Wave Guides & Resonating Cavities | Electromagnetics - Electronics and Communication Engineering (ECE) PDF Download

Resonating Cavity

We have shown in the last lecture that the electric field components for  Wave Guides & Resonating Cavities | Electromagnetics - Electronics and Communication Engineering (ECE)are given by 

                           Wave Guides & Resonating Cavities | Electromagnetics - Electronics and Communication Engineering (ECE)

                           Wave Guides & Resonating Cavities | Electromagnetics - Electronics and Communication Engineering (ECE)

Let us consider  Wave Guides & Resonating Cavities | Electromagnetics - Electronics and Communication Engineering (ECE) This implies that ky = 0, leading to Ex=0 and Hy=0 Thus the only non-zero components are

                           Wave Guides & Resonating Cavities | Electromagnetics - Electronics and Communication Engineering (ECE)

where

                         Wave Guides & Resonating Cavities | Electromagnetics - Electronics and Communication Engineering (ECE)

In terms of Hz0 the fields are rewritten as,

                           Wave Guides & Resonating Cavities | Electromagnetics - Electronics and Communication Engineering (ECE)

Q- Factor of a Resonator

The Q-factor, a short form for Quality factor of a resonator is defined as the ratio of the amount of energy stored in the cavity and the amount of energy lost per cycle through the walls of the cavity. In the following we will calculate the Q factor for the TE1,0,1 mode of the cavity. The deterioration of the cavity is because of two factors, viz. the finite conductivity of the walls of the cavity and an imperfect dielectric in the space between. We will consider the space between the walls to be vacuum so that it is only the finite conductivity of the walls that we need to worry about. The conductivity, though not infinite, is nevertheless large so that the skin depth is small. The tangential component of the magnetic field will be assumed to be confined to a depth equal to the skin depth which leads to a surface current Js.

Let us first calculate the stored energy. The average energy stored is given by

                         Wave Guides & Resonating Cavities | Electromagnetics - Electronics and Communication Engineering (ECE)

since the only non-zero component of the electric field is along the y direction. Substituting the expression for Ey, we get

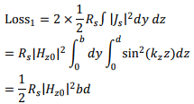
                         Wave Guides & Resonating Cavities | Electromagnetics - Electronics and Communication Engineering (ECE)

The first two integrals respectively give  Wave Guides & Resonating Cavities | Electromagnetics - Electronics and Communication Engineering (ECE) and Wave Guides & Resonating Cavities | Electromagnetics - Electronics and Communication Engineering (ECE) while the last one gives b.We thus have,

                         Wave Guides & Resonating Cavities | Electromagnetics - Electronics and Communication Engineering (ECE)

We will now calculate the loss through the walls of the wave guide.

We know that the surface current causes a discontinuity in the magnetic field. As the magnetic field decrease fast within the skin depth region, we will assume the field to be zero in this region and calculate the surface current from the relation

                            Wave Guides & Resonating Cavities | Electromagnetics - Electronics and Communication Engineering (ECE)

where  Wave Guides & Resonating Cavities | Electromagnetics - Electronics and Communication Engineering (ECE) is the unit normal pointing into the resonator.

For the rectangular parallelepiped we have three pairs of symmetric surfaces, contribution from each pair being the same. For instance we have a front face at x=α and a back face at x=0.

             Wave Guides & Resonating Cavities | Electromagnetics - Electronics and Communication Engineering (ECE)

For both the front face the normal direction is along  Wave Guides & Resonating Cavities | Electromagnetics - Electronics and Communication Engineering (ECE) and for the back face it is along  Wave Guides & Resonating Cavities | Electromagnetics - Electronics and Communication Engineering (ECE) since it is inward into the cavity. The surface current density is thus given by

                        Wave Guides & Resonating Cavities | Electromagnetics - Electronics and Communication Engineering (ECE)

since Hy=0 in this mode. We are, however interested in  Wave Guides & Resonating Cavities | Electromagnetics - Electronics and Communication Engineering (ECE) so that contribution from the two walls add up and we get the loss from these two sides as

                        Wave Guides & Resonating Cavities | Electromagnetics - Electronics and Communication Engineering (ECE)

we can in a similar way calculate the contribution from the left (y=0) and the right (y=b) faces for which  Wave Guides & Resonating Cavities | Electromagnetics - Electronics and Communication Engineering (ECE)

                  Wave Guides & Resonating Cavities | Electromagnetics - Electronics and Communication Engineering (ECE)

so that 

                    Wave Guides & Resonating Cavities | Electromagnetics - Electronics and Communication Engineering (ECE)

Substituting this and integrating, the loss from the two side walls becomes

           Wave Guides & Resonating Cavities | Electromagnetics - Electronics and Communication Engineering (ECE)

In a similar way the loss from the top and the bottom faces can be found to be

            Wave Guides & Resonating Cavities | Electromagnetics - Electronics and Communication Engineering (ECE)

Adding, all the losses, the total loss becomes

            Wave Guides & Resonating Cavities | Electromagnetics - Electronics and Communication Engineering (ECE)

The Q factor is given by ω times the quotient of [1) with (2)

                Wave Guides & Resonating Cavities | Electromagnetics - Electronics and Communication Engineering (ECE)

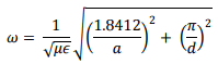
where we have substituted  Wave Guides & Resonating Cavities | Electromagnetics - Electronics and Communication Engineering (ECE) thus the quality factor can be determined from a knowledge of the dimension of the cavity, the operating frequency and the nature of the material of the walls.

Circular Wave Guides

Wave Guides & Resonating Cavities | Electromagnetics - Electronics and Communication Engineering (ECE)

The waveguide that we consider are those with circular cross section. The direction of propagation is still the z axis so that the geometry is cylindrical. This geometry is of great practical value as optical fibers used in communication have this geometry. However, optical fibres are dielectric wave guides whereas what we are going to discuss are essentially hollow metal tube of circular cross section.

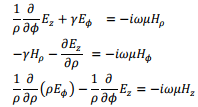
We take the cylindrical coordinates to be (ρ,φ,z) and the radius of cross section to be a. We will first express the two curl equations in cylindrical.

As there are no real current, we have

                  Wave Guides & Resonating Cavities | Electromagnetics - Electronics and Communication Engineering (ECE)

                   Wave Guides & Resonating Cavities | Electromagnetics - Electronics and Communication Engineering (ECE)

As before, we will replace  Wave Guides & Resonating Cavities | Electromagnetics - Electronics and Communication Engineering (ECE) so that these equations become

                      Wave Guides & Resonating Cavities | Electromagnetics - Electronics and Communication Engineering (ECE)

The other set of the curl equations are obtained from Faraday’s law and can be easily written down from the above set by replacing ∈ with - μ and interchanging E and H.

We get,

                Wave Guides & Resonating Cavities | Electromagnetics - Electronics and Communication Engineering (ECE)

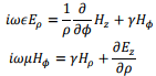
As in the case of rectangular wave guides, we can still classify the modes as TE or TM. Consider one pair of the above equations,

               Wave Guides & Resonating Cavities | Electromagnetics - Electronics and Communication Engineering (ECE)

we can eliminate Hφ from these two equations, and express Eρ as

           Wave Guides & Resonating Cavities | Electromagnetics - Electronics and Communication Engineering (ECE)

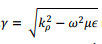
Define, γ2 + ∈μω2= k2 to rewrite this equation as

                           Wave Guides & Resonating Cavities | Electromagnetics - Electronics and Communication Engineering (ECE)

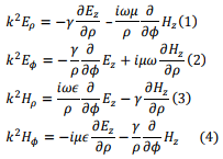
Thus we have succeeded in expressing Eρ in terms of derivatives of the z component of E and H. In a similar way we can express all the four components.

                          Wave Guides & Resonating Cavities | Electromagnetics - Electronics and Communication Engineering (ECE)

                              Wave Guides & Resonating Cavities | Electromagnetics - Electronics and Communication Engineering (ECE)

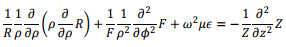
We will now obtain solutions for Eand Hz using Helmholtz equation. In the following we will discuss the TE modes for which Ez =0 We need to then find Hz using

                           Wave Guides & Resonating Cavities | Electromagnetics - Electronics and Communication Engineering (ECE)

Writing the Laplacian in cylindrical coordinates,

             Wave Guides & Resonating Cavities | Electromagnetics - Electronics and Communication Engineering (ECE)

We use technique of separation of variables by defining,

Wave Guides & Resonating Cavities | Electromagnetics - Electronics and Communication Engineering (ECE)

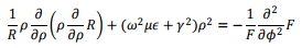
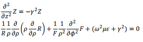
Substituting this into the Helmholtz equation and dividing throughout by  Wave Guides & Resonating Cavities | Electromagnetics - Electronics and Communication Engineering (ECE) we get,

Wave Guides & Resonating Cavities | Electromagnetics - Electronics and Communication Engineering (ECE)

The left hand side of this equation is a function of (ρ,φ) while the right hand side is a function of z alone. Thus we can equate each side to a constant. Anticipating propagation along the z direction, we equate the right hand side to -γ2  so that, we have,

Wave Guides & Resonating Cavities | Electromagnetics - Electronics and Communication Engineering (ECE)

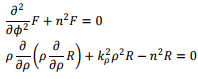
The last equation needs to be separated into a term involving ρ alone and another depending on φ alone. This is done by multiplying the equation by ρ2,

Wave Guides & Resonating Cavities | Electromagnetics - Electronics and Communication Engineering (ECE)

Once again, we equate each of the terms to a constan n2. We thus have the following pair of equations

Wave Guides & Resonating Cavities | Electromagnetics - Electronics and Communication Engineering (ECE)

where  Wave Guides & Resonating Cavities | Electromagnetics - Electronics and Communication Engineering (ECE) The former equation has the solution

Wave Guides & Resonating Cavities | Electromagnetics - Electronics and Communication Engineering (ECE)

Singlevaluedness of F requires that if φ changes by 2π the solution must remain the same. This, in turn,requires that n is an integer. We are now left with only the last equation which can be written in an expanded form, 

Wave Guides & Resonating Cavities | Electromagnetics - Electronics and Communication Engineering (ECE)

Defining a new variable x=kρρ (not to be confused with the Cartesian variable x), the equation can be written as

Wave Guides & Resonating Cavities | Electromagnetics - Electronics and Communication Engineering (ECE)

where, we have written y in place of R. This equation is the well known Bessel equation, the solutions of which are linear combinations of Bessel functions of first kind  Wave Guides & Resonating Cavities | Electromagnetics - Electronics and Communication Engineering (ECE) and that of the second kind  Wave Guides & Resonating Cavities | Electromagnetics - Electronics and Communication Engineering (ECE) The Bessel functions of second ind are also known as Neumann function. The following graph shows the variation of these functions with distance x.

Wave Guides & Resonating Cavities | Electromagnetics - Electronics and Communication Engineering (ECE)

It is seen that the Neumann function diverges at the origin and hence is not n acceptable solution. The asymptotic behavior of these functions are

Wave Guides & Resonating Cavities | Electromagnetics - Electronics and Communication Engineering (ECE)

Wave Guides & Resonating Cavities | Electromagnetics - Electronics and Communication Engineering (ECE)

The complete solution is thus given by

Wave Guides & Resonating Cavities | Electromagnetics - Electronics and Communication Engineering (ECE)

For TE modes,

Wave Guides & Resonating Cavities | Electromagnetics - Electronics and Communication Engineering (ECE)

For TM modes,

Wave Guides & Resonating Cavities | Electromagnetics - Electronics and Communication Engineering (ECE)

Let us look at the TE mode in a little more detail. The tangential component of the electric field must be zero at the metallic boundary. Thus  Wave Guides & Resonating Cavities | Electromagnetics - Electronics and Communication Engineering (ECE) Substituting the expression for  Wave Guides & Resonating Cavities | Electromagnetics - Electronics and Communication Engineering (ECE) we require, from Eqn. (2)

Wave Guides & Resonating Cavities | Electromagnetics - Electronics and Communication Engineering (ECE)

where J'n is the derivative of Bessel function with respect to ρ. This expression vanishes at  ρ=α provided

Wave Guides & Resonating Cavities | Electromagnetics - Electronics and Communication Engineering (ECE)       

which provides a restriction on propagation of TE mode. The zeros of the Bessel function Jare listed in the following table, (m-th zero of Jρ nm )

nm=1m=2m=3
02.40485.52018.6537
13.83177.015610.1735
25.13568.417211.6198

The zeros of the derivative of the Bessel function are listed in the following table (m-th zero of Jρ nm )

nm=1m=2m=3
03.83177.015610.1735
11.84125.33148.5363
23.05426.70619.9695

For propagation to take place  Wave Guides & Resonating Cavities | Electromagnetics - Electronics and Communication Engineering (ECE) must be imaginary. This is possible if ω>ωc

Wave Guides & Resonating Cavities | Electromagnetics - Electronics and Communication Engineering (ECE)

where ρnm'  gives the m-thzero of the derivative of Bessel function. The corresponding mode is classified as TEnm Similarly, one can show that the cutoff frequency for the TM modes are given by

Wave Guides & Resonating Cavities | Electromagnetics - Electronics and Communication Engineering (ECE)

From the tables given above, it is clear that the lowest mode is TE11 followed by TM01

The field pattern of the waveguide are shown in the following (source – Web)

Wave Guides & Resonating Cavities | Electromagnetics - Electronics and Communication Engineering (ECE)

 

Tutorial Assignment

  1. TE10 mode propagates in an air filled rectangular waveguide of dimension 1cm x 0.5cm. The frequency of the propagating wave is 3x 1012 Hz. It is desired to construct a cavity out of this waveguide by closing the third dimension so that the cavity resonates in TE102 mode. (a) What should be the length of the cavity? (b) Write down the electric field for the resonating mode.
  2. For a cubical cavity, what is the degeneracy of the lowest resonant frequency, i.e. how many different modes correspond to the lowest possible frequency?
  3. A circular (cylindrical) waveguide of radius 4 cm is filled with a material of dielectric constant 2.25. The guide is operated at a frequency of 2 GHz. For the dominant TE mode, determine the cutoff frequency, the guide wavelength and the bandwidth for a single mode operation (assuming only TE modes).
  4. If the cylindrical cavity of circular cross section is closed at both ends by perfectly conducting discs, it becomes a cavity resonator. Find the resonant frequencies of a cavity resonator of length d and radius a.

Solutions to Tutorial Assignments

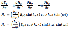
1. For Wave Guides & Resonating Cavities | Electromagnetics - Electronics and Communication Engineering (ECE) the resonant frequency is given by

Wave Guides & Resonating Cavities | Electromagnetics - Electronics and Communication Engineering (ECE)

Substituting α=0.01, and the value of the frequency, we get, d = 1.15 cm. With these values,we have  Wave Guides & Resonating Cavities | Electromagnetics - Electronics and Communication Engineering (ECE) The non-vanishing field components are

Wave Guides & Resonating Cavities | Electromagnetics - Electronics and Communication Engineering (ECE)

The other two non-vanishing field components can be calculated by using Maxwell’s equations,

Wave Guides & Resonating Cavities | Electromagnetics - Electronics and Communication Engineering (ECE)

2. Since all the three dimensions are the same, we would have the same frequency for (100), (010) and (001) modes. Counting TE and TM, there are 6 modes corresponding to the lowest frequency.

3. For TEmn mode the cutoff frequency is given by

Wave Guides & Resonating Cavities | Electromagnetics - Electronics and Communication Engineering (ECE)

For the dominant mode  Wave Guides & Resonating Cavities | Electromagnetics - Electronics and Communication Engineering (ECE) m/s, and a=0.04 m, we getωc= 9.206 � 109 rad/s corresponding to 1.47 GHz. To find the guide wavelength, note that the propagation vector Wave Guides & Resonating Cavities | Electromagnetics - Electronics and Communication Engineering (ECE) Solving, we get λ = 0.14 m. To find the bandwidth of single mode TE operation note that the since the cutoff frequency for the next higher mode TE21 is 3.0542/1.8412=1.66 times the cutoff frequency for TE11 mode, the bandwidth is fixed.

4. If the cavity resonator is closed at both ends, there would be standing waves formed along the z direction. Since the tangential component of the electric field is continuous (and therefore vanishes near the surface of the perfect conductor,) we must have  Wave Guides & Resonating Cavities | Electromagnetics - Electronics and Communication Engineering (ECE) at z=0 and z=d.

Taking the origin at the centre of one of the disks, for TM mode, Ez is given by

Wave Guides & Resonating Cavities | Electromagnetics - Electronics and Communication Engineering (ECE)

Since  Wave Guides & Resonating Cavities | Electromagnetics - Electronics and Communication Engineering (ECE) the resonant frequencies for the TM modes are

Wave Guides & Resonating Cavities | Electromagnetics - Electronics and Communication Engineering (ECE)

Note that unlike the dominant frequency of the TM mode which is fixed by the dimension a, the TE111 frequency can be tuned by adjusting the value of the length of the resonator. If d is made sufficiently large, the frequency can be made to be lower than that of the TM mode.

 

Self Assessment Questions

  1. Consider TE011 mode in a cubical cavity of side a. Write the expressions for the electric and magnetic fields and show that they are orthogonal.
  2. For the above problem determine the total energy stored in the electric and magnetic fields.
  3. A cubical cavity of side 3 cm has copper walls (conductivity σ= 6 � 107 S/m). Calculate the Q factor of the cavity for TE101 mode.
  4. Consider a cylindrical cavity resonator. Show that the dominant frequency is TE mode of the resonator.

 

Solutions to Self Assessment Questions

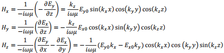
1. By definition of TE mode, Ez=0. Further, for 011 modes  Wave Guides & Resonating Cavities | Electromagnetics - Electronics and Communication Engineering (ECE) This gives Ey=0.We have,

   Wave Guides & Resonating Cavities | Electromagnetics - Electronics and Communication Engineering (ECE)

   Wave Guides & Resonating Cavities | Electromagnetics - Electronics and Communication Engineering (ECE)

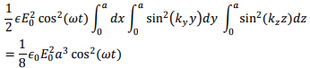
2. Total energy in the electric field is obtained by

 Wave Guides & Resonating Cavities | Electromagnetics - Electronics and Communication Engineering (ECE)

One can similarly find the magnetic field energy from  Wave Guides & Resonating Cavities | Electromagnetics - Electronics and Communication Engineering (ECE) This gives,

 Wave Guides & Resonating Cavities | Electromagnetics - Electronics and Communication Engineering (ECE)

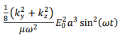
Using the relation  Wave Guides & Resonating Cavities | Electromagnetics - Electronics and Communication Engineering (ECE) this expression can be written as  Wave Guides & Resonating Cavities | Electromagnetics - Electronics and Communication Engineering (ECE)  So that the total energy in the field is  Wave Guides & Resonating Cavities | Electromagnetics - Electronics and Communication Engineering (ECE)

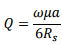
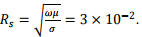
3. The resonant frequency of the cavity for TE101 mode is given by  Wave Guides & Resonating Cavities | Electromagnetics - Electronics and Communication Engineering (ECE) rad/s. Using the expression given in the text, the Q factor can be written as follows for the caseof α=b=c.

Wave Guides & Resonating Cavities | Electromagnetics - Electronics and Communication Engineering (ECE)

Equivalent expressions for Q factor can be written using  Wave Guides & Resonating Cavities | Electromagnetics - Electronics and Communication Engineering (ECE) and the preceding expression for ω as

Wave Guides & Resonating Cavities | Electromagnetics - Electronics and Communication Engineering (ECE)

Where  Wave Guides & Resonating Cavities | Electromagnetics - Electronics and Communication Engineering (ECE) Substituting these values we get Q ≈ 9300.

4. For the TE mode of the cavity Bz must vanish at the surface of the end faces. The z –component of the magnetic field is, therefore, given by

Wave Guides & Resonating Cavities | Electromagnetics - Electronics and Communication Engineering (ECE)

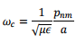
The resonant frequencies are given by

Wave Guides & Resonating Cavities | Electromagnetics - Electronics and Communication Engineering (ECE)

where ρmn are the zeros of the derivatives of Bessel functions. Note that unlike in the case of TM modes, in this case ℓ≠0 because that would make the fields vanish. For TM modes, the dominant frequency is TM010, for which the frequency is  Wave Guides & Resonating Cavities | Electromagnetics - Electronics and Communication Engineering (ECE) The dominant mode for TE is TE111 for which the frequency is given by

Wave Guides & Resonating Cavities | Electromagnetics - Electronics and Communication Engineering (ECE)

The document Wave Guides & Resonating Cavities | Electromagnetics - Electronics and Communication Engineering (ECE) is a part of the Electronics and Communication Engineering (ECE) Course Electromagnetics.
All you need of Electronics and Communication Engineering (ECE) at this link: Electronics and Communication Engineering (ECE)
11 videos|94 docs|89 tests

FAQs on Wave Guides & Resonating Cavities - Electromagnetics - Electronics and Communication Engineering (ECE)

1. What is a waveguide and how does it work?
Ans. A waveguide is a structure that guides electromagnetic waves, such as radio waves or light, along a desired path. It consists of a hollow metallic or dielectric tube that acts as a conduit for the waves. The waves bounce off the walls of the waveguide, allowing them to propagate without significant loss of energy.
2. What are the advantages of using waveguides instead of traditional transmission lines?
Ans. Waveguides have several advantages over traditional transmission lines. Firstly, they have a higher power handling capability, allowing for the transmission of higher power signals. Secondly, waveguides have a lower loss, meaning that less energy is lost during transmission. Additionally, waveguides are less susceptible to electromagnetic interference and can operate at higher frequencies than traditional transmission lines.
3. What are resonating cavities and how do they relate to waveguides?
Ans. Resonating cavities are enclosed spaces within a waveguide that are designed to resonate at specific frequencies. They are created by introducing metallic or dielectric structures into the waveguide, which reflect and trap the waves within the cavity. Resonating cavities are used in waveguide-based devices such as filters, amplifiers, and oscillators to manipulate and control the propagation of electromagnetic waves.
4. How does the shape and size of a waveguide affect its performance?
Ans. The shape and size of a waveguide determine its operating frequency range and the modes of propagation it can support. The dimensions of a waveguide must be carefully chosen to ensure the desired mode of propagation is achieved. For example, a rectangular waveguide with larger dimensions can support multiple modes, while a smaller waveguide may only support a single mode. The shape of the waveguide also affects its impedance and power handling capabilities.
5. What are some practical applications of waveguides and resonating cavities?
Ans. Waveguides and resonating cavities have a wide range of practical applications. They are commonly used in microwave and optical communication systems, radar systems, satellite communication, and wireless networking. Waveguides are also used in medical imaging equipment, such as MRI machines and particle accelerators. Resonating cavities find applications in filters, couplers, antennas, and high-power amplifiers.
Related Searches

Semester Notes

,

pdf

,

Sample Paper

,

Extra Questions

,

Wave Guides & Resonating Cavities | Electromagnetics - Electronics and Communication Engineering (ECE)

,

Free

,

past year papers

,

Previous Year Questions with Solutions

,

ppt

,

MCQs

,

Important questions

,

Summary

,

Wave Guides & Resonating Cavities | Electromagnetics - Electronics and Communication Engineering (ECE)

,

shortcuts and tricks

,

Wave Guides & Resonating Cavities | Electromagnetics - Electronics and Communication Engineering (ECE)

,

study material

,

Exam

,

Objective type Questions

,

video lectures

,

Viva Questions

,

practice quizzes

,

mock tests for examination

;