Mechanical Engineering Exam  >  Mechanical Engineering Notes  >  Thermodynamics  >  Thermodynamic Relations

Thermodynamic Relations | Thermodynamics - Mechanical Engineering PDF Download

Introduction 

The properties such as temperature pressure, volume, and mass can be calculated directly.
The substance's properties such as density (ρ) and specific volume(v) can be estimated using some simple relations.
However, energy, enthalpy (h), and entropy (s) are not very easy to determine because they are not measurable or can not be easily expressed in terms of measurable properties through some simple relations.

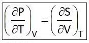
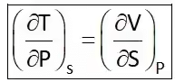
1. Maxwell’s Equations

These are the set of equations that establish the relation between the partial derivatives of properties P, V, T, and S of a simple compressible system.
dU = TdS – PdV
dH = TdS + VdP

Helmholtz function
F = U – TS (availability of closed system)

Gibb’s function
G = H – TS (availability of open system)
For all real processes, the value of the Helmholtz function & Gibbs function decreases & attains a min value at equilibrium.
Hence Four Maxwell’s relations are,
Thermodynamic Relations | Thermodynamics - Mechanical Engineering
Thermodynamic Relations | Thermodynamics - Mechanical Engineering
Thermodynamic Relations | Thermodynamics - Mechanical Engineering
Thermodynamic Relations | Thermodynamics - Mechanical Engineering

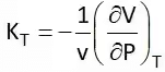
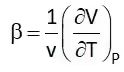
Coefficient of Volume Expansion (β)

Thermodynamic Relations | Thermodynamics - Mechanical Engineering

It is the rate of change of volume with respect to temperature at constant pressure. Isothermal Compressibility (Kt)

Thermodynamic Relations | Thermodynamics - Mechanical Engineering
It shows the rate of change of volume with respect to pressure at a constant temperature or at isothermal conditions.

2. T-dS Equation

Thermodynamic Relations | Thermodynamics - Mechanical Engineering
This is known as the first Tds equation
Thermodynamic Relations | Thermodynamics - Mechanical Engineering
This is known as the second TdS equation.
Thermodynamic Relations | Thermodynamics - Mechanical Engineering
T = Positive
Thermodynamic Relations | Thermodynamics - Mechanical Engineering
Thermodynamic Relations | Thermodynamics - Mechanical Engineering
Cp – Cv = +ve
Cp > Cv 

3. Energy Equation

Thermodynamic Relations | Thermodynamics - Mechanical Engineering

Joule Thompson Coefficient (µ)
When a fluid passes through the porous plug, capillary tube, or valve, its pressure decreases. The throttling process is isenthalpic in nature. The temperature behavior of the fluid during throttling is described by the joule Thompson coefficient(µ),
Thermodynamic Relations | Thermodynamics - Mechanical Engineering

Fig:1Fig:1

Fig:2Fig:2

Important points:

  • Joule Thomson coefficient is +ve in cooling region i.e slope of isenthalpic curve on T – P diagram is +ve in the cooling region,
  • μ is –ve in heating region i.e the slope of isenthalpic curve on T – P diagram is –ve in the heating region,
  • There is nothing as a heating or cooling region for an ideal gas & the value of the joule Thomson coefficient is zero everywhere.

4. Clausius Clapeyron Equations

Clausius Clapeyron equations is a relationship between saturation pressure, temperature, and enthalpy of vaporization and the specific volume of two phases involved. This equation helps in the calculations of properties in two-phase regions.

Fig:3Fig:3

Thermodynamic Relations | Thermodynamics - Mechanical Engineering
Thermodynamic Relations | Thermodynamics - Mechanical Engineering

The above equation is called the Clausius Clapeyron equation. It helps to determine enthalpy change associated with phase change by measuring pressure, temperature, and volume.

The document Thermodynamic Relations | Thermodynamics - Mechanical Engineering is a part of the Mechanical Engineering Course Thermodynamics.
All you need of Mechanical Engineering at this link: Mechanical Engineering
29 videos|146 docs|36 tests

FAQs on Thermodynamic Relations - Thermodynamics - Mechanical Engineering

1. What are thermodynamic relations in mechanical engineering?
Ans. Thermodynamic relations in mechanical engineering are mathematical equations that describe the relationships between different thermodynamic properties such as temperature, pressure, volume, and entropy. These relations are derived from the laws of thermodynamics and are used to analyze and solve thermodynamic problems in engineering applications.
2. How are thermodynamic relations derived?
Ans. Thermodynamic relations are derived using the laws of thermodynamics, particularly the first and second laws. These relations involve manipulating and combining different thermodynamic equations to obtain new equations that relate various properties. The most commonly used thermodynamic relations include the Maxwell relations, the Clapeyron equation, and the Gibbs-Duhem equation.
3. What are some applications of thermodynamic relations in mechanical engineering?
Ans. Thermodynamic relations are widely used in mechanical engineering for various applications. They are used to analyze and design heat engines, power plants, refrigeration systems, and other thermodynamic processes. These relations help in determining efficiency, work output, and heat transfer rates in these systems, allowing engineers to optimize their performance.
4. Can thermodynamic relations be used to predict the behavior of real-world systems?
Ans. Yes, thermodynamic relations can be used to predict the behavior of real-world systems to a certain extent. However, it is important to note that thermodynamic relations assume idealized conditions and may not accurately capture all the complexities of a real system. Real-world systems often have factors such as non-ideal behavior, irreversibilities, and other limitations that can affect their performance and behavior.
5. Are thermodynamic relations only applicable to mechanical engineering?
Ans. No, thermodynamic relations are not limited to mechanical engineering. They are applicable across various branches of engineering and science, including chemical engineering, aerospace engineering, and physics. Thermodynamics is a fundamental science that governs the behavior of energy and heat transfer in all systems, making thermodynamic relations relevant and useful in many different fields.
Related Searches

MCQs

,

ppt

,

Extra Questions

,

Exam

,

Viva Questions

,

Thermodynamic Relations | Thermodynamics - Mechanical Engineering

,

practice quizzes

,

Objective type Questions

,

Thermodynamic Relations | Thermodynamics - Mechanical Engineering

,

Summary

,

shortcuts and tricks

,

Free

,

Semester Notes

,

pdf

,

video lectures

,

Previous Year Questions with Solutions

,

Thermodynamic Relations | Thermodynamics - Mechanical Engineering

,

study material

,

Sample Paper

,

Important questions

,

mock tests for examination

,

past year papers

;