16)).
  • For leading power factor the wattmeter will read low.
  • Correction factor is zero at load of unity power factor. 

Advantages and disadvantages of electro-dynamic instruments 

Advantages: 

i Free from hysteresis and eddy current errors.

ii Applicable to both dc and ac circuits.

iii Precision grade accuracy for 40 Hz to 500 Hz.

iv Electro-dynamic voltmeters give accurate r.m.s values of voltage irrespective of waveforms.

Disadvantages:

i Low torque/weight ratio, hence more frictional errors.

ii More expensive than PMMC or MI instruments.

iii Power consumption higher than PMMC but less than MI instruments.

For these reasons, dynamometer ammeters and voltmeters are not in common use (except for calibration purpose) especially in dc circuits. The most important application of the dynamometer type instruments used as dynamometer wattmeter.

Connections for ammeter, voltmeter and wattmeter 

Ammeter

When ammeters for ranges above about 250mA , the moving coil cannot be connected in series with the fixed coil (note the control spring is unsuitable for currents above about 250 mA).  Therefore, the moving coil must be connected in parallel with the fixed coils as shown in Fig 43.4. 

Study of Electro Dynamic Type Instruments | Basic Electrical Technology - Electrical Engineering (EE)

Here the moving coil current is kept within 200 mA and the rest of current is passed through the fixed coil.  Moving coil carries a small fraction of measured current through the moving coil.  For extreme accuracy the connection shown in Fig. 43.4 must fulfill the following conditions.

  • The resistance/reactance ratio must have the same value (i.e time constant of moving coil = time constant of fixed coil) for each branch. 
  • The percentage change of resistance with temperature must be the same for the two branches.

Voltmeters: The connection for use as a voltmeter is shown in Fig. 43.5, in which fixed and moving coils are connected in series with a high series resistance having “zero resistivity coefficients”.

Study of Electro Dynamic Type Instruments | Basic Electrical Technology - Electrical Engineering (EE)

This combination is connected across the voltage source or across the load terminals whose voltage is to be measured. The deflecting torque is given by

Study of Electro Dynamic Type Instruments | Basic Electrical Technology - Electrical Engineering (EE)

where Z is the m gnitude of total impedance of the voltmeter circuit.  At steady state condition of deflection 

Study of Electro Dynamic Type Instruments | Basic Electrical Technology - Electrical Engineering (EE)

This implies that deflecting torque is directly proportional to V2 if dM/dθ is kept nearly constant. This is possible if θ varies from 45º to 135º over the range of instrument scale. 

Remarks: Electro-dynamic meter’s use is much more common for ac voltmeters than for ac ammeters because of practical limitation on the current through the moving coil. Electrodynamic ammeter needs to read r.m.s values of alternating current accurately irrespective of signal waveform or distortion of signal waveform.

Wattmeter: Perhaps the most important use of the electrodynamometer is for the wattmeter. The mechanism of electro dynamic wattmeter closely resembles that of an electro-dynamic ammeter, but the moving coil of wattmeter is connected in series with a high non-inductive resistance. It provides with separate terminals to connect across the load terminals. The fixed coil is connected in series with the load to have the same load current. A typical connection of an electrodynamometer for use as a wattmeter is shown in Fig. 43.6.

Study of Electro Dynamic Type Instruments | Basic Electrical Technology - Electrical Engineering (EE)

For a d.c circuit, the fixed coil current if =IL is the load current, and the moving–coil current i2 has a value V/ R .  The deflecting torque in a d.c circuit is proportional to the power and it is given by 

Study of Electro Dynamic Type Instruments | Basic Electrical Technology - Electrical Engineering (EE)

For a.c circuit:  Let the applied voltage v(t) = Vm sinω t ; and the currents through the moving and fixed coils are given by  

Study of Electro Dynamic Type Instruments | Basic Electrical Technology - Electrical Engineering (EE) (assuming inductance of moving coil is negligible) 

Study of Electro Dynamic Type Instruments | Basic Electrical Technology - Electrical Engineering (EE)

where φ is the power factor angle of the load ( +φ leading p.f of the load and  −φ for lagging p.f of the load). 

Instantaneous deflecting torque 

Study of Electro Dynamic Type Instruments | Basic Electrical Technology - Electrical Engineering (EE)

 The mean or average torque 

Study of Electro Dynamic Type Instruments | Basic Electrical Technology - Electrical Engineering (EE)

where V and I are the r.m.s values of load voltage and current respectively.  It may be noted that the developed torque must be equal to the controlling torque at steady state.  In other words, the controlling torque Tc∝  θ and this implies that θ ∝ power (average). Thus an electro-dynamic instrument, connected as shown in Fig. 43.6, becomes a wattmeter which will give a direct deflection of the power in either dc or ac circuit.

Remarks:  

  • The moving coil is usually called the voltage coil (or pressure coil) and carries a small current proportional to voltage across the coil.
  • The fixed coils are called the current coils and will carry load current.
  • The terminal ‘ M ’ is connected to the source side where as the terminal ‘L ’ is connected to the load side. 

Wattmeter Errors: 

A wattmeter is normally required to measure power in the load.  Two modes of wattmeter connections to the load are shown in Fig. 43.7(a) and Fig.43.7(b). For the connection shown in Fig. 43.7(a), the power supplied by the source to load = VI cosφ where φ is the load power factor.

Study of Electro Dynamic Type Instruments | Basic Electrical Technology - Electrical Engineering (EE)

Study of Electro Dynamic Type Instruments | Basic Electrical Technology - Electrical Engineering (EE)

Refer to Fig.43.7(a), and let us study the reading of the wattmeter and its is expressed as  

Study of Electro Dynamic Type Instruments | Basic Electrical Technology - Electrical Engineering (EE)

Study of Electro Dynamic Type Instruments | Basic Electrical Technology - Electrical Engineering (EE)

where V ' is the magnitude voltage across the current coil or fixed coil. 

Equation (43.13) shows that the wattmeter reading is equal to the sum of power consumed in the load ( VI cosφ ) + power loss ( I2r ) in the fixed coil of resistance ‘ r ’ Ω. 

If the connections are those of Fig. 43.7(b) the total currentStudy of Electro Dynamic Type Instruments | Basic Electrical Technology - Electrical Engineering (EE)through the current coil will be the vector sum of the load currentStudy of Electro Dynamic Type Instruments | Basic Electrical Technology - Electrical Engineering (EE)and the voltage coil or pressure coil or moving coil Study of Electro Dynamic Type Instruments | Basic Electrical Technology - Electrical Engineering (EE)where  is the resistance of the voltage coil).  The wattmeter reading corresponding to the circuit configuration Fig. 43.7(b) is given by 

Study of Electro Dynamic Type Instruments | Basic Electrical Technology - Electrical Engineering (EE)

Study of Electro Dynamic Type Instruments | Basic Electrical Technology - Electrical Engineering (EE)

These results can be also applied in d.c circuits; the verification of this is simple, as phase angles are not involved. 

Remarks:  

  • Losses Study of Electro Dynamic Type Instruments | Basic Electrical Technology - Electrical Engineering (EE) are normally small in instrument–circuit. 
  • Normally the connection Fig. 43.7(a) is better, but under some heavy load current conditions the wattmeter circuit configuration Fig 43.7(b) is preferable. 

How to Compensate Wattmeter Error? 

The error involves in wattmeter reading with the circuit configuration Fig 43.7(b) can easily be eliminated by introducing double–wound current coil. One conductor being the current coil as usual. The additional conductor is an internal connection, corresponding to the lead from L to V+ of Fig. 43.8(a), which carries the voltage–coil current in a reverse direction through the winding.    

Study of Electro Dynamic Type Instruments | Basic Electrical Technology - Electrical Engineering (EE)

Thus any extra torque due to the voltage–coil current in the current coil itself is neutralized by the torque due to the voltage–coil current in the additional winding.

Note: (i) There are watt-meters, that directly read the power consumed by the load PL .  In such a meter, the moving–coil (voltage coil) current goes through an additional fixed coil located so as to cancel the effect of I on the current in the fixed coil.

(ii) The input terminals of each coil (fixed and moving coils) is identified as ± sign as shown in Fig.43.8(b). The marked ±  terminal of the current coil should be connected to the incoming line or to the source side and the voltage coil marked ± terminal should be connected to the positive side of the load. With the wattmeter terminal connection specified, the meter will read up-scale when power is delivered to the load. If one of the coils is connected in reverse polarity (backwards), the wattmeter will drive downscale and may be damaged. To get, up-scale reading of watt-meters, the current coil connection should be reversed. 

Study of Electro Dynamic Type Instruments | Basic Electrical Technology - Electrical Engineering (EE)

Inductance of Voltage–Coil Introduces an Error in Wattmeter 

Let us consider the wattmeter connection as shown in Fig. 43.7(b). The mean torque of an electro-dynamic instrument is proportional to the mean value of the product i1 i2 where i1 and i2 being instantaneous values of the two currents.  It may also be said that the mean torque is proportional to 

Study of Electro Dynamic Type Instruments | Basic Electrical Technology - Electrical Engineering (EE)Study of Electro Dynamic Type Instruments | Basic Electrical Technology - Electrical Engineering (EE)

I1I2 cosθ , where I1 and I2 are r.m.s values and θ the phase angle between the two currents (pressure coil current and current coil current).  The current through moving coil

Study of Electro Dynamic Type Instruments | Basic Electrical Technology - Electrical Engineering (EE)is in the same phase as that of load voltage, where R is the resistance of a non–inductive voltage–coil circuit.  Then θ = φ , load phase angle.

Instantaneous Torque Expression (neglecting inductance of voltage coil or moving coil):-  

Study of Electro Dynamic Type Instruments | Basic Electrical Technology - Electrical Engineering (EE)

In practice, the voltage–coil must posses some inductances; at a given frequency, let the resulting reactance be XLL .

The instantaneous current through the voltage 

Study of Electro Dynamic Type Instruments | Basic Electrical Technology - Electrical Engineering (EE)

where v(t) =VmSin ωt = voltage across the load. 

Study of Electro Dynamic Type Instruments | Basic Electrical Technology - Electrical Engineering (EE)

Study of Electro Dynamic Type Instruments | Basic Electrical Technology - Electrical Engineering (EE)

Study of Electro Dynamic Type Instruments | Basic Electrical Technology - Electrical Engineering (EE)

Comparison of equations (43.15) and (43.16) shows that the correction factor by which the deflection must be multiplied is Study of Electro Dynamic Type Instruments | Basic Electrical Technology - Electrical Engineering (EE).

Remarks: 

  • As α is very small, it is usually sufficiently accurate to take the correction factor as (i) 

Study of Electro Dynamic Type Instruments | Basic Electrical Technology - Electrical Engineering (EE) for lagging power factor of the load.  (ii)Study of Electro Dynamic Type Instruments | Basic Electrical Technology - Electrical Engineering (EE)for leading power factor of the  load.  

  • The effect of inductance in the moving coil circuit is to cause the wattmeter to read high on lagging power factor (see the equation (43.16)).
  • For leading power factor the wattmeter will read low.
  • Correction factor is zero at load of unity power factor. 

Advantages and disadvantages of electro-dynamic instruments 

Advantages: 

i Free from hysteresis and eddy current errors.

ii Applicable to both dc and ac circuits.

iii Precision grade accuracy for 40 Hz to 500 Hz.

iv Electro-dynamic voltmeters give accurate r.m.s values of voltage irrespective of waveforms.

Disadvantages:

i Low torque/weight ratio, hence more frictional errors.

ii More expensive than PMMC or MI instruments.

iii Power consumption higher than PMMC but less than MI instruments.

For these reasons, dynamometer ammeters and voltmeters are not in common use (except for calibration purpose) especially in dc circuits. The most important application of the dynamometer type instruments used as dynamometer wattmeter.

The document Study of Electro Dynamic Type Instruments | Basic Electrical Technology - Electrical Engineering (EE) is a part of the Electrical Engineering (EE) Course Basic Electrical Technology.
All you need of Electrical Engineering (EE) at this link: Electrical Engineering (EE)
74 docs|62 tests

FAQs on Study of Electro Dynamic Type Instruments - Basic Electrical Technology - Electrical Engineering (EE)

1. What are Electro Dynamic Type Instruments in Electrical Engineering?
Ans. Electro Dynamic Type Instruments are a type of measuring instruments used in electrical engineering to measure various electrical quantities such as voltage, current, power, and energy. These instruments work on the principle of electromagnetic induction, where the movement of a coil in a magnetic field generates an electric current which is proportional to the quantity being measured.
2. How do Electro Dynamic Type Instruments work?
Ans. Electro Dynamic Type Instruments work by utilizing the interaction between a magnetic field and a moving coil. When an electrical quantity is applied to the coil, it generates a proportional force based on the principle of electromagnetic induction. This force causes the coil to move, resulting in a deflection on a calibrated scale. By measuring the deflection, the electrical quantity can be determined.
3. What are the advantages of Electro Dynamic Type Instruments?
Ans. Electro Dynamic Type Instruments have several advantages in electrical engineering measurements. Firstly, they have a high degree of accuracy and precision, making them suitable for precise measurements. Secondly, they have a wide measurement range, allowing them to measure a wide range of electrical quantities. Additionally, they have a robust construction, making them durable and reliable for long-term use. Lastly, they have a low power consumption, making them energy-efficient.
4. What are the limitations of Electro Dynamic Type Instruments?
Ans. Electro Dynamic Type Instruments also have certain limitations. One limitation is their susceptibility to external magnetic fields, which can cause interference and affect the accuracy of measurements. Another limitation is their sensitivity to mechanical shocks and vibrations, which can lead to inaccurate readings. Additionally, these instruments require calibration and periodic maintenance to ensure accurate measurements, which can be time-consuming and costly.
5. What are some applications of Electro Dynamic Type Instruments?
Ans. Electro Dynamic Type Instruments find applications in various fields of electrical engineering. They are commonly used in power systems to measure voltage, current, power, and energy. These instruments are also used in industrial automation to monitor and control electrical parameters. In research and development, they are used for precise measurements and experiments. Additionally, they are used in educational institutions to teach electrical measuring techniques.
Related Searches

Viva Questions

,

Important questions

,

Previous Year Questions with Solutions

,

Study of Electro Dynamic Type Instruments | Basic Electrical Technology - Electrical Engineering (EE)

,

pdf

,

Sample Paper

,

study material

,

Summary

,

mock tests for examination

,

Exam

,

Free

,

ppt

,

past year papers

,

video lectures

,

Extra Questions

,

Objective type Questions

,

Study of Electro Dynamic Type Instruments | Basic Electrical Technology - Electrical Engineering (EE)

,

MCQs

,

practice quizzes

,

shortcuts and tricks

,

Study of Electro Dynamic Type Instruments | Basic Electrical Technology - Electrical Engineering (EE)

,

Semester Notes

;