Wave Guides - 1 | Electromagnetics - Electronics and Communication Engineering (ECE) PDF Download

Wave Guides

Electromagnetic waves carry both energy and momentum. It should therefore be possible to transmit energy contained in the wave from one place to another. For low frequencies (typically, less than 1 MHz), this is done by parallel transmission lines or coaxial cables. However, for higher frequencies, such as microwave frequencies, we need special conduits such a hollow metal tubes or optical fibers.

We will first explain the basic concepts of guiding waves by taking  the simple case of a pair of  parallel, infinite metal plates with a separation d between them. The wave is made to propagate in the hollow region between the plates, which we take to be empty space. We have seen that the electric field is primarily confined to the surface, penetrating a small “skin depth” which  becomes smaller with increasing frequency.  As a result we take the electric field to vanish at the surface of the guide. 

Wave Guides - 1 | Electromagnetics - Electronics and Communication Engineering (ECE)

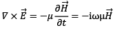
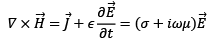
Let us rewrite the Maxwell’s equations for the case where there are free charges or currents.

Wave Guides - 1 | Electromagnetics - Electronics and Communication Engineering (ECE)

Wave Guides - 1 | Electromagnetics - Electronics and Communication Engineering (ECE)

Wave Guides - 1 | Electromagnetics - Electronics and Communication Engineering (ECE)

where we have time variation to be  Wave Guides - 1 | Electromagnetics - Electronics and Communication Engineering (ECE)

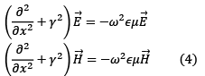
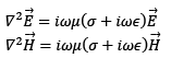
Taking the curl of the these equations and substituting from the other equations, we get

Wave Guides - 1 | Electromagnetics - Electronics and Communication Engineering (ECE)

For propagation between the plannes, σ = 0, so that we have,

Wave Guides - 1 | Electromagnetics - Electronics and Communication Engineering (ECE)

We will return to thiese equations a little while later.

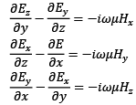
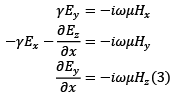
Consider the original curl equations and write them in component form (with σ = 0)

Wave Guides - 1 | Electromagnetics - Electronics and Communication Engineering (ECE)

gives,

Wave Guides - 1 | Electromagnetics - Electronics and Communication Engineering (ECE)

Parallely, the derivatives of electric field components satisf,

Wave Guides - 1 | Electromagnetics - Electronics and Communication Engineering (ECE)

The solutions of these set of equations can be classified into three distinct groups. The direction of propagation being along the z direction, we term this direction as  the longitudinal direction and a direction perpendicular to it (i.e. x and y directions) as the transverse direction.  The distinct solutions are grouped as

  1. Solutions for which Ez = 0 , i.e. the non-zero electric field is transverse to the direction of propagation. This is called the "Transverse Electric " or TE mode. In this case the longitudinal component of magnetic field is non-vanishing (Hz≠0). The solution, therefore, is also referred to as H-mode.
  2. Solutions for which Hz = 0 , i.e. the non-zero magnetic field is transverse to the direction of propagation. This is called the "Transverse Magnetic " or TM mode. In this case the longitudinal component of electric field is non-vanishing (Ez≠ 0). The solution, therefore, is also referred to as E-mode.
  3. In some situations, it is possible to have the longitudinal component of both electric and magnetic field to be simultaneously zero, like the case of propagation of electromagnetic wave in free space. This special solution is called "Transverse Electric and Magnetic Mode" or TEM mode.

It is of course possible for a solution not to belong to any of these distinct categories in which case it would be a "mixed mode" solution.

Since the wave propagates along the z direction, the z dependence of the field is specified,

Wave Guides - 1 | Electromagnetics - Electronics and Communication Engineering (ECE)

where, the complex factor Wave Guides - 1 | Electromagnetics - Electronics and Communication Engineering (ECE) Thus Wave Guides - 1 | Electromagnetics - Electronics and Communication Engineering (ECE) is equivalent to multiplication by - Wave Guides - 1 | Electromagnetics - Electronics and Communication Engineering (ECE)  Further, since the plates are of infinite extent in y direction, there is no field variation in this direction so that we can replace the derivative Wave Guides - 1 | Electromagnetics - Electronics and Communication Engineering (ECE) by zero. Using these, we can rewrite the equations above as

Wave Guides - 1 | Electromagnetics - Electronics and Communication Engineering (ECE)

and

Wave Guides - 1 | Electromagnetics - Electronics and Communication Engineering (ECE)

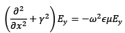
The wave equation (1) takes the form,

Wave Guides - 1 | Electromagnetics - Electronics and Communication Engineering (ECE)

We will discuss in detail the TE solution and leave the TM solution as an exercise.

TE- Mode

In this case E= 0. From Eqn. (2) , we get Hy = constant, which we can choose to be zero. This in turn implies, from Eqn. (3), Ex = 0. We will first solve for Eusing Eqn. (4).

Wave Guides - 1 | Electromagnetics - Electronics and Communication Engineering (ECE)

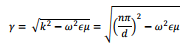
Define k= ŷ2 + ω2∈μ. We have,

Wave Guides - 1 | Electromagnetics - Electronics and Communication Engineering (ECE)

the solution of which are well known to be

Wave Guides - 1 | Electromagnetics - Electronics and Communication Engineering (ECE)

(complete solution will be obtained by multiplying this with  Wave Guides - 1 | Electromagnetics - Electronics and Communication Engineering (ECE)

We now insert the boundary condition, Ey = 0 on both the plates, i.e. at x= 0 and at x= d.

The former gives B= 0, so that Ey = A sin Kx. The latter condition restricts the values that k can take to  Wave Guides - 1 | Electromagnetics - Electronics and Communication Engineering (ECE) where n = 1,2, … .( n cannot take the value zero because that would make the field identically zero. )

Thus we have,

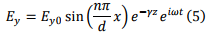
Wave Guides - 1 | Electromagnetics - Electronics and Communication Engineering (ECE)

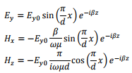
where A = Ey0 is the maximum value of the field. We can now use this expression in Eqn. (3) to obtain the magnetic field components

Wave Guides - 1 | Electromagnetics - Electronics and Communication Engineering (ECE)

Wave Guides - 1 | Electromagnetics - Electronics and Communication Engineering (ECE)

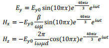
Modes are named by specifying the value that n takes. As we have seen the lowest mode is n = 1. This is termed as TE10 mode, the meaning of the second index will be clear when we discuss rectangular waveguides but for the present case it remains zero for all values of n. The following figure gives the electric field profile for n=1 and n=2 for a fixed z.

Wave Guides - 1 | Electromagnetics - Electronics and Communication Engineering (ECE)

If we look along the direction of propagation, for the Wave Guides - 1 | Electromagnetics - Electronics and Communication Engineering (ECE)mode, thefield lines crowdat the centre of the guide, where the field strength is strongest.

Wave Guides - 1 | Electromagnetics - Electronics and Communication Engineering (ECE)

The corresponding magnetic fields for  Wave Guides - 1 | Electromagnetics - Electronics and Communication Engineering (ECE) are shown below:       Wave Guides - 1 | Electromagnetics - Electronics and Communication Engineering (ECE)

Wave Guides - 1 | Electromagnetics - Electronics and Communication Engineering (ECE)

Cutoff Frequency 

Is transmission in this manner always possible? We have,

Wave Guides - 1 | Electromagnetics - Electronics and Communication Engineering (ECE)

Propagating solution implies that Wave Guides - 1 | Electromagnetics - Electronics and Communication Engineering (ECE) Thus we requires,

Wave Guides - 1 | Electromagnetics - Electronics and Communication Engineering (ECE)

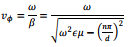
If the frequency is less than this, the wave attenuates. The phase velocity for the propagating solution is given by

Wave Guides - 1 | Electromagnetics - Electronics and Communication Engineering (ECE)

As frequency decreases and approaches the critical value, it becomes infinite. For very large frequencies, the velocity in vacuum approaches that of light  Wave Guides - 1 | Electromagnetics - Electronics and Communication Engineering (ECE)

TM Mode

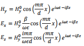
We will not work out the TM mode algebra. In this case Wave Guides - 1 | Electromagnetics - Electronics and Communication Engineering (ECE) . The non-zero field components are

Wave Guides - 1 | Electromagnetics - Electronics and Communication Engineering (ECE)

TEM Mode

Note that in TM case , unlike in the case of TE modes, we can have m=0 here because the solutions are in terms of cosine functions. In this case we have,

Wave Guides - 1 | Electromagnetics - Electronics and Communication Engineering (ECE)

which gives the ratio  Wave Guides - 1 | Electromagnetics - Electronics and Communication Engineering (ECE) which is the intrinsic impedance we have seen to characterize propagation of wave in a uniform medium.

 

Tutorial Assignment

  1. For a guided wave between two infinite conducting planes separated by a distance of 0.25 m, find the cutoff frequency for the TM20 mode. If the operating frequency is 3 GHz, find the phase velocity of the wave.
  2. A TE10 mode propagates between two parallel planes separated by a distance of 0.25 m. The planes are lossy and have a conductivity of 5 × 107 S/m. If the maximum electric field strength between the planes is 1000 V/m, determine the power loss per square meter on each plate when the operating frequency is 2 GHz.

Solutions to Tutorial Assignments

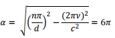
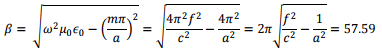
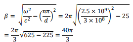
  1. The critical angular frequencyωc is given by

                                                    Wave Guides - 1 | Electromagnetics - Electronics and Communication Engineering (ECE)

            so that the cutoff frequency is given by

                                           Wave Guides - 1 | Electromagnetics - Electronics and Communication Engineering (ECE)

             If the operating frequency is 3 GHz, the propagation constant is given by

                                          Wave Guides - 1 | Electromagnetics - Electronics and Communication Engineering (ECE)

            The phase velocity is given by

                                           Wave Guides - 1 | Electromagnetics - Electronics and Communication Engineering (ECE)

2. The amplitude of linear current density on the plates is equal to the tangential component of the magnetic field on the planes,

                                              Wave Guides - 1 | Electromagnetics - Electronics and Communication Engineering (ECE)

               Power loss per unit length of conductor

                                           Wave Guides - 1 | Electromagnetics - Electronics and Communication Engineering (ECE)

               We take Wave Guides - 1 | Electromagnetics - Electronics and Communication Engineering (ECE) . The loss for TE10 is (in J/m)

                                        Wave Guides - 1 | Electromagnetics - Electronics and Communication Engineering (ECE)

Self Assessment Questions

  1. For a guided wave between two infinite conducting planes separated by a distance of 0.2m. If the operating frequency is 3.3 GHz, find the number of distinct modes that can travel in the guide.
  2. A TE20 mode is propagating along the z direction between two parallel conducting planes separated by 0.2m along the x- direction. Find the cutoff frequency. Determine λx. If the operating frequency is 2.5 GHz, determine λz and the non-vanishing components of the electric and the magnetic field. If the operating frequency is 1.2 GHz, calculate the distance over which the strength of the fields reduce to 1/e of their value.
  3. Calculate the rate at which energy is transmitted in a parallel plane waveguide operating in TE10 mode

Solutions to Self Assessment Questions

1. The propagation constant is given by

                              Wave Guides - 1 | Electromagnetics - Electronics and Communication Engineering (ECE)

                                   Wave Guides - 1 | Electromagnetics - Electronics and Communication Engineering (ECE)

     For propagation to take place 22 > 5n, so that n<5. This implies 4 TE modes, 4 TM modes and one TEM mode, giving a total of 9 modes.

2. The cutoff frequency is given by  Wave Guides - 1 | Electromagnetics - Electronics and Communication Engineering (ECE) The wavelength in the x direction for  Wave Guides - 1 | Electromagnetics - Electronics and Communication Engineering (ECE) m. If the operating frequency is 2.5 ×      109Hz., the propagation vector is given by (using n=2)

                               Wave Guides - 1 | Electromagnetics - Electronics and Communication Engineering (ECE)

    The fields are as follows :

                          Wave Guides - 1 | Electromagnetics - Electronics and Communication Engineering (ECE)

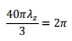
     To determine λz, we use the fact that it is equal to the distance over which the phase of the propagating wave changes by 2π. Thus

                                 Wave Guides - 1 | Electromagnetics - Electronics and Communication Engineering (ECE)

                so that λz= 3/20m.

    If the operating frequency is 1.2 GHz, the wave attenuates, and we have,

                                     Wave Guides - 1 | Electromagnetics - Electronics and Communication Engineering (ECE)

    so that the attenuation distance is  Wave Guides - 1 | Electromagnetics - Electronics and Communication Engineering (ECE)

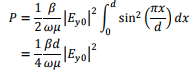
3. The fields are given by 

                                     Wave Guides - 1 | Electromagnetics - Electronics and Communication Engineering (ECE)

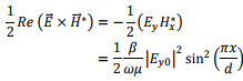
   Power transmitted per unit area is

                               Wave Guides - 1 | Electromagnetics - Electronics and Communication Engineering (ECE)

   Power transmitted in z direction through an area of unit width,

                                    Wave Guides - 1 | Electromagnetics - Electronics and Communication Engineering (ECE)

The document Wave Guides - 1 | Electromagnetics - Electronics and Communication Engineering (ECE) is a part of the Electronics and Communication Engineering (ECE) Course Electromagnetics.
All you need of Electronics and Communication Engineering (ECE) at this link: Electronics and Communication Engineering (ECE)
11 videos|94 docs|89 tests

FAQs on Wave Guides - 1 - Electromagnetics - Electronics and Communication Engineering (ECE)

1. What are wave guides?
Ans. Wave guides are structures used to guide electromagnetic waves, typically in the microwave frequency range. They are made of metal and have a hollow, rectangular or cylindrical shape that allows the waves to propagate through them with minimal loss.
2. What is TE mode in wave guides?
Ans. TE mode, or transverse electric mode, is a type of electromagnetic wave propagation in a wave guide where the electric field is perpendicular to the direction of propagation and there is no magnetic field component along the direction of propagation.
3. What is TM mode in wave guides?
Ans. TM mode, or transverse magnetic mode, is a type of electromagnetic wave propagation in a wave guide where the magnetic field is perpendicular to the direction of propagation and there is no electric field component along the direction of propagation.
4. What is TEM mode in wave guides?
Ans. TEM mode, or transverse electromagnetic mode, is a type of electromagnetic wave propagation in a wave guide where both the electric and magnetic fields are perpendicular to the direction of propagation. In TEM mode, there are no electric or magnetic field components along the direction of propagation.
5. How do wave guides work?
Ans. Wave guides work by confining and guiding electromagnetic waves along a specific path. The structure of the wave guide, such as its shape and dimensions, determines the propagation characteristics of the waves. The wave guide's walls reflect and guide the waves, allowing them to travel from one point to another with minimal loss.
Related Searches

Free

,

Wave Guides - 1 | Electromagnetics - Electronics and Communication Engineering (ECE)

,

Exam

,

study material

,

MCQs

,

Viva Questions

,

Semester Notes

,

mock tests for examination

,

Wave Guides - 1 | Electromagnetics - Electronics and Communication Engineering (ECE)

,

Sample Paper

,

pdf

,

past year papers

,

Previous Year Questions with Solutions

,

Wave Guides - 1 | Electromagnetics - Electronics and Communication Engineering (ECE)

,

Summary

,

ppt

,

shortcuts and tricks

,

practice quizzes

,

Important questions

,

Objective type Questions

,

Extra Questions

,

video lectures

;