Physics Exam  >  Physics Notes  >  Physics for IIT JAM, UGC - NET, CSIR NET  >  Time Dependent Perturbation Theory, Fermi's Golden Rules and Selection Rules - Quantum Mechanics

Time Dependent Perturbation Theory, Fermi's Golden Rules and Selection Rules - Quantum Mechanics | Physics for IIT JAM, UGC - NET, CSIR NET PDF Download

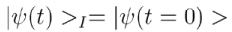
Motivation

1. Quantum measurement is a perturbation to quantum system.
2. The perturbation is time dependent.
3. The response of the system induced by perturbation is what we want to calculate. 

Time Dependent Perturbation Theory, Fermi`s Golden Rules and Selection Rules - Quantum Mechanics | Physics for IIT JAM, UGC - NET, CSIR NET

 

Problem

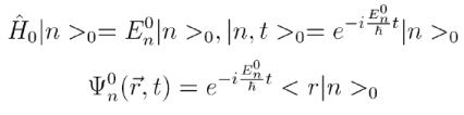
• Stationary solution of unperturbed part

Time Dependent Perturbation Theory, Fermi`s Golden Rules and Selection Rules - Quantum Mechanics | Physics for IIT JAM, UGC - NET, CSIR NET

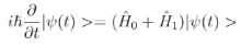
• Time dependent Schrodinger Equation:

Time Dependent Perturbation Theory, Fermi`s Golden Rules and Selection Rules - Quantum Mechanics | Physics for IIT JAM, UGC - NET, CSIR NET

 Solution

• The wavefunction can be expanded by unperturbed solutions:

Time Dependent Perturbation Theory, Fermi`s Golden Rules and Selection Rules - Quantum Mechanics | Physics for IIT JAM, UGC - NET, CSIR NET

  •  Solution of time dependent perturbation:

Time Dependent Perturbation Theory, Fermi`s Golden Rules and Selection Rules - Quantum Mechanics | Physics for IIT JAM, UGC - NET, CSIR NET

Time Dependent Perturbation Theory, Fermi`s Golden Rules and Selection Rules - Quantum Mechanics | Physics for IIT JAM, UGC - NET, CSIR NET

 

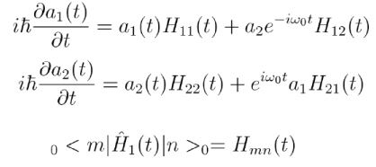
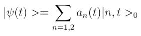
Two level system

  • For a two level system, i.e.  n=1,2

Time Dependent Perturbation Theory, Fermi`s Golden Rules and Selection Rules - Quantum Mechanics | Physics for IIT JAM, UGC - NET, CSIR NET

• Solution of time dependent perturbation for two level system:

Time Dependent Perturbation Theory, Fermi`s Golden Rules and Selection Rules - Quantum Mechanics | Physics for IIT JAM, UGC - NET, CSIR NET

 

Perturbation solution  

Time Dependent Perturbation Theory, Fermi`s Golden Rules and Selection Rules - Quantum Mechanics | Physics for IIT JAM, UGC - NET, CSIR NET

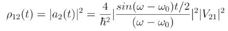
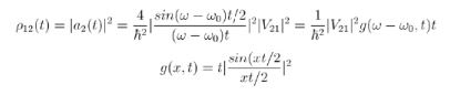
• Probability of particle at n=2 at time t:

Time Dependent Perturbation Theory, Fermi`s Golden Rules and Selection Rules - Quantum Mechanics | Physics for IIT JAM, UGC - NET, CSIR NET

Time Dependent Perturbation Theory, Fermi`s Golden Rules and Selection Rules - Quantum Mechanics | Physics for IIT JAM, UGC - NET, CSIR NET

 

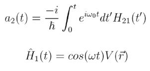
Transition probability 

  • Assume initial state is n=1, and probability of transition from n=1 state to n=2 state is:Time Dependent Perturbation Theory, Fermi`s Golden Rules and Selection Rules - Quantum Mechanics | Physics for IIT JAM, UGC - NET, CSIR NET

Time Dependent Perturbation Theory, Fermi`s Golden Rules and Selection Rules - Quantum Mechanics | Physics for IIT JAM, UGC - NET, CSIR NET

Time Dependent Perturbation Theory, Fermi`s Golden Rules and Selection Rules - Quantum Mechanics | Physics for IIT JAM, UGC - NET, CSIR NET

 

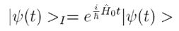
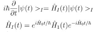
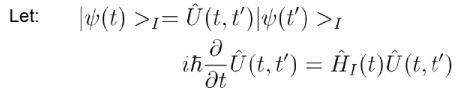
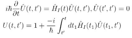
General derivation ( Interaction Picture)

  • We can use so called interaction picture

Time Dependent Perturbation Theory, Fermi`s Golden Rules and Selection Rules - Quantum Mechanics | Physics for IIT JAM, UGC - NET, CSIR NET

if there is no perturbation, we have:

Time Dependent Perturbation Theory, Fermi`s Golden Rules and Selection Rules - Quantum Mechanics | Physics for IIT JAM, UGC - NET, CSIR NET

namely, in the interaction picture, the state does not change as time if there is no perturbation. Now it is easy to show that

Time Dependent Perturbation Theory, Fermi`s Golden Rules and Selection Rules - Quantum Mechanics | Physics for IIT JAM, UGC - NET, CSIR NET

Time Dependent Perturbation Theory, Fermi`s Golden Rules and Selection Rules - Quantum Mechanics | Physics for IIT JAM, UGC - NET, CSIR NET

The time dependence of states in the interaction picture depends on HI .

 

General derivation ( Interaction Picture) 

  • Solution of

Time Dependent Perturbation Theory, Fermi`s Golden Rules and Selection Rules - Quantum Mechanics | Physics for IIT JAM, UGC - NET, CSIR NET

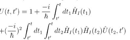
We can obtain the solution by iterating. We replace Time Dependent Perturbation Theory, Fermi`s Golden Rules and Selection Rules - Quantum Mechanics | Physics for IIT JAM, UGC - NET, CSIR NET  in the right side of equation according to equation, 

Time Dependent Perturbation Theory, Fermi`s Golden Rules and Selection Rules - Quantum Mechanics | Physics for IIT JAM, UGC - NET, CSIR NET

The process can repeat again and again to obtain infinite order.
The first order is given in the first line. Assuming the system at |n> at t=0, the probability for a system at state |m> at time t  is given

Time Dependent Perturbation Theory, Fermi`s Golden Rules and Selection Rules - Quantum Mechanics | Physics for IIT JAM, UGC - NET, CSIR NET

 

Fermi Golden Rule  

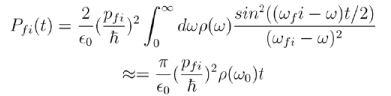
  • Let’s look the probability in the first order perturbation:

Time Dependent Perturbation Theory, Fermi`s Golden Rules and Selection Rules - Quantum Mechanics | Physics for IIT JAM, UGC - NET, CSIR NET

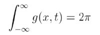
We can show: Time Dependent Perturbation Theory, Fermi`s Golden Rules and Selection Rules - Quantum Mechanics | Physics for IIT JAM, UGC - NET, CSIR NET

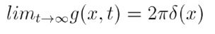
Therefore, we can view g(x,t) as t goes to infinity, 

Time Dependent Perturbation Theory, Fermi`s Golden Rules and Selection Rules - Quantum Mechanics | Physics for IIT JAM, UGC - NET, CSIR NET

By taking t to infinite limit, we obtain Fermi Golden Rule Formula:

Time Dependent Perturbation Theory, Fermi`s Golden Rules and Selection Rules - Quantum Mechanics | Physics for IIT JAM, UGC - NET, CSIR NET

Transition rate: probability for transition in a unit time interval! 

 

More about Fermi golden rule

Time Dependent Perturbation Theory, Fermi`s Golden Rules and Selection Rules - Quantum Mechanics | Physics for IIT JAM, UGC - NET, CSIR NET

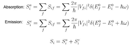
It is an energy conserved process!!
In many cases,  we consider a transition rate associated with an initial state, 

Time Dependent Perturbation Theory, Fermi`s Golden Rules and Selection Rules - Quantum Mechanics | Physics for IIT JAM, UGC - NET, CSIR NET

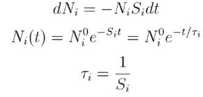
Life time of an state  

  • Under the perturbation: the number of particles transfer out of its’ original state are given by:

Time Dependent Perturbation Theory, Fermi`s Golden Rules and Selection Rules - Quantum Mechanics | Physics for IIT JAM, UGC - NET, CSIR NET

  • Spontaneous emission: normally, a system in excited state is not stable.

The excited state can radiate through interaction with matter. We can introduce a lifetime of an excited state due to spontaneous emission:

Time Dependent Perturbation Theory, Fermi`s Golden Rules and Selection Rules - Quantum Mechanics | Physics for IIT JAM, UGC - NET, CSIR NET

  •  If both are present:  we haveTime Dependent Perturbation Theory, Fermi`s Golden Rules and Selection Rules - Quantum Mechanics | Physics for IIT JAM, UGC - NET, CSIR NET

 

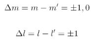
Selection rule  

  • In our formula, the transition between two states is proportional t

Time Dependent Perturbation Theory, Fermi`s Golden Rules and Selection Rules - Quantum Mechanics | Physics for IIT JAM, UGC - NET, CSIR NET

If  it is zero, then there is no transition between these two states, namely, The transition between two states is forbidden for this perturbation.

When we know the quantum number or symmetry of the states and know the  symmetry of perturbation potential, then  we can determine the allowed transition. This rule is called selection rule. 


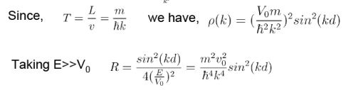
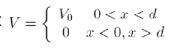
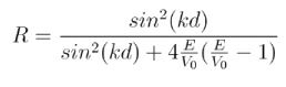
Example one: Scattering in One-Dimension  

  • consider a potential barrier in one dimension: Time Dependent Perturbation Theory, Fermi`s Golden Rules and Selection Rules - Quantum Mechanics | Physics for IIT JAM, UGC - NET, CSIR NET

  • For E>V0, the reflection is given by:,Time Dependent Perturbation Theory, Fermi`s Golden Rules and Selection Rules - Quantum Mechanics | Physics for IIT JAM, UGC - NET, CSIR NET

  • We can think the reflection process is from state |k> to |-k> with a time dependent perturbation at zero frequency. Therefore, we can apply the Fermi golden rule:

Time Dependent Perturbation Theory, Fermi`s Golden Rules and Selection Rules - Quantum Mechanics | Physics for IIT JAM, UGC - NET, CSIR NET

Time Dependent Perturbation Theory, Fermi`s Golden Rules and Selection Rules - Quantum Mechanics | Physics for IIT JAM, UGC - NET, CSIR NET

 

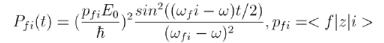
Example Two: Electromagnetic wave  

  • consider a potential barrier in one dimension:Time Dependent Perturbation Theory, Fermi`s Golden Rules and Selection Rules - Quantum Mechanics | Physics for IIT JAM, UGC - NET, CSIR NET

  • For given an initial state |i> and final state |f>,  the absorption is 

Time Dependent Perturbation Theory, Fermi`s Golden Rules and Selection Rules - Quantum Mechanics | Physics for IIT JAM, UGC - NET, CSIR NET

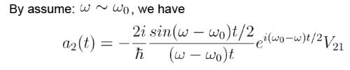
  • The above solution is for monochromatic electromagnetic wave. In general, a wave has a distribution of energy according to frequency,

Time Dependent Perturbation Theory, Fermi`s Golden Rules and Selection Rules - Quantum Mechanics | Physics for IIT JAM, UGC - NET, CSIR NET

  • Transition rate: 

Time Dependent Perturbation Theory, Fermi`s Golden Rules and Selection Rules - Quantum Mechanics | Physics for IIT JAM, UGC - NET, CSIR NET

 

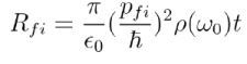
Example Two: selection in atom

  • consider a potential barrier in one dimension: Time Dependent Perturbation Theory, Fermi`s Golden Rules and Selection Rules - Quantum Mechanics | Physics for IIT JAM, UGC - NET, CSIR NET

  • Selection  rule for electromagnetic wave absorption in atom: (matrix element is nonzero)

  • For given an initial state |i>=|nlm> and final state |f>=|n’l’m’>, the matrix element

Time Dependent Perturbation Theory, Fermi`s Golden Rules and Selection Rules - Quantum Mechanics | Physics for IIT JAM, UGC - NET, CSIR NET

Time Dependent Perturbation Theory, Fermi`s Golden Rules and Selection Rules - Quantum Mechanics | Physics for IIT JAM, UGC - NET, CSIR NET

Time Dependent Perturbation Theory, Fermi`s Golden Rules and Selection Rules - Quantum Mechanics | Physics for IIT JAM, UGC - NET, CSIR NET

  • Proof:  using Time Dependent Perturbation Theory, Fermi`s Golden Rules and Selection Rules - Quantum Mechanics | Physics for IIT JAM, UGC - NET, CSIR NET    operators.

The document Time Dependent Perturbation Theory, Fermi's Golden Rules and Selection Rules - Quantum Mechanics | Physics for IIT JAM, UGC - NET, CSIR NET is a part of the Physics Course Physics for IIT JAM, UGC - NET, CSIR NET.
All you need of Physics at this link: Physics
158 docs

FAQs on Time Dependent Perturbation Theory, Fermi's Golden Rules and Selection Rules - Quantum Mechanics - Physics for IIT JAM, UGC - NET, CSIR NET

1. What is time-dependent perturbation theory?
Ans. Time-dependent perturbation theory is a framework in quantum mechanics used to study how a quantum system evolves when subjected to a time-dependent external perturbation. It provides a method to calculate the transition probabilities between different energy states of the system as a function of time.
2. What are Fermi's Golden Rules?
Ans. Fermi's Golden Rules are a set of mathematical formulas derived from time-dependent perturbation theory. They are used to calculate the transition rates or probabilities for processes involving the absorption or emission of particles or quanta, such as photons or electrons, in a quantum system.
3. How do selection rules relate to time-dependent perturbation theory?
Ans. Selection rules are principles that determine which transitions between energy states are allowed or forbidden in a quantum system. Time-dependent perturbation theory helps in understanding and deriving selection rules by calculating the transition probabilities and identifying the conditions under which certain transitions are possible or prohibited.
4. Can time-dependent perturbation theory be applied to any quantum system?
Ans. Time-dependent perturbation theory is a powerful tool that can be applied to a wide range of quantum systems, including atoms, molecules, and solid-state materials. However, its applicability depends on the nature of the perturbation and the specific characteristics of the system under study.
5. Are there any limitations or challenges in using time-dependent perturbation theory?
Ans. Yes, there are certain limitations and challenges in using time-dependent perturbation theory. It assumes that the perturbation is small compared to the unperturbed Hamiltonian, and it may not provide accurate results for strong perturbations. Additionally, the calculations can become complex and time-consuming for systems with a large number of energy states or when higher-order perturbation terms need to be considered.
Related Searches

shortcuts and tricks

,

mock tests for examination

,

Exam

,

Time Dependent Perturbation Theory

,

CSIR NET

,

UGC - NET

,

Fermi's Golden Rules and Selection Rules - Quantum Mechanics | Physics for IIT JAM

,

UGC - NET

,

CSIR NET

,

video lectures

,

Objective type Questions

,

Important questions

,

Viva Questions

,

Previous Year Questions with Solutions

,

Extra Questions

,

pdf

,

MCQs

,

Semester Notes

,

study material

,

Time Dependent Perturbation Theory

,

Free

,

Fermi's Golden Rules and Selection Rules - Quantum Mechanics | Physics for IIT JAM

,

Fermi's Golden Rules and Selection Rules - Quantum Mechanics | Physics for IIT JAM

,

ppt

,

UGC - NET

,

CSIR NET

,

practice quizzes

,

Time Dependent Perturbation Theory

,

Sample Paper

,

past year papers

,

Summary

;