Three-Phase Balanced Supply | Basic Electrical Technology - Electrical Engineering (EE) PDF Download

Generation of Three-phase Balanced Voltages 

In the first lesson (No. 12) of the previous module, the generation of single-phase voltage, using a multi-turn coil placed inside a magnet, was described. It may be noted that, the scheme shown was a schematic one, whereas in a machine, the windings are distributed in number of slots. Same would be the case with a normal three-phase generator. Three windings, with equal no. of turns in each one, are used, so as to obtain equal voltage in magnitude in all three phases. Also to obtain a balanced three-phase voltage, the windings are to be placed at an electrical angle of 120° with each other, such that the voltages in each phase are also at an angle of 120° with each other, which will be described in the next section. The schematic diagram with multi-turn coils, as was shown earlier in Fig. 12.1 for a single-phase one, placed at angle of 120° with each other, in a 2-pole configuration, is shown in Fig. 18.1a. The waveforms in each of the three windings (R, Y & B), are also shown in Fig. 18.1b. The windings are in the stator, with the poles shown in the rotor, which is rotating at a synchronous speed of (r/min, or rpm), to obtain a frequency of  Three-Phase Balanced Supply | Basic Electrical Technology - Electrical Engineering (EE)

Three-Phase Balanced Supply | Basic Electrical Technology - Electrical Engineering (EE)

Fig. 18.1 (a) Schematic diagram of three windings of stator for the generation of three phased balanced voltage (2-pole rotor). 

Three-phase Voltages for Star Connection 

Three-Phase Balanced Supply | Basic Electrical Technology - Electrical Engineering (EE)

The connection diagram of a star (Y)-connected three-phase system is shown in Fig. 18.2a, along with phasor representation of the voltages (Fig. 18.2b). These are in continuation of the figures 18.1a-b. Three windings for three phases are R (+) & R’(−),Y (+) & Y’(−), and B (+) & Y’(−). Taking the winding of one phase, say phase R as an example, then R with sign (+) is taken as start, and R’ with sign (−) is taken as finish. Same is the case with two other phases. For making star (Y)-connection, R’, Y’ & B’ are connected together, and the point is taken as neutral, N. Three phase voltages are:

Three-Phase Balanced Supply | Basic Electrical Technology - Electrical Engineering (EE)

 It may be noted that, if the voltage in phase Three-Phase Balanced Supply | Basic Electrical Technology - Electrical Engineering (EE) is taken as reference as stated earlier, then the voltage in phase Three-Phase Balanced Supply | Basic Electrical Technology - Electrical Engineering (EE)Three-Phase Balanced Supply | Basic Electrical Technology - Electrical Engineering (EE) , and the voltage in phase  Three-Phase Balanced Supply | Basic Electrical Technology - Electrical Engineering (EE) lags Three-Phase Balanced Supply | Basic Electrical Technology - Electrical Engineering (EE) The phasors are given as:

Three-Phase Balanced Supply | Basic Electrical Technology - Electrical Engineering (EE)Three-Phase Balanced Supply | Basic Electrical Technology - Electrical Engineering (EE)
Three-Phase Balanced Supply | Basic Electrical Technology - Electrical Engineering (EE)
Three-Phase Balanced Supply | Basic Electrical Technology - Electrical Engineering (EE)

Three-Phase Balanced Supply | Basic Electrical Technology - Electrical Engineering (EE)

Fig. 18.2 (a) Three-phase balanced voltages, with the source  star-connected (the phase sequence, R-Y-B)  (b) Phasor diagram of the line and phase voltages 

The phase voltages are all equal in magnitude, but only differ in phase. This is also shown in Fig. 18.2b. The relationship between Three-Phase Balanced Supply | Basic Electrical Technology - Electrical Engineering (EE) The phase sequence is R-Y-B. It can be observed from Fig. 18.1b that the voltage in phase Y attains the maximum value, after  Three-Phase Balanced Supply | Basic Electrical Technology - Electrical Engineering (EE) from the time or angle, after the voltage in phase R attains the maximum value, and then the voltage in phase B attains the maximum value. The angle of lag or lead from the reference phase, R is stated earlier.

Reversal of phase sequence from R-Y-B to R-B-Y

If the phase sequence is reversed from R-Y-B to R-B-Y, the waveforms and the corresponding phasor diagram are shown in figures 18.3 (a-b) respectively. It can be observed from Fig. 18.3a that the voltage in phase B attains the maximum value, after θ =120° from the time (or angle), after the voltage in phase R attains the maximum value, and then the voltage in phase Y attains the maximum value. The angle of lag or lead from the reference phase, R is stated earlier. The same sequence is observed in the phasor diagram (Fig. 18.3b), when the phase sequence is reversed to R-B-Y.

Three-Phase Balanced Supply | Basic Electrical Technology - Electrical Engineering (EE)

Three-Phase Balanced Supply | Basic Electrical Technology - Electrical Engineering (EE)

Fig. 18.3 (a) Three-phase balanced voltage waveforms with the source star-connected (the phase sequence, R-B-Y) (b) Phasor diagram of the line and phase voltages  

Relation between the Phase and Line Voltages for Star Connection 

Three line voltages (Fig. 18.4) are obtained by the following procedure. The line voltage, ERY is 

Three-Phase Balanced Supply | Basic Electrical Technology - Electrical Engineering (EE)Three-Phase Balanced Supply | Basic Electrical Technology - Electrical Engineering (EE)
Three-Phase Balanced Supply | Basic Electrical Technology - Electrical Engineering (EE)
The magnitude of the line voltage, ERY Three-Phase Balanced Supply | Basic Electrical Technology - Electrical Engineering (EE) times the magnitude of the phase voltage Three-Phase Balanced Supply | Basic Electrical Technology - Electrical Engineering (EE)  Same is the case with other two line voltages as shown in brief (the steps can easily be derived by the procedure given earlier).
Three-Phase Balanced Supply | Basic Electrical Technology - Electrical Engineering (EE)

So, the three line voltages are balanced, with their magnitudes being equal, and the phase angle being displaced from each other in sequence by 120° . Also, the line voltage, say ERY leads the corresponding phase voltage,  Three-Phase Balanced Supply | Basic Electrical Technology - Electrical Engineering (EE)

Relation between the Phase and Line Voltages for Delta Connection

The connection diagram of a delta (Δ)-connected three-phase system is shown in Fig. 18.4a, along with phasor representation of the voltages (Fig. 18.4b). For making delta (Δ)-connection, the start of one winding is connected to the finish of the next one in sequence, for instance, starting from phase R, R’ is to connected to Y, and then Y’ to B, and so on (Fig. 18.4a). The line and phase voltages are the same in this case, and are given as

Three-Phase Balanced Supply | Basic Electrical Technology - Electrical Engineering (EE)

Three-Phase Balanced Supply | Basic Electrical Technology - Electrical Engineering (EE)

Fig. 18.4 (a) Three-phase balanced voltages, with the source delta-connected (the phase sequence, R-Y-B)
 (b) Phasor diagram of the line and phase voltages 

Three-Phase Balanced Supply | Basic Electrical Technology - Electrical Engineering (EE)

If the phasor sum of the above three phase (or line) voltages are taken, the result is zero (0). The phase or line voltages form a balanced one, with their magnitudes being equal, and the phase being displaced from each other in sequence by 120°.

Currents for Circuit with Balanced Load (Star-connected)

Three-Phase Balanced Supply | Basic Electrical Technology - Electrical Engineering (EE)
Three-Phase Balanced Supply | Basic Electrical Technology - Electrical Engineering (EE)

Fig. 18.5 (a) Circuit diagram for a three-phase balanced star-connected load
 (b) Phasor diagram of the phase voltages, and the line & phase currents

A three-phase star (Y)-connected balanced load (Fig. 18.5a) is fed from a balanced three-phase supply, which may be a three-wire one. A balanced load means that, the magnitude of the impedance per phase, is same, i.e.,  Three-Phase Balanced Supply | Basic Electrical Technology - Electrical Engineering (EE) angle is also same, Three-Phase Balanced Supply | Basic Electrical Technology - Electrical Engineering (EE) In other words, if the impedance per phase is given as,  Three-Phase Balanced Supply | Basic Electrical Technology - Electrical Engineering (EE) then Three-Phase Balanced Supply | Basic Electrical Technology - Electrical Engineering (EE) and also  Three-Phase Balanced Supply | Basic Electrical Technology - Electrical Engineering (EE) The magnitude and phase angle of the impedance per phase are: Three-Phase Balanced Supply | Basic Electrical Technology - Electrical Engineering (EE) For balanced load, the magnitudes of the phase voltages, Three-Phase Balanced Supply | Basic Electrical Technology - Electrical Engineering (EE) are same, as those of the source voltages per phase Three-Phase Balanced Supply | Basic Electrical Technology - Electrical Engineering (EE) if it is connected in star, as given earlier. So, this means that, the point N , star point on the load side is same as the star point N` , of the load side. The phase currents (Fig. 18.5b) are obtained as,

Three-Phase Balanced Supply | Basic Electrical Technology - Electrical Engineering (EE)

In this case, the phase voltage, VRN  is taken as reference. This shows that the phase currents are equal in magnitude, i.e., Three-Phase Balanced Supply | Basic Electrical Technology - Electrical Engineering (EE) as the magnitudes of the voltage and load impedance, per phase, are same, with their phase angles displaced from each other in sequence by 120°. The magnitude of the phase currents, is expressed as Three-Phase Balanced Supply | Basic Electrical Technology - Electrical Engineering (EE) These phase currents are also line currents Three-Phase Balanced Supply | Basic Electrical Technology - Electrical Engineering (EE)  in this case.

Total Power Consumed in the Circuit (Star-connected)

In the lesson No. 14 of the previous module, the power consumed in a circuit fed from a single-phase supply was presented. Using the same expression for the above starconnected balanced circuit, fed from three-phase supply (Fig. 18.4a-b), the power consumed per phase is given by

Three-Phase Balanced Supply | Basic Electrical Technology - Electrical Engineering (EE)
It has been shown earlier that the magnitude of the phase voltage is given by Three-Phase Balanced Supply | Basic Electrical Technology - Electrical Engineering (EE) where the magnitude of the line voltage is Three-Phase Balanced Supply | Basic Electrical Technology - Electrical Engineering (EE) The magnitudes of the phase and line current are same, i.e., Three-Phase Balanced Supply | Basic Electrical Technology - Electrical Engineering (EE) Substituting the two expressions, the total power consumed is obtained as

Three-Phase Balanced Supply | Basic Electrical Technology - Electrical Engineering (EE)

Please note that the phase angle, φp is the angle between the phase voltage VP, and the phase current IP

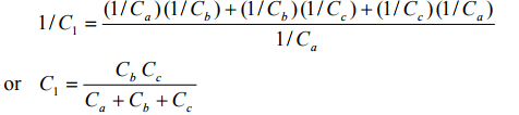
Before taking up an example, the formulas for conversion from delta-connected circuit to its star equivalent and vice versa (conversion from star to delta connection) using impedances, and also ideal inductances/capacitances, are presented here, starting with circuits with resistances, as derived in lesson #6 on dc circuits.

Delta(∆)-Star(Y) conversion and Star-Delta conversion

Before taking up the examples, the formula for Delta(Δ )-Star(Y) conversion and also Star-Delta conversion, using impedances as needed, instead of resistance as elements, which is given in lesson #6 in the module on DC circuit, are presented. The formulas for delta-star conversion, using resistances (Fig. 18.6), are,

Three-Phase Balanced Supply | Basic Electrical Technology - Electrical Engineering (EE)Three-Phase Balanced Supply | Basic Electrical Technology - Electrical Engineering (EE)
The formulas for delta-star conversion, using resistance, are,

Three-Phase Balanced Supply | Basic Electrical Technology - Electrical Engineering (EE)

The derivation of these formulas is given in lesson #6. If three equal resistances Three-Phase Balanced Supply | Basic Electrical Technology - Electrical Engineering (EE) connected in delta, are converted into its equivalent star, the resistances obtained are equal, its value being Three-Phase Balanced Supply | Basic Electrical Technology - Electrical Engineering (EE) which is derived using formulas given earlier. Similarly, if three equal resistances connected in star, are converted into its equivalent delta, the resultant resistances, using formulas, are Three-Phase Balanced Supply | Basic Electrical Technology - Electrical Engineering (EE)

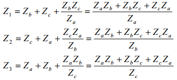
The formula for the above conversions using impedances, instead of resistances, are same, replacing resistances by impedances, as the formula for series and parallel combination using impedances, instead of resistances, remain same as shown in the previous module on ac single phase circuits.

Three-Phase Balanced Supply | Basic Electrical Technology - Electrical Engineering (EE)

The formulas for delta-star conversion, using impedances (Fig. 18.7), are,

Three-Phase Balanced Supply | Basic Electrical Technology - Electrical Engineering (EE)Three-Phase Balanced Supply | Basic Electrical Technology - Electrical Engineering (EE)

The formulas for delta-star conversion, using impedance, are,

Three-Phase Balanced Supply | Basic Electrical Technology - Electrical Engineering (EE)

Please note that all the impedances used in the formula given here are complex quantities, like  Three-Phase Balanced Supply | Basic Electrical Technology - Electrical Engineering (EE) having both magnitude and angle as given. The formulas can be derived by the same procedure as given in lesson #6.

An example is taken up, when three equal impedances connected in delta are to be converted into its equivalent star. The impedances are equal, both in magnitude and angle, such that Three-Phase Balanced Supply | Basic Electrical Technology - Electrical Engineering (EE) The impedances connected in delta are of the form Three-Phase Balanced Supply | Basic Electrical Technology - Electrical Engineering (EE) Using the formula given here, the impedances of the star equivalent are also equal, having the magnitude as Three-Phase Balanced Supply | Basic Electrical Technology - Electrical Engineering (EE) and angle as Three-Phase Balanced Supply | Basic Electrical Technology - Electrical Engineering (EE)

The angles of the equivalent impedance connected in star are equal to the angles of the impedances connected in delta. The impedances connected in delta are also equal, both in magnitude and angle, and are of the form  Three-Phase Balanced Supply | Basic Electrical Technology - Electrical Engineering (EE) Similarly, if three equal impedances connected in star are converted into its equivalent delta, the magnitude and angle of the impedances using the formulas given here, are Three-Phase Balanced Supply | Basic Electrical Technology - Electrical Engineering (EE) respectively. This shows that three impedances are equal, both in magnitude and angle, with its value being

Three-Phase Balanced Supply | Basic Electrical Technology - Electrical Engineering (EE)  which can also be obtained simply from the result given earlier.

Three-Phase Balanced Supply | Basic Electrical Technology - Electrical Engineering (EE)

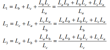
Now, let us use the above formula for the circuits (Fig. 18.8), using inductances only. The symbols used for the inductances are same  Three-Phase Balanced Supply | Basic Electrical Technology - Electrical Engineering (EE) The impedances of the inductances connected in delta, are computed as Three-Phase Balanced Supply | Basic Electrical Technology - Electrical Engineering (EE) the angles in three cases are 90°. The magnitudes of the impedances are proportional to the respective inductances as  Three-Phase Balanced Supply | Basic Electrical Technology - Electrical Engineering (EE) Converting the combination into its equivalent star, the inductances using the formulas given here, are Three-Phase Balanced Supply | Basic Electrical Technology - Electrical Engineering (EE)Three-Phase Balanced Supply | Basic Electrical Technology - Electrical Engineering (EE)

These relations can also be derived. Further, these are of the same form, as has been earlier obtained for resistances. It may be observed here that the formulas for series and parallel combination using inductances, instead of resistances, remain same, as shown in the previous module on ac single phase circuits, and also can be derived from first principles, such as relationship of induced emf in terms of inductance, as compared with Ohm’s law for resistance. The inductances are all ideal, i.e. lossless, having no resistive component. The formulas for star-delta conversion using inductances (conversion of starconnected inductances into its equivalent delta) are,

Three-Phase Balanced Supply | Basic Electrical Technology - Electrical Engineering (EE)

These are of the same form as derived for circuits with resistances. If three equal inductances  Three-Phase Balanced Supply | Basic Electrical Technology - Electrical Engineering (EE) connected in delta, are converted into its equivalent star, the inductances obtained are equal, its value being Three-Phase Balanced Supply | Basic Electrical Technology - Electrical Engineering (EE) which is derived using formulas given earlier. Similarly, if three equal inductances connected in star, are converted into its equivalent delta, the resultant inductances, using formulas, are equal  Three-Phase Balanced Supply | Basic Electrical Technology - Electrical Engineering (EE)

Three-Phase Balanced Supply | Basic Electrical Technology - Electrical Engineering (EE)

The formulas for the circuits (Fig. 18.9) using capacitances are derived here. The symbols used for the capacitances are same Three-Phase Balanced Supply | Basic Electrical Technology - Electrical Engineering (EE) The impedances of the inductances connected in delta, are computed as  Three-Phase Balanced Supply | Basic Electrical Technology - Electrical Engineering (EE)the angles in three cases are Three-Phase Balanced Supply | Basic Electrical Technology - Electrical Engineering (EE) The magnitudes of the impedances are inversely proportional to the respective capacitances as, Three-Phase Balanced Supply | Basic Electrical Technology - Electrical Engineering (EE)  

Converting the combination into its equivalent star, the resultant capacitances using the formulas given here, are

Three-Phase Balanced Supply | Basic Electrical Technology - Electrical Engineering (EE)

Three-Phase Balanced Supply | Basic Electrical Technology - Electrical Engineering (EE)

The capacitances in this case are all ideal, without any loss, specially at power frequency, which is true in nearly all cases, except otherwise stated. The formulas for star-delta conversion using capacitances (conversion of star-connected capacitances into its equivalent delta) are,

Three-Phase Balanced Supply | Basic Electrical Technology - Electrical Engineering (EE)
Three-Phase Balanced Supply | Basic Electrical Technology - Electrical Engineering (EE)
If three equal capacitances  Three-Phase Balanced Supply | Basic Electrical Technology - Electrical Engineering (EE) connected in delta, are converted into its equivalent star, the capacitances obtained are equal, its value being  Three-Phase Balanced Supply | Basic Electrical Technology - Electrical Engineering (EE) which is derived using formulas given earlier. Similarly, if three equal capacitances connected in star, are converted into its equivalent delta, the resultant capacitances, using formulas, are equal Three-Phase Balanced Supply | Basic Electrical Technology - Electrical Engineering (EE)

The formulas for conversion of three equal inductances/capacitances connected in delta into its equivalent star and vice versa (star-delta conversion) can also be obtained from the formulas using impedances as shown earlier, only by replacing inductance with impedance, and for capacitance by replacing it reciprocal of impedance (in both cases using magnitude of impedance only, as the angles are equal (90° for inductance and for -90° capacitance). Another point to note is left for observation by the reader. Please have a close look at the formulas needed for delta-star conversion and vice versa (stardelta conversion) for capacitances, including those with equal values of capacitances, and then compare them with the formulas needed for such conversion using resistances/inductances (may be impedances also). The rules for conversion of capacitances in series/parallel into its equivalent one can be compared to the rules for conversion of resistances/inductances in series/parallel into its equivalent one. 90° 90°− The reader is referred to the comments given after the example 18.1.

Example 18.1

The star-connected load consists of a resistance of 15 Ώ, in series with a coil having resistance of 5 Ώ, and inductance of 0.2 H, per phase. It is connected in parallel with the delta-connected load having capacitance of 90 μF per phase (Fig. 18.10a). Both the loads being balanced, and fed from a three-phase, 400 V, 50 Hz, balanced supply, with the phase sequence as R-Y-B. Find the line current, power factor, total power & reactive VA, and also total volt-amperes (VA).

Three-Phase Balanced Supply | Basic Electrical Technology - Electrical Engineering (EE)
 Three-Phase Balanced Supply | Basic Electrical Technology - Electrical Engineering (EE)

Solution

Three-Phase Balanced Supply | Basic Electrical Technology - Electrical Engineering (EE)Three-Phase Balanced Supply | Basic Electrical Technology - Electrical Engineering (EE)
For the balanced star-connected load, R = 15Ω 
For the inductance coil,  Three-Phase Balanced Supply | Basic Electrical Technology - Electrical Engineering (EE) with the above values taken per phase.

The impedance per phase is, Three-Phase Balanced Supply | Basic Electrical Technology - Electrical Engineering (EE)Three-Phase Balanced Supply | Basic Electrical Technology - Electrical Engineering (EE)
For the balanced delta-connected load, C = 90μF

Converting the above load into its equivalent star, Three-Phase Balanced Supply | Basic Electrical Technology - Electrical Engineering (EE)

Three-Phase Balanced Supply | Basic Electrical Technology - Electrical Engineering (EE)
The impedance per phase is  Three-Phase Balanced Supply | Basic Electrical Technology - Electrical Engineering (EE)

In the equivalent circuit for the load (Fig. 18.10b), the two impedances,  Three-Phase Balanced Supply | Basic Electrical Technology - Electrical Engineering (EE) are in parallel. So, the total admittance per phase is,
Three-Phase Balanced Supply | Basic Electrical Technology - Electrical Engineering (EE)

Three-Phase Balanced Supply | Basic Electrical Technology - Electrical Engineering (EE)Three-Phase Balanced Supply | Basic Electrical Technology - Electrical Engineering (EE)
Three-Phase Balanced Supply | Basic Electrical Technology - Electrical Engineering (EE)
The total impedance per phase is,
Three-Phase Balanced Supply | Basic Electrical Technology - Electrical Engineering (EE)Three-Phase Balanced Supply | Basic Electrical Technology - Electrical Engineering (EE)

The phasor diagram is shown in Fig. 18.10c. 

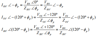
Taking the phase voltage, VRN as reference,

Three-Phase Balanced Supply | Basic Electrical Technology - Electrical Engineering (EE)

Three-Phase Balanced Supply | Basic Electrical Technology - Electrical Engineering (EE)

The phase voltages are,

Three-Phase Balanced Supply | Basic Electrical Technology - Electrical Engineering (EE)Three-Phase Balanced Supply | Basic Electrical Technology - Electrical Engineering (EE)
Three-Phase Balanced Supply | Basic Electrical Technology - Electrical Engineering (EE)
Three-Phase Balanced Supply | Basic Electrical Technology - Electrical Engineering (EE)Three-Phase Balanced Supply | Basic Electrical Technology - Electrical Engineering (EE)
Three-Phase Balanced Supply | Basic Electrical Technology - Electrical Engineering (EE)

As the total circuit (Fig. 18.5b) is taken as star-connected, the line and phase currents are same, i.e.,  Three-Phase Balanced Supply | Basic Electrical Technology - Electrical Engineering (EE)

Also, the phase angle of the total impedance is positive.

So, the power factor is    Three-Phase Balanced Supply | Basic Electrical Technology - Electrical Engineering (EE)
The total volt-amperes is  Three-Phase Balanced Supply | Basic Electrical Technology - Electrical Engineering (EE)
The total VA is also obtained as  Three-Phase Balanced Supply | Basic Electrical Technology - Electrical Engineering (EE)
The total power is  Three-Phase Balanced Supply | Basic Electrical Technology - Electrical Engineering (EE)
The total reactive volt-amperes is, 

Three-Phase Balanced Supply | Basic Electrical Technology - Electrical Engineering (EE)Three-Phase Balanced Supply | Basic Electrical Technology - Electrical Engineering (EE)

This example can be solved by converting the star-connected part into its equivalent delta, as shown in Example 19.1 (next lesson). A simple example (20.1) of a balanced star-connected load is also given in the last lesson (#20) of this module.

After starting with the generation of three-phase balanced voltage system, the phase and line voltages, both being balanced, first for star-connection, and then for deltaconnection (both on source side), are discussed. The currents (both phase and line) for balanced star-connected load, along with total power consumed, are also described in this lesson. An example is given in detail. In the next lesson, the currents (both phase and line) for balanced delta-connected load will be presented.

The document Three-Phase Balanced Supply | Basic Electrical Technology - Electrical Engineering (EE) is a part of the Electrical Engineering (EE) Course Basic Electrical Technology.
All you need of Electrical Engineering (EE) at this link: Electrical Engineering (EE)
74 docs|62 tests

FAQs on Three-Phase Balanced Supply - Basic Electrical Technology - Electrical Engineering (EE)

1. What is a three-phase balanced supply?
Ans. A three-phase balanced supply refers to a power system where the voltages and currents in all three phases are evenly balanced. This means that the magnitude and phase angle of each phase are equal, resulting in equal power distribution across the system.
2. How does a three-phase balanced supply work?
Ans. In a three-phase balanced supply, power is generated by three separate voltage sources, each 120 degrees out of phase with each other. These voltages are then connected to a load, such as a motor or an electrical grid, which utilizes the power generated by the three phases working together to provide a continuous and balanced supply of electricity.
3. What are the advantages of a three-phase balanced supply?
Ans. There are several advantages to using a three-phase balanced supply. Firstly, it provides a higher power output compared to a single-phase supply, making it suitable for larger industrial applications. Additionally, a balanced three-phase supply results in smoother operation of motors and other electrical equipment, reducing vibrations and improving efficiency. It also allows for better voltage regulation and lower transmission losses.
4. How is a three-phase balanced supply achieved?
Ans. A three-phase balanced supply is achieved by carefully designing the electrical system and ensuring that the voltages and currents in all three phases are equal. This can be done by using transformers, generators, or inverters that are specifically designed for three-phase applications. It is important to properly connect the phases and balance the load to maintain the balance throughout the system.
5. What are the common applications of a three-phase balanced supply?
Ans. A three-phase balanced supply is commonly used in various industrial applications, such as powering motors, pumps, and large machinery. It is also utilized in electrical grids for efficient power distribution. Additionally, three-phase power is often used in commercial buildings and residential areas where a higher power output is required for air conditioning systems, elevators, and other heavy-duty equipment.
Related Searches

Important questions

,

Sample Paper

,

Summary

,

Exam

,

Objective type Questions

,

Semester Notes

,

shortcuts and tricks

,

Viva Questions

,

study material

,

Three-Phase Balanced Supply | Basic Electrical Technology - Electrical Engineering (EE)

,

Three-Phase Balanced Supply | Basic Electrical Technology - Electrical Engineering (EE)

,

ppt

,

Three-Phase Balanced Supply | Basic Electrical Technology - Electrical Engineering (EE)

,

mock tests for examination

,

past year papers

,

Extra Questions

,

pdf

,

Previous Year Questions with Solutions

,

Free

,

video lectures

,

practice quizzes

,

MCQs

;