Chemistry Exam  >  Chemistry Notes  >  Physical Chemistry  >  Applications of First Law: Concepts of Work, Heat & Energy

Applications of First Law: Concepts of Work, Heat & Energy | Physical Chemistry PDF Download

WORK, HEAT AND ENERGY

When process is isothermal: Ideal gas equation is: PV = nRT

When process is isothermal then 

PV = constant 
i.e., P1V1 = P2V2

When possible is adiabatic:

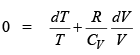
According to first law dq = dU – ω
dq = dU + Pdv                                     (ω = –Pdv)
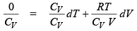
⇒ dq = CV dT + pdv                               (dU = CVdT)
When process is adiabatic then dq = 0

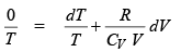
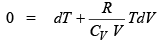
i.e. 0 = CVdT + PdV

 Applications of First Law: Concepts of Work, Heat & Energy | Physical Chemistry
⇒  Applications of First Law: Concepts of Work, Heat & Energy | Physical Chemistry
⇒ Applications of First Law: Concepts of Work, Heat & Energy | Physical Chemistry
⇒ Applications of First Law: Concepts of Work, Heat & Energy | Physical Chemistry
⇒ Applications of First Law: Concepts of Work, Heat & Energy | Physical Chemistry
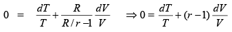
⇒ Applications of First Law: Concepts of Work, Heat & Energy | Physical Chemistry    putting the value o f CV

Applications of First Law: Concepts of Work, Heat & Energy | Physical Chemistry

Applications of First Law: Concepts of Work, Heat & Energy | Physical Chemistry

Integrate this equation we get

Constant (C) = ln T + ln Vr – 1 = ln TVr – 1 
i.e. TV r - 1 = constant 

 like this we can solve
PVr = constant,  
i.e. for adiabat ic process
PVr = constant
Vr – 1T = constant
TrP1 – r = constant

where γ is atomicity and is equal to Applications of First Law: Concepts of Work, Heat & Energy | Physical Chemistry 

Isothermal process: Is of two type (1) reversible and irreversible

 

ISOTHERMAL WORK, HEAT AND ENERGY


(A)  When process is reversible: We know that in reversible process infinit e small change takes place i.e. integration will be possible in reversible process.

Work in reversible process: We know that
W = - Pext dV

where P is pressure & dV is change in vo lume it is posit ive.
Let expansion of gas from volume V1 and V2 isothermal expansion.
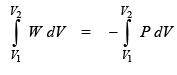
W = – P dV

 Applications of First Law: Concepts of Work, Heat & Energy | Physical ChemistryApplications of First Law: Concepts of Work, Heat & Energy | Physical Chemistry

Applications of First Law: Concepts of Work, Heat & Energy | Physical Chemistry
Applications of First Law: Concepts of Work, Heat & Energy | Physical Chemistry
Applications of First Law: Concepts of Work, Heat & Energy | Physical Chemistry
 

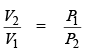
where know in isothermal process

PV = constant
P1V= P2V2

 Applications of First Law: Concepts of Work, Heat & Energy | Physical Chemistry

When V1 < V2 or P1 > P2 then expansion takes place and work is negative.  When V1 > V2 or P1 < P2 then compression takes place & work is posit ive.

Energy in isothermal reversible process:
dH = nCPdT
when process is isothermal then dT = 0 then
dH = 0
dV = nCVdT

when process is isothermal then dT = 0 then
from first law, dq = dU – ω and
dU = 0 dq = –ω

Isothermal irreversible work, heat & energy: When process is irreversible then process is very fast and integration will not possible.

Work in irreversible process: 

W = - Pext dV

Let expansion of gas from volume V1 and V2 from pressure Pto Pthen P2 is external pressure:

W = - Pext dV = –P2 (V2 – V1)
W = –P2 (V1 – V1)

 Applications of First Law: Concepts of Work, Heat & Energy | Physical Chemistry

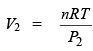
P1V1 = nRT
P2V2 = nRT
Applications of First Law: Concepts of Work, Heat & Energy | Physical Chemistry
and Applications of First Law: Concepts of Work, Heat & Energy | Physical Chemistry

If expansion of gas from volume V1 to V2 & P1 to Pagainst pressure P3 then 

 Applications of First Law: Concepts of Work, Heat & Energy | Physical Chemistry

The document Applications of First Law: Concepts of Work, Heat & Energy | Physical Chemistry is a part of the Chemistry Course Physical Chemistry.
All you need of Chemistry at this link: Chemistry
84 videos|142 docs|67 tests

FAQs on Applications of First Law: Concepts of Work, Heat & Energy - Physical Chemistry

1. What is the first law of thermodynamics?
Ans. The first law of thermodynamics, also known as the law of energy conservation, states that energy cannot be created or destroyed in an isolated system. It can only be transferred or converted from one form to another.
2. What is the concept of work in thermodynamics?
Ans. In thermodynamics, work is defined as the transfer of energy that occurs when a force is applied to an object and it is displaced in the direction of the force. It is represented as the product of the force applied and the distance over which the force is applied.
3. What is heat in thermodynamics?
Ans. Heat in thermodynamics refers to the transfer of energy between two systems or objects due to a temperature difference. It is a form of energy that flows from a hotter object to a colder object until thermal equilibrium is reached.
4. How is energy related to the first law of thermodynamics?
Ans. The first law of thermodynamics states that energy is conserved in a system. This means that the total energy of a system remains constant, and any energy transferred into or out of the system must be accounted for. The law emphasizes the principle of energy conservation in thermodynamic processes.
5. What are some examples of the application of the first law of thermodynamics?
Ans. The first law of thermodynamics finds application in various fields. Some examples include the study of heat engines, such as car engines and power plants, where energy conversion takes place. It is also used in the analysis of refrigeration systems, chemical reactions, and even the human body's energy metabolism.
Related Searches

past year papers

,

ppt

,

Sample Paper

,

Exam

,

Summary

,

Previous Year Questions with Solutions

,

Heat & Energy | Physical Chemistry

,

Viva Questions

,

Extra Questions

,

Objective type Questions

,

Semester Notes

,

MCQs

,

Free

,

study material

,

Heat & Energy | Physical Chemistry

,

Important questions

,

Applications of First Law: Concepts of Work

,

Heat & Energy | Physical Chemistry

,

pdf

,

video lectures

,

practice quizzes

,

shortcuts and tricks

,

mock tests for examination

,

Applications of First Law: Concepts of Work

,

Applications of First Law: Concepts of Work

;