GMAT Exam  >  GMAT Notes  >  Two-Part Analysis Solved Example

Two-Part Analysis Solved Example - GMAT PDF Download

1) Chair P, from Design Solutions, cost $60 per chair.  Chair Q, from Seat Unlimited, costs $90 per chair.  An office manager often has to buy several chairs to stock the floor space of new offices.   On one occasion, she orders p of chair P, and q of chair Q.  The average cost of a chair would be
Two-Part Analysis Solved Example - GMAT
In the table, select a value for p and a value for q corresponding to an average cost per chair of $70.  Make only two selections, one in each column.
Two-Part Analysis Solved Example - GMAT
Solution: 

1) We know the average is $70, so set the fraction expression equal to 70.
Two-Part Analysis Solved Example - GMAT

The WRONG approach would be to start trying to figure out what pairs of numbers would satisfy the fraction in this form.  That would take more than ten minutes!  Instead, algebraically simplify.  First, multiply by the denominator (p + q)
70(p + q) = 60p + 90q
70p + 70q = 60p + 90q
10p + 70q = 90q
10p = 20q
p = 2q
Right there, that’s the simple relationship we need.  The number p has to be double of the number q.  The only pair of numbers in this set that fit this relationship are p = 56 and q = 28.

2) A contractor is hired to construct two concrete retaining walls for the city: Harrison Wall and Jackson Wall.  As part of his budget, he needs to calculate the cost of the concrete he will use.   For raw materials for the concrete, he has to pay $9.75 per cubic meter of concrete. Harrison Wall will be 35 cm thick, and will have dimensions of 11.5 m long and 8.1 m high.   Jackson Wall will be 50 cm thick, and will have dimensions of 31.0 meter long 11.8 m high.
In the table, select the value that the closest to the cost of the concrete for Harrison Wall as well as the cost of the concrete for Jackson Wall.  Make only two selections, one in each column.
Two-Part Analysis Solved Example - GMAT

Solution: This is a problem screaming out for estimation.   Don’t touch the IR calculator at all — the calculator will be a HUGE waste of time on this question.   
Here’s our estimation:

cost of concrete ≈ $10 per cubic meter of concrete
Harrison Wall = Two-Part Analysis Solved Example - GMAT= (4m2)x(8m) = 32m3
cost of Harrison = Two-Part Analysis Solved Example - GMAT
Jackson Wall = Two-Part Analysis Solved Example - GMAT = (30 m) x (6m2) = 180 m3
cost of Jackson  = Two-Part Analysis Solved Example - GMAT

3) Among the teachers at Ashcroft High School, English and History teacher have the heaviest grading burden. In addition to the smaller daily assignments that all other teachers must grade, English and History teachers, especially of junior and senior students, must grade lengthy writing assignments a few times a semester — literary essays in English and term papers in History. Therefore, since English and History teachers grade more, they should be paid more than the teachers of other subjects.

Select Strengthen for the statement that would, if true, most strengthen the argument, and select Weaken for the statement that would, if true, most weaken the argument.  Make only two selections, one in each column.
Two-Part Analysis Solved Example - GMAT
Solution: 

Choice (A) is irrelevant.  The focus of the question is about time spent grading, so time spent meeting with students is outside of the focus of the question.
Choice (B) is irrelevant.  We have absolutely no indication that teaching different grade levels would involve more or less time spend grading papers,  so there is no clear connection between this statement and the thrust of the argument.
Choice (C) is vague, making an appeal to what most schools do.  If most of the other schools have equal pay for teachers of all subjects, then maybe those schools are doing things the fair way, and this argument is wrong; or maybe the argument about Ashcroft recognizes a fundamental inequity that is not recognized at most other school, and Ashcroft will, by its shining example, usher in a new era of workplace equality.   Just because one place is considering doing things differently from the way everyone else does them does not necessarily indicate who is right.
Choice (D) points out a flaw.  If Science teachers spent a great deal of time grading lab reports, then it definitely wouldn’t be fair for English and History teachers to get more pay for grading, but not the Science teachers.  This is a weakener.
Choice (E) is irrelevant.  If one pay system or another is the fair and right thing to do, it doesn’t matter who makes the decision to implement it.   Furthermore, it sounds as if the union is interesting in basing pay on “merit”, which is a different criterion than the one supported in the argument.
Choice (F) is a strengthener.  If this is true, then indeed, pay reflects hours of work, and so if the English and History teachers do work many more hours because of all the grading they have, then they would get paid accordingly.   This is a strengthener.

strengthener = (F)

weakener = (D)


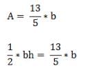
4) The area of a triangle, in square meters, is 7/3 times the height in meters, and it is also 13/5 times the base, in meters.
In the table below, select a value for the height and value for the base, where both are measured in meters, so that the two values are jointly consistent with the information provided.  Make only two selections, one in each column.

Two-Part Analysis Solved Example - GMAT
Solution:  The first statement, in math symbols:
Two-Part Analysis Solved Example - GMAT
Two-Part Analysis Solved Example - GMAT
The second statement, in math symbols:
Two-Part Analysis Solved Example - GMAT
Two-Part Analysis Solved Example - GMAT

5) On planet K, there is essentially no atmosphere, so objects in freefall experience no air friction.  At time t = 0, an object released from rest accelerates downward at a uniform rate: it’s downward speed uniformly increases.  At time t = 2 second, the object has fallen a distance D in meters from its original height.  At time t = 5 second, the object is 75 meters below its original height, and is moving at a downward speed of v in meters per second.

In the table below, select values of D, the distance below the initial height at t = 2 seconds, and v, the downward speed at t = 5 seconds, that are consistent with the information provided.   Make only two selections, one in each column.
Two-Part Analysis Solved Example - GMAT
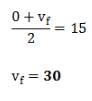
Solution: We will solve for the second column first.  The object has fallen 75 meters in 5 seconds, which is an average speed of 75/5 = 15 meters/second.  This speed, the average for the entire five seconds, would be the average of the initial speed and the final speed.   The initial speed is zero.
Two-Part Analysis Solved Example - GMAT
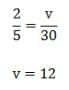
That is the speed at time t = 5 seconds.   The object has been increasing speed at a uniform rate from 0 to 30, so for the speed at t = 2 seconds, we can set up a proportion.
Two-Part Analysis Solved Example - GMAT
If that’s the speed at time t = 2 seconds, then the average speed over the first two seconds is
Two-Part Analysis Solved Example - GMAT
If the object moved downward at an average speed of 6 meters/second for 2 seconds, then it covers 12 meters.
v = 30

D = 12

6) Highway commissioner: at the present time, the forty mile stretch of interstate highway from the town of Hillsborough to the city of West Fredericksport is clogged every weekday with commuter who live in Hillsborough and work in West Fredericksport.   Our department is considering increasing the lanes in this stretch of the interstate highway, and the town of Hillsborough could benefit its citizens by contributing to this highway improvement.
Mayor of Hillsborough: we could contribute much more to the well-being of citizens of Hillsborough by investing that same money in a stimulus package to increase the number of jobs here in Hillsborough.
Suppose that the highway commissioner’s and mayor’s statements express their genuine opinions.  Select statements (1) and (2) as follows: the highway commissioner would likely disagree with (1), and the mayor would take (2) to present logical support for (1).  Select only two statement, one per column.

Two-Part Analysis Solved Example - GMAT
Solution:
For statement (1), we need a statement that is simultaneously one with which the highway commissioner would clearly disagree, and which the mayor would clearly support.
Choice (A): the highway commission would clearly disagree with this, but it’s not at all clear that the mayor would agree.  It’s a very extreme statement: even if expanding the highway is not the very best option for the citizens of Hillsborough, that doesn’t  mean it will be harmful.
Choice (B): the mayor would clearly agree with this, but it’s not very clear that the highway commissioner would disagree: nothing in what the highway commissioner says gives any clear indication that he would disagree with this.
Choice (C): not directly relevant: it is unclear whether either speaker would agree or disagree with this.
Choice (D): not directly relevant: it is unclear whether either speaker would agree or disagree with this.
Choice (E): this opposes the substance of the highway commissioner’s argument, and in some ways, it is a paraphrase of the mayor’s objection to the highway commissioner.  It is clear that the highway commissioner would disagree, since it contradicts his position, and it is clear that the mayor would support this, since it is completely consistent with what she said.  This is a good candidate for Statement (1).
Choice (F): not directly relevant: while the highway commissioner might agree, it is unclear whether the mayor would agree or disagree with this.
The best choice for statement (1) is (E).
To support (E), the only remaining statement that’s relevant and with which the mayor wholeheartedly would agree is (B) — that has to be statement (2).
Statement (1) = (E)
Statement (2) = (B)

The document Two-Part Analysis Solved Example - GMAT is a part of GMAT category.
All you need of GMAT at this link: GMAT

FAQs on Two-Part Analysis Solved Example - GMAT

1. What is the GMAT and what does it stand for?
Ans. The GMAT, which stands for Graduate Management Admission Test, is a standardized test required for admission to many business schools. It assesses a candidate's analytical, writing, quantitative, verbal, and reading skills.
2. How long is the GMAT test?
Ans. The GMAT test has a total duration of approximately 3 hours and 30 minutes. This includes the time for the optional breaks between the sections.
3. Can I use a calculator during the GMAT test?
Ans. No, the use of calculators is not allowed during the GMAT test. The test measures your ability to perform calculations without relying on a calculator.
4. How many times can I take the GMAT test?
Ans. You can take the GMAT test up to five times within a 12-month period. However, you must wait at least 16 days between each attempt.
5. How is the GMAT test scored?
Ans. The GMAT test is scored on a scale of 200 to 800, with the majority of test takers scoring between 400 and 600. The score is based on the number of questions answered correctly, the difficulty level of the questions, and the amount of time taken to answer them.
Download as PDF

Top Courses for GMAT

Related Searches

Sample Paper

,

Two-Part Analysis Solved Example - GMAT

,

shortcuts and tricks

,

Two-Part Analysis Solved Example - GMAT

,

Important questions

,

Two-Part Analysis Solved Example - GMAT

,

Exam

,

study material

,

Viva Questions

,

pdf

,

video lectures

,

Semester Notes

,

Objective type Questions

,

Extra Questions

,

mock tests for examination

,

MCQs

,

ppt

,

past year papers

,

Free

,

Previous Year Questions with Solutions

,

Summary

,

practice quizzes

;