Class 9 Exam  >  Class 9 Notes  >  Mathematics (Maths) Class 9  >  Worksheet Solutions: Surface Areas and Volume

Surface Areas and Volume Class 9 Worksheet Maths

Multiple Choice Questions

Q1: Surface area of bowl of radius r cm is 
(a) 4πr2
(b) 2πr2
(c) 3πr2
(d) πr
Ans:
(c)

Surface Areas and Volume Class 9 Worksheet MathsView Answer  Surface Areas and Volume Class 9 Worksheet Maths

Sol: The area of a circle of radius r is πr
Thus if the hemisphere is meant to include the base then the surface area is 2πr2 + πr= 3πr


Q2: A conical tent is 10 m high and the radius of its base is 24 m then slant height of the tent is
(a) 26
(b) 27 
(c) 28 
(d) 29
Ans:
(a)

Surface Areas and Volume Class 9 Worksheet MathsView Answer  Surface Areas and Volume Class 9 Worksheet Maths

Sol: Height (h) of conical tent = 10 m
Radius (r) of conical tent = 24 m
Let the slant height of the tent be l
l2 = h2 + r2
l2 = (10)2 + (24)2
l2 = 100 + 576 
l2 = 676 
l = √676

l = √262
l = 26 m
Therefore, the slant height of the tent is 26 m.


Q3: Diameter of the base of a cone is 10.5 cm and its slant height is 10 cm . then curved surface area. 
(a) 155 cm
(b) 165 cm
(c) 150 cm
(d) none of these

Ans: 165 cm

Surface Areas and Volume Class 9 Worksheet MathsView Answer  Surface Areas and Volume Class 9 Worksheet Maths

Sol: Diameter of the base of the cone is 10.5 cm and slant height is 10 cm.
Curved surface area of a right circular cone of base radius, ['r']and slant height, l is πr.
Diameter, d = 10.5 cm
Radius, r = 10.5 / 2 cm= 5.25 cm
Slant height, l = 10 cm
Curved surface area = πrl
= 3.14 × 5.25 × 10 = 165 cm
Thus, curved surface area of the cone = 165 cm2.


Q4: The surface area of a sphere of radius 5.6 cm is 
(a) 96.8π cm2
(b) 94.08π cm2
(c) 90.08π cm2
(d) none of these
Ans:
(b)

Surface Areas and Volume Class 9 Worksheet MathsView Answer  Surface Areas and Volume Class 9 Worksheet Maths

Sol: Given radius of sphere = 5.6 cm
Surface area of sphere = 4πr
= 4 × 3.14 × (5.6)
Surface area of sphere = 393.88 cm


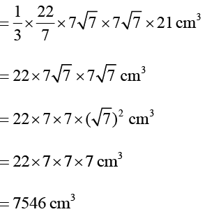
Q5: The height and the slant height of a cone are 21 cm and 28 cm respectively then volume of cone 
(a) 7556 cm
(b) 7646 cm
(c) 7546 cm
(d) None of these
Ans: 
(c)

Surface Areas and Volume Class 9 Worksheet MathsView Answer  Surface Areas and Volume Class 9 Worksheet Maths

Sol: Volume of the cone = 1/3 πr2h
Given
Slant height = l= 28 cm
Height of cone = h= 21 cm
Let radius of cone = r cm
l2 = h2 + r2
282 = 212 + r
282 - 212 = r
r2 = 282 - 21
r2 = (28 - 21)(28 + 21)
r2 =(7)(49)
r = √7(49)
r = √7(7)
r = 7√7 cm
Volume of the cone = 1/3 πrh
Surface Areas and Volume Class 9 Worksheet Maths

Fill in the blank

Q1: Surface area of sphere of diameter 14cm is____________.
Ans:
616cm

Surface Areas and Volume Class 9 Worksheet MathsView Answer  Surface Areas and Volume Class 9 Worksheet Maths

Sol: Given Diameter of sphere =14cm radius =7cm
surface area of sphere = 4πr2 = 4π(7)
= 4 × 3.14 × 49
surface area of sphere = 616cm2  


Q2: Volume of hollow cylinder is ______________.
Ans: 
π(R2−r2)h

Surface Areas and Volume Class 9 Worksheet MathsView Answer  Surface Areas and Volume Class 9 Worksheet Maths

Sol: The formula to calculate the volume of a hollow cylinder is given as, 
Volume of hollow cylinder =π(R2−r2)h cubic units,
where, 'R′ is the outer radius, ' r ' is the inner radius, and, ' h ' is the height of the hollow cylinder.


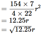
Q3: Find the volume of a sphere whose surface area 154cm2 is_________________.
Ans:
179.67cm3

Surface Areas and Volume Class 9 Worksheet MathsView Answer  Surface Areas and Volume Class 9 Worksheet Maths

Sol: Given surface area of sphere =154cm2
Let radius of the sphere = r cm
4πr= 1544 × 227 × r2
=154r2
Surface Areas and Volume Class 9 Worksheet MathsVolume of sphere =4/3πr
Surface Areas and Volume Class 9 Worksheet Maths=179.67cm3


Q4: A hemispherical bowl has a radius of 3.5cm. What would be the volume of water it would contain__________.
Ans:
89.8cm

Surface Areas and Volume Class 9 Worksheet MathsView Answer  Surface Areas and Volume Class 9 Worksheet Maths

Sol: The volume of water the bowl contain =2/3πr
Radius of hemisphere =r=3.5cm
The volume of water the bowl can contain =2/3πr
= 2/3 × 22/7 × 3.5 × 3.5 × 3.5cm3
= 89.8cm3

Q5: The formula for the volume of a cone is __________.

Ans: 13 π r2 h

Surface Areas and Volume Class 9 Worksheet MathsView Answer  Surface Areas and Volume Class 9 Worksheet Maths

Sol: The formula for the volume of a cone is:  13 π r2 h

True / False

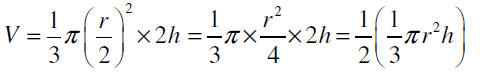
Q1: The volume of a sphere is equal to two-third of the volume of a cylinder whose height and diameter are equal to the diameter of the sphere.
Ans: True

Surface Areas and Volume Class 9 Worksheet MathsView Answer  Surface Areas and Volume Class 9 Worksheet Maths

Sol: Let the radius of the sphere = r.
According to the question,
height and diameter of cylinder = diameter of sphere.
So, the radius of the cylinder = r
And, the height of the cylinder = 2r
We know that,
Volume of sphere = 2/3 volume of cylinder
Surface Areas and Volume Class 9 Worksheet MathsHence, the given statement “the volume of a sphere is equal to two-third of the volume of a cylinder whose height and diameter are equal to the diameter of the sphere” is true.


Q2: If the radius of a right circular cone is halved and height is doubled, the volume will remain unchanged.
Ans: False

Surface Areas and Volume Class 9 Worksheet MathsView Answer  Surface Areas and Volume Class 9 Worksheet Maths

Sol: Let the original radius of the cone = r
Let height of the cone = h.
The volume of cone = 1/3 πr2h
Now, when radius of a height circular cone is halved and height is doubled, then
Surface Areas and Volume Class 9 Worksheet MathsWe can observe that the new volume = half of the original volume.
Hence, the given statement “if the radius of a right circular cone is halved and height is doubled, the volume will remain unchanged” is false.


Q3: If the radius of a cylinder is doubled and its curved surface area is not changed, the height must be halved.
Ans: True

Surface Areas and Volume Class 9 Worksheet MathsView Answer  Surface Areas and Volume Class 9 Worksheet Maths

Sol: Let radius of the cylinder = r
Height of the cylinder = h
Then, curved surface area of the cylinder, CSA = 2πrh
According to the question,
Radius is doubled and curved surface area is not changed.
New radius of the cylinder, R = 2r
New curved surface area of the cylinder, CSA’ = 2πrh …(i)
Alternate case:
When R = 2r and CSA’ = 2πrh
But curved surface area of cylinder in this case, CSA’= 2πRh = 2π(2r)h = 4πrh …(ii)
Comparing equations (i) and (ii),
We get,
Since, 2πrh ≠ 4πrh
equation (i) ≠ equation (ii)
Thus, if h = h/2 (height is halved)
Then,
CSA’ = 2π(2r)(h/2) = 2πrh
Hence, the given statement “If the radius of a cylinder is doubled and its curved surface area is not changed, the height must be halved” is true.

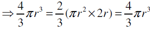
Q4: Doubling the radius of a sphere will double its volume.
Ans: False 

Surface Areas and Volume Class 9 Worksheet MathsView Answer  Surface Areas and Volume Class 9 Worksheet Maths

Sol: Formula for the volume of a sphere:

V = 43 π r3

If the radius is doubled (i.e., r becomes 2r), then the new volume V' is:

V' = 43 π (2r)3 = 43 π 8r3 = 8 × 43 π r3

Thus, doubling the radius increases the volume by a factor of 8, not 2.

Q5: The total surface area of a cone is the sum of its lateral surface area and the area of its circular base.
Ans: True

Surface Areas and Volume Class 9 Worksheet MathsView Answer  Surface Areas and Volume Class 9 Worksheet Maths

Sol: The total surface area of a cone is the sum of its lateral surface area and the area of its circular base:

Lateral Surface Area = π r l

Area of Circular Base = π r2

Total Surface Area = π r l + π r2

For a cone with radius r and slant height l, the total surface area A is given by:

A = π r l + π r2


Subjective Type Questions

Q1: Diameter of the base of a cone is 10.5 cm and its slant height is 10 cm . Find its curved surface area and its total surface area.
Surface Areas and Volume Class 9 Worksheet Maths

Ans: Diameter = 10.5 cm
Surface Areas and Volume Class 9 Worksheet MathsSlant height of cone (l ) = 10 cm
Curved surface area of cone,
Surface Areas and Volume Class 9 Worksheet Maths=165 cm
Total surface area of cone,Surface Areas and Volume Class 9 Worksheet Maths

Surface Areas and Volume Class 9 Worksheet Maths


Q2: A Joker's cap is in the form of a right circular cone of base radius 7 cm and height 24 cm. Find the area of the sheet required to make 10 such caps.
Surface Areas and Volume Class 9 Worksheet Maths

Ans: Radius of cap (r) = 7cm, Height of cap (h) =24 cm
Slant height of the cone (l) Surface Areas and Volume Class 9 Worksheet MathsSurface Areas and Volume Class 9 Worksheet Maths

Area of sheet required to make a cap = CSA of cone = πrl
Surface Areas and Volume Class 9 Worksheet Maths∴ Area of sheet required to make 10 caps = 10 × 550 = 5500 cm


Q3: Find the surface area of a sphere of diameter:
(i) 14cm

Ans: (i) Diameter of sphere = 14cm,
Therefore, Radius of sphere = 14/2 = 7cm
Surface area of sphere = 4πr2 = 4 × 22/7 × 7 × 7 = 616cm

(ii) 21cm

Ans: Diameter of sphere = 21cm
∴ Radius of sphere =21/2cm
Surface area of sphere = 4πr2 = 4 × 22/7 × 21/2 × 21/2
=1386cm

(iii) 3.5cm

Ans: Diameter of sphere = 3.5cm
∴ Radius of sphere =3.5/2 = 1.75cm
Surface area of sphere = 4πr2 = 4 × 22/7 × 1.75 × 1.75
= 38.5cm2


Q4: A hemispherical bowl is made of steel, 0.25cm thick. The inner radius of the bowl is 5cm . Find the outer curved surface area of the bowl.

Ans:  Inner radius of bowl (r)= 5cm
Thickness of steel (t) = 0.25cm
∴ Outer radius of bowl (R) = r + t = 5 + 0.25 = 5.25cm
∴ Outer curved surface area of bowl = 2πR2 = 2 × 22/7 × 5.25 × 5.25
= 2 × 22/7 × 21/4 × 21/4
= 693/4 =173.25cm


Q5: Twenty-seven solid iron spheres, each of radius r and surface area S are melted to form a sphere with surface area S '. Find the:
(i) radius r ' of the new sphere.

Ans: Volume of 1 sphere, V = 4/3πr
Volume of 27 solid sphere
= 27 × 4/3πr
Let r1 is the radius of the new sphere.
Volume of new sphere = Volume of 27 solid sphere
Surface Areas and Volume Class 9 Worksheet Maths

(ii) ratio of S and S '.

Ans: Surface Areas and Volume Class 9 Worksheet MathsSurface Areas and Volume Class 9 Worksheet MathsS1 : S = 9 : 1
S : S1 = 1 : 9


Q6: A capsule of medicine is in the shape of a sphere of diameter 3.5mm . How much medicine (in mm3) is needed to fill this capsule?

Ans: Diameter of spherical capsule = 3.5mm
∴ Radius of spherical capsule (r) = 3.5/2 = 35/20 = 7/4mm
Medicine needed to fill the capsule = Volume of sphere
Surface Areas and Volume Class 9 Worksheet Maths

The document Surface Areas and Volume Class 9 Worksheet Maths is a part of the Class 9 Course Mathematics (Maths) Class 9.
All you need of Class 9 at this link: Class 9
40 videos|471 docs|57 tests

FAQs on Surface Areas and Volume Class 9 Worksheet Maths

1. What is the formula for calculating the surface area of a cylinder?
Ans. The surface area of a cylinder can be calculated using the formula: Surface Area = 2πr(h + r), where 'r' is the radius of the base and 'h' is the height of the cylinder.
2. How do you find the volume of a cone?
Ans. The volume of a cone can be found using the formula: Volume = (1/3)πr²h, where 'r' is the radius of the base and 'h' is the height of the cone.
3. What is the difference between surface area and volume?
Ans. Surface area refers to the total area that the surface of a three-dimensional object occupies, while volume measures the amount of space that the object occupies. Surface area is expressed in square units, and volume is expressed in cubic units.
4. How can I calculate the surface area of a sphere?
Ans. The surface area of a sphere can be calculated using the formula: Surface Area = 4πr², where 'r' is the radius of the sphere.
5. What are the units used for measuring surface area and volume?
Ans. Surface area is measured in square units (e.g., square meters, square centimeters), while volume is measured in cubic units (e.g., cubic meters, cubic centimeters).
Related Searches

Surface Areas and Volume Class 9 Worksheet Maths

,

video lectures

,

MCQs

,

Previous Year Questions with Solutions

,

Extra Questions

,

Free

,

Surface Areas and Volume Class 9 Worksheet Maths

,

Sample Paper

,

past year papers

,

Surface Areas and Volume Class 9 Worksheet Maths

,

Objective type Questions

,

Exam

,

Semester Notes

,

Important questions

,

shortcuts and tricks

,

Viva Questions

,

pdf

,

mock tests for examination

,

Summary

,

ppt

,

practice quizzes

,

study material

;