Physics Exam  >  Physics Notes  >  Mathematical Methods  >  Ordinary Differential Equation - Assignment

Ordinary Differential Equation - Assignment | Mathematical Methods - Physics PDF Download

Q.1. x (y2 +1) dx + y (x2 +l) dy = 0, y (1) = 2
Ans. Dividing both sides by (v2 +1 y2 +1) , we have
Ordinary Differential Equation - Assignment | Mathematical Methods - Physics
 Integrating both sides gives
Ordinary Differential Equation - Assignment | Mathematical Methods - Physics
WritingOrdinary Differential Equation - Assignment | Mathematical Methods - Physicsln A in place of c1 the above solution can be written in the form
(x2+1)(y2+1) = A
Using, y (l) = 2 ⇒ (1 +1)(4 +1) = A ⇒ A = 10
Thus the required solution is (x2 +1)( y2 +1) = 10.

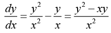
Q.2. (x2 - yx2) dy + (y2 + xy2) dx = 0
Ans. The given differential equation can be written as
x2 (1 - y) dy + y2 (1 + x) dx = 0
Dividing both sides by x2 y2 , we obtain Ordinary Differential Equation - Assignment | Mathematical Methods - Physics
Ordinary Differential Equation - Assignment | Mathematical Methods - Physics
Integrating both sides gives
Ordinary Differential Equation - Assignment | Mathematical Methods - Physics

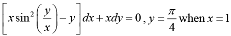
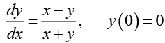
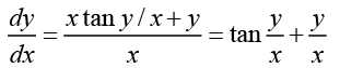
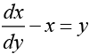
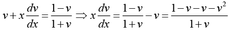
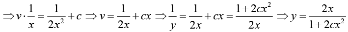
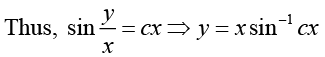
Q.3. Ordinary Differential Equation - Assignment | Mathematical Methods - Physics
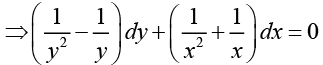
Ans. This equation can be written as
Ordinary Differential Equation - Assignment | Mathematical Methods - Physics
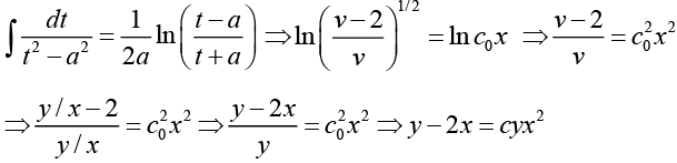
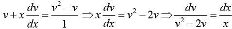
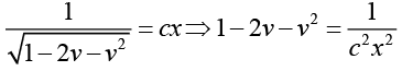
This is a homogeneous differential equation. Letting y = xv
Ordinary Differential Equation - Assignment | Mathematical Methods - Physics
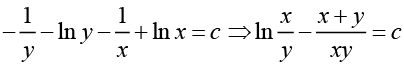
Ordinary Differential Equation - Assignment | Mathematical Methods - Physics
Where we have used the fact that
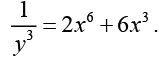
Ordinary Differential Equation - Assignment | Mathematical Methods - Physics
Where we have written, c02 = c .

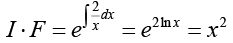
Q.4. Ordinary Differential Equation - Assignment | Mathematical Methods - Physics
Ans. We can write,Ordinary Differential Equation - Assignment | Mathematical Methods - Physics
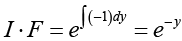
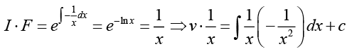
This is a linear differential equation but with integrating factor
Ordinary Differential Equation - Assignment | Mathematical Methods - Physics
Ordinary Differential Equation - Assignment | Mathematical Methods - Physics
Ordinary Differential Equation - Assignment | Mathematical Methods - Physics

Q.5. Ordinary Differential Equation - Assignment | Mathematical Methods - Physics
Ans. The given equation can be written as
Ordinary Differential Equation - Assignment | Mathematical Methods - Physics

Ordinary Differential Equation - Assignment | Mathematical Methods - Physics
Ordinary Differential Equation - Assignment | Mathematical Methods - Physics
Ordinary Differential Equation - Assignment | Mathematical Methods - Physics
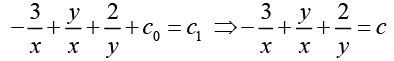
If we write c for 3c0 then
Ordinary Differential Equation - Assignment | Mathematical Methods - Physics

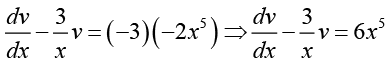
Q.6. Ordinary Differential Equation - Assignment | Mathematical Methods - Physics
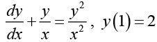
Ans. This is Bernoulli’s differential equation. Hence letting v = y1-2 = y-1 we obtain Ordinary Differential Equation - Assignment | Mathematical Methods - Physics
This is linear differential equation in dependent variable v and independent variable x.
Hence, Ordinary Differential Equation - Assignment | Mathematical Methods - Physics
Ordinary Differential Equation - Assignment | Mathematical Methods - Physics
Using the given condition y (1) = 2 we obtain
Ordinary Differential Equation - Assignment | Mathematical Methods - Physics
Thus, y = 2 x

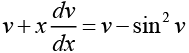
Q.7. Ordinary Differential Equation - Assignment | Mathematical Methods - Physics
Ans. The given differential equation can be written as
Ordinary Differential Equation - Assignment | Mathematical Methods - Physics
Putting, y = xv , we obtain
Ordinary Differential Equation - Assignment | Mathematical Methods - Physics
Ordinary Differential Equation - Assignment | Mathematical Methods - Physics
Ordinary Differential Equation - Assignment | Mathematical Methods - Physics

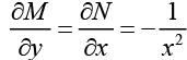
Q.8. (2y sin x cos x + y2sin x) dx + (sin2 x - 2y cos x)dy = 0 , y (0) = 3
Ans. M = 2y sin x • cos x + y2 sin x
N = sin2 x - 2 y cos x
Ordinary Differential Equation - Assignment | Mathematical Methods - Physics
Ordinary Differential Equation - Assignment | Mathematical Methods - Physics
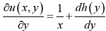
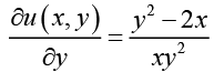
Thus the given differential equation is exact. Hence there exists a function u (x, y) such that
Ordinary Differential Equation - Assignment | Mathematical Methods - Physics(I)
and, Ordinary Differential Equation - Assignment | Mathematical Methods - Physics(II)
Integrating equation (I) partially with respect to x .
Ordinary Differential Equation - Assignment | Mathematical Methods - Physics(III)
Differentiating equation (III) with respect to y , we obtain
Ordinary Differential Equation - Assignment | Mathematical Methods - Physics(IV)
From equation (II) and (IV)
Ordinary Differential Equation - Assignment | Mathematical Methods - Physics
Ordinary Differential Equation - Assignment | Mathematical Methods - Physics
Ordinary Differential Equation - Assignment | Mathematical Methods - Physics
Ordinary Differential Equation - Assignment | Mathematical Methods - Physics
Ordinary Differential Equation - Assignment | Mathematical Methods - Physics
Since, y (0) = 3, c1 - 9
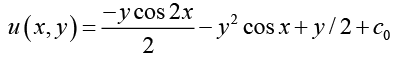
Hence Solution , Ordinary Differential Equation - Assignment | Mathematical Methods - Physics

Q.9.Ordinary Differential Equation - Assignment | Mathematical Methods - Physics
Ans.This equation is exact since
Ordinary Differential Equation - Assignment | Mathematical Methods - Physics
Hence there exists a function u (x, y) such that
Ordinary Differential Equation - Assignment | Mathematical Methods - Physics(I)
Ordinary Differential Equation - Assignment | Mathematical Methods - Physics (II)
Hence using equation (I), we obtain
Ordinary Differential Equation - Assignment | Mathematical Methods - Physics(III)
Differentiating this equation with respect to y , we obtain
Ordinary Differential Equation - Assignment | Mathematical Methods - Physics(IV)
From equations (II) and (IV)
Ordinary Differential Equation - Assignment | Mathematical Methods - Physics
Hence the required solution is
Ordinary Differential Equation - Assignment | Mathematical Methods - Physics
Using the given initial condition
Ordinary Differential Equation - Assignment | Mathematical Methods - Physics
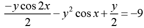
Thus the required solution is
Ordinary Differential Equation - Assignment | Mathematical Methods - Physics

Q.10. Ordinary Differential Equation - Assignment | Mathematical Methods - Physics
Ans. This equation can be written as
Ordinary Differential Equation - Assignment | Mathematical Methods - Physics
This is a Bernoulli’s differential equation.
Using, v = y1-n = y1-4 = y-3 we obtain
Ordinary Differential Equation - Assignment | Mathematical Methods - Physics
This is a linear differential equation in dependent variable v and independent variable x .
Hence, Ordinary Differential Equation - Assignment | Mathematical Methods - Physics
Hence, Ordinary Differential Equation - Assignment | Mathematical Methods - Physics
Ordinary Differential Equation - Assignment | Mathematical Methods - Physics
Since, Ordinary Differential Equation - Assignment | Mathematical Methods - Physicswe obtain
Ordinary Differential Equation - Assignment | Mathematical Methods - Physics
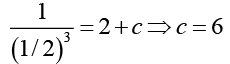
Using the given condition y (1) = 1/2
Ordinary Differential Equation - Assignment | Mathematical Methods - Physics
Thus the required solution is
Ordinary Differential Equation - Assignment | Mathematical Methods - Physics

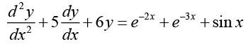
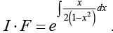
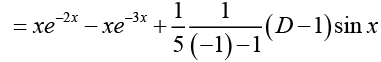
Q.11. Find the particular and general solution of the equation
Ordinary Differential Equation - Assignment | Mathematical Methods - Physics
Ans. The particular solution is
Ordinary Differential Equation - Assignment | Mathematical Methods - Physics
Ordinary Differential Equation - Assignment | Mathematical Methods - Physics
Ordinary Differential Equation - Assignment | Mathematical Methods - Physics
Ordinary Differential Equation - Assignment | Mathematical Methods - Physics
Ordinary Differential Equation - Assignment | Mathematical Methods - Physics
The general solution of the corresponding homogeneous differential equation is
yh = c1e-2x + c2 e-3x
Thus the general solution of the given nonhomogeneous differential equation is
y = yh + yp
⇒ y = c1e -2x + c2e -3x + x (e -2x - e -3x) -Ordinary Differential Equation - Assignment | Mathematical Methods - Physics( cos x - sin x) .

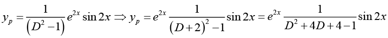
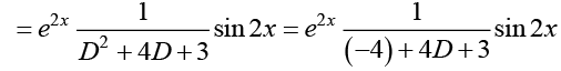
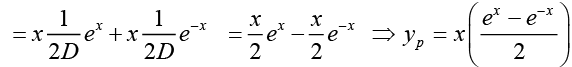
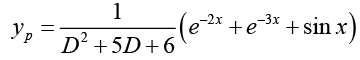
Q.12. Given a differential equation (D2 - 1) y = e2x sin 2x

(a) Write the particular solution.

(b) Write the general solution.
Ans. 
Ordinary Differential Equation - Assignment | Mathematical Methods - Physics
Ordinary Differential Equation - Assignment | Mathematical Methods - Physics
Ordinary Differential Equation - Assignment | Mathematical Methods - Physics
Ordinary Differential Equation - Assignment | Mathematical Methods - Physics
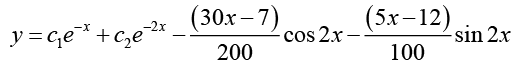
Thus, the general solution is y = c1ex + c2e -x - Ordinary Differential Equation - Assignment | Mathematical Methods - Physics

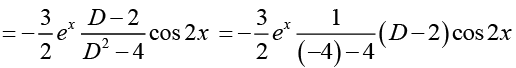
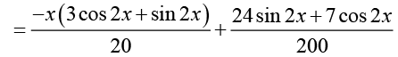
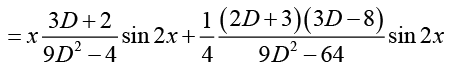
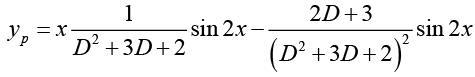
Q.13. Write the particular and general solution of (D2 + 3D + 2) y = x sin 2x
Ans. (D2 + 3D + 2) y = x sin2x
Ordinary Differential Equation - Assignment | Mathematical Methods - Physics
If the nonhomogeneous term r (x) of the differential equation

(D2 + aD + b y = r (x) ,

is of the form r (x) = xv (x) , then the particular solution is given by
Ordinary Differential Equation - Assignment | Mathematical Methods - Physics
Here we see that v (x) = sin2x hence
Ordinary Differential Equation - Assignment | Mathematical Methods - Physics
Ordinary Differential Equation - Assignment | Mathematical Methods - Physics
Ordinary Differential Equation - Assignment | Mathematical Methods - Physics
The general solution of the corresponding nonhomogeneous equation is
yh = c1e-x + c2 e-2x
hence the general solution of the given nonhomogeneous differential equation is
Ordinary Differential Equation - Assignment | Mathematical Methods - Physics

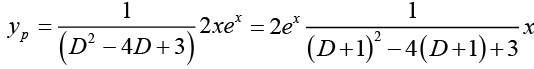
Q.14. Solve (D2 - 4D + 3) y = 2xex
Ans.
Ordinary Differential Equation - Assignment | Mathematical Methods - Physics
Ordinary Differential Equation - Assignment | Mathematical Methods - Physics
Ordinary Differential Equation - Assignment | Mathematical Methods - Physics
Thus the general solution of the given nonhomogeneous equation is
Ordinary Differential Equation - Assignment | Mathematical Methods - Physics

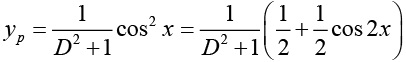
Q.15. Solve (D2 +1) y = cos2 x
Ans.
Ordinary Differential Equation - Assignment | Mathematical Methods - Physics
Ordinary Differential Equation - Assignment | Mathematical Methods - Physics
Ordinary Differential Equation - Assignment | Mathematical Methods - Physics
The general solution of the corresponding homogeneous differential equation is
yh = c1 cos x + c2 sin x
Hence the general solution of the nonhomogeneous equation is
y = yh + yP
Ordinary Differential Equation - Assignment | Mathematical Methods - Physics

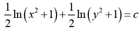
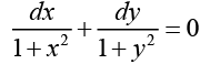
Q.16. (1 + y2) dx + (1 + x2) dy = 0,    y (0) = 1
Ans. Dividing by (1 + x2) (1+y2), we get Ordinary Differential Equation - Assignment | Mathematical Methods - Physics
Integrating both sides gives; tan -1 x + tan -1 y = c From the given condition
From the given condition
y(0) = 1 and tan -1 0 + tan -11 = c ⇒ c = ⇒/4
Thus, tan -1 x + tan -1 y = π/4.

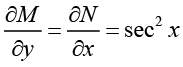
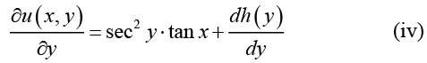
Q.17. sec2 x tan ydx + sec2 y tan xdy = 0
Ans. This equation is exact since Ordinary Differential Equation - Assignment | Mathematical Methods - Physics
Hence there exists a function u (x, y) such that
Ordinary Differential Equation - Assignment | Mathematical Methods - Physics(i)
and Ordinary Differential Equation - Assignment | Mathematical Methods - Physics(ii)
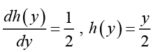
Integrating equation (i) partially with respect to x we get
u (x, y) = tan x • tan y + h (y )    (iii)
Differentiating it with respect to y , we obtain
Ordinary Differential Equation - Assignment | Mathematical Methods - Physics
From equations (ii) and (iv)
Ordinary Differential Equation - Assignment | Mathematical Methods - Physics
Thus, u (x, y ) = tan x tan y + c0
Hence the solution of the given differential equation is
u (x, y ) = c1 ⇒ tan x tan y = c (where c1 - c0 = c)

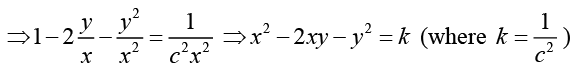
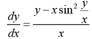
Q.18.Ordinary Differential Equation - Assignment | Mathematical Methods - Physics
Ans. The given differential equation can be written as
Ordinary Differential Equation - Assignment | Mathematical Methods - Physics
Letting y = xv, we obtain
Ordinary Differential Equation - Assignment | Mathematical Methods - Physics
Ordinary Differential Equation - Assignment | Mathematical Methods - Physics
Ordinary Differential Equation - Assignment | Mathematical Methods - Physics
Ordinary Differential Equation - Assignment | Mathematical Methods - Physics
Ordinary Differential Equation - Assignment | Mathematical Methods - Physics
From the given condition y (0) = 0, we obtain k = 0
Thus, x2 - 2xy - y2 = 0

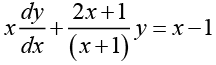
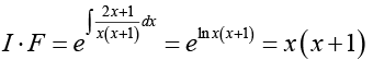
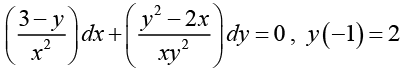
Q.19.Ordinary Differential Equation - Assignment | Mathematical Methods - Physics
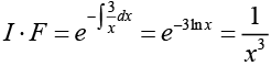
Ans. This is a linear differential equation with integrating factor
Ordinary Differential Equation - Assignment | Mathematical Methods - Physics (I)
Ordinary Differential Equation - Assignment | Mathematical Methods - Physics
Ordinary Differential Equation - Assignment | Mathematical Methods - Physics
Ordinary Differential Equation - Assignment | Mathematical Methods - Physics
From the given condition Ordinary Differential Equation - Assignment | Mathematical Methods - Physics
Ordinary Differential Equation - Assignment | Mathematical Methods - Physics

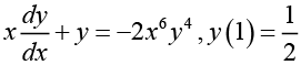
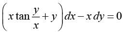
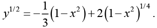
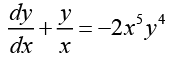
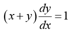
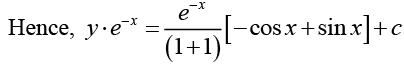
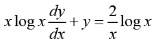
Q.20. Ordinary Differential Equation - Assignment | Mathematical Methods - Physics
Ans. Ordinary Differential Equation - Assignment | Mathematical Methods - Physics
This is not a linear differential equation but when we write Ordinary Differential Equation - Assignment | Mathematical Methods - Physics
We obtain a linear differential equation Ordinary Differential Equation - Assignment | Mathematical Methods - Physics
Ordinary Differential Equation - Assignment | Mathematical Methods - Physics
Hence the solution is
Ordinary Differential Equation - Assignment | Mathematical Methods - Physics
Ordinary Differential Equation - Assignment | Mathematical Methods - Physics
⇒ x = -( y +1) + cey

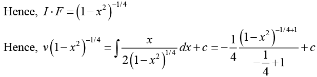
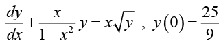
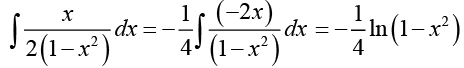
Q.21. Ordinary Differential Equation - Assignment | Mathematical Methods - Physics
Ans. Letting v = y1 -1/2 = y1/2 , we obtain
Ordinary Differential Equation - Assignment | Mathematical Methods - Physics
This is a linear equation in dependent variable v and independent variable x .
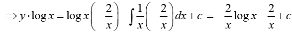
Hence, Ordinary Differential Equation - Assignment | Mathematical Methods - Physics
In order to evaluate the above integral we write
Ordinary Differential Equation - Assignment | Mathematical Methods - Physics
Ordinary Differential Equation - Assignment | Mathematical Methods - Physics
Ordinary Differential Equation - Assignment | Mathematical Methods - Physics
Hence, Ordinary Differential Equation - Assignment | Mathematical Methods - Physics
Using the given initial condition
Ordinary Differential Equation - Assignment | Mathematical Methods - Physics
We obtain, Ordinary Differential Equation - Assignment | Mathematical Methods - Physics
Hence, Ordinary Differential Equation - Assignment | Mathematical Methods - Physics

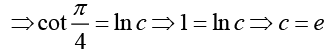
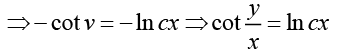
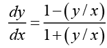
Q.22. Find the equation of the curve passing through the point (-2,3) given that the tangent to the curve at any point (x, y) is Ordinary Differential Equation - Assignment | Mathematical Methods - Physics
Ans. We know that the slope of tangent to any curve is Ordinary Differential Equation - Assignment | Mathematical Methods - Physics
Thus, Ordinary Differential Equation - Assignment | Mathematical Methods - Physics
Ordinary Differential Equation - Assignment | Mathematical Methods - Physics
Ordinary Differential Equation - Assignment | Mathematical Methods - Physics
Putting the value of initial conditions
Ordinary Differential Equation - Assignment | Mathematical Methods - Physics
Ordinary Differential Equation - Assignment | Mathematical Methods - Physics

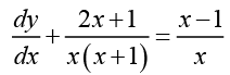
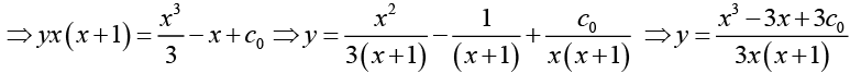
Q.23.Ordinary Differential Equation - Assignment | Mathematical Methods - Physics
Ans. The given differential equation can be written as
Ordinary Differential Equation - Assignment | Mathematical Methods - Physics
Assuming, y = xv we obtain
Ordinary Differential Equation - Assignment | Mathematical Methods - Physics
Ordinary Differential Equation - Assignment | Mathematical Methods - Physics
Ordinary Differential Equation - Assignment | Mathematical Methods - Physics
Ordinary Differential Equation - Assignment | Mathematical Methods - Physics
Ordinary Differential Equation - Assignment | Mathematical Methods - Physics
Ordinary Differential Equation - Assignment | Mathematical Methods - Physics

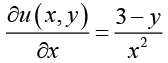
Q.24. (y sec2 x + sec x tan x) dx + (tan x + 2 y ) dy = 0
Ans. This equation is exact since
Ordinary Differential Equation - Assignment | Mathematical Methods - Physics
Hence the exists a function u (x, y) such that
Ordinary Differential Equation - Assignment | Mathematical Methods - Physics(I)
Ordinary Differential Equation - Assignment | Mathematical Methods - Physics(II)
Integrating equation (I) partially with respect to x .
u (x, y) = y tan x + sec x + h (y)    (III)
Differentiating equation (III) with respect to y we obtain
Ordinary Differential Equation - Assignment | Mathematical Methods - Physics(IV)
From equations (II) and (IV)
Ordinary Differential Equation - Assignment | Mathematical Methods - Physics
Hence, u (x, y) = y tan x + sec x + y2 + c0
Hence the required solution is
y tan x + sec x + y2 + c0 = c1 ⇒ y tan x + sec x + y2 = c

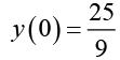
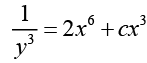
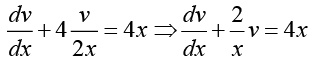
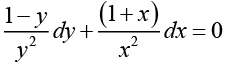
Q.25.Ordinary Differential Equation - Assignment | Mathematical Methods - Physics
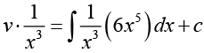
Ans. Letting v = y1-n = y1-(-3) = y4
We obtain
Ordinary Differential Equation - Assignment | Mathematical Methods - Physics
This equation is a linear differential equation in dependent variable v and Independent variable x.
Hence, Ordinary Differential Equation - Assignment | Mathematical Methods - Physics
Hence, Ordinary Differential Equation - Assignment | Mathematical Methods - Physics
Ordinary Differential Equation - Assignment | Mathematical Methods - Physics
Using the given condition
y (1)=2
We obtain
16 = 1 + c ⇒ c = 15
Thus, y4 = x4 + I5x-2

Q.26. Given a nonhomogeneous differential equation

(D2-1) y = ex + e -x

(a) Find the particular solution of this differential equation.

(b) If the particular solution is written as x [f (x)] then find the value of [f'(x)2-[f (x)]2 .

Write the general solution of this differential equation.
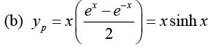
Ans. (a) Ordinary Differential Equation - Assignment | Mathematical Methods - Physics
Ordinary Differential Equation - Assignment | Mathematical Methods - Physics
Ordinary Differential Equation - Assignment | Mathematical Methods - Physics

Hence f ( x) = sinh x

f'(x) = cosh x
[f'(x)]2- f(x)2 = cos2 hx - sin2 hx
⇒ [f'(x)]- [f(x)]2 = 1
(c) The general solution of the corresponding homogeneous differential equation
(D2 -1)y = 0 , is

yh = C1ex + C2e-x
Thus the general solution of the given nonhomogeneous equation is
y = yh + yp

⇒ y = c1ex + c2e-x + x sinh x

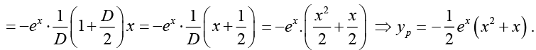
Q.27. Given a differential equation Ordinary Differential Equation - Assignment | Mathematical Methods - Physics

(a) Write the particular solution

(b) Write the general solution.
(c) Find the solution that passes though point (0,0) and has the slope 1 at x = 0.
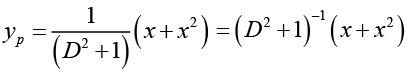
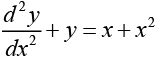
Ans. (a) Ordinary Differential Equation - Assignment | Mathematical Methods - Physics
= (l + D2)- (x + x2) =(l-D2)(x + x2)
yp = x + x2 - 2

(b) Hence the general solution is

y = c1 sinx + c2 cosx + (x + x2 - 2)

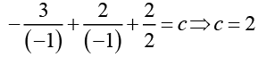
(c) Given that y (0) = 0 and y'( 0) = 1

0 = c1 . 0 + c2 . 1 + (0 + 0 - 2) ⇒ C2 = 2

y' = c1 cos x - c2 sin x + (1 + 2x) ⇒ 1 = c1.1 - c2 . 0 + (1 + 2 . 0) ⇒ c1 = 0
Hence the solution with the required properties is y = 2 cos x + (x + x2 - 2)

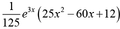
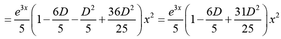
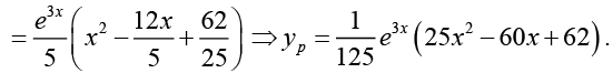
Q.28. Find the particular and general solution of (D2 - 4) y = x2e3x
Ans. Ordinary Differential Equation - Assignment | Mathematical Methods - Physics
Ordinary Differential Equation - Assignment | Mathematical Methods - Physics
Ordinary Differential Equation - Assignment | Mathematical Methods - Physics
Ordinary Differential Equation - Assignment | Mathematical Methods - Physics
The general solution of the corresponding homogeneous equation is

yh = C1e2x + C2e-2x

Thus the general solution of the corresponding homogeneous equation is
y = yh + yp ⇒ y = cie2x + c2e-2x + Ordinary Differential Equation - Assignment | Mathematical Methods - Physics

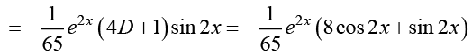
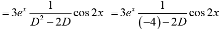
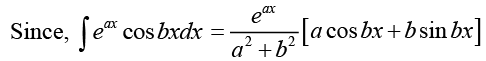
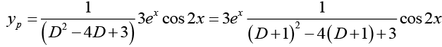
Q.29. Solve (D2 - 4D + 3) y = 3ex cos2x
Ans.
Ordinary Differential Equation - Assignment | Mathematical Methods - Physics
Ordinary Differential Equation - Assignment | Mathematical Methods - Physics
Ordinary Differential Equation - Assignment | Mathematical Methods - Physics
Ordinary Differential Equation - Assignment | Mathematical Methods - Physics
The general solution of the corresponding homogeneous differential equation is
yh = c1ex + c2 e3x
Thus the general solution of the given nonhomogeneous equation is
Ordinary Differential Equation - Assignment | Mathematical Methods - Physics

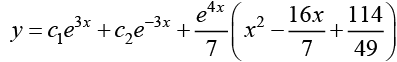
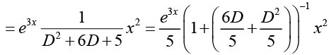
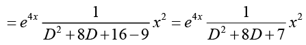
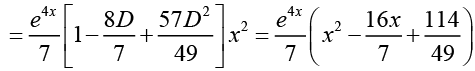
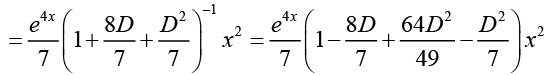
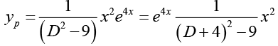
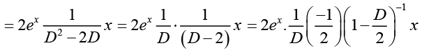
Q.30. Solve (D2 - 9) y = x2e4x
Ans. Ordinary Differential Equation - Assignment | Mathematical Methods - Physics
Ordinary Differential Equation - Assignment | Mathematical Methods - Physics
Ordinary Differential Equation - Assignment | Mathematical Methods - Physics
Ordinary Differential Equation - Assignment | Mathematical Methods - Physics
Hence, the general solution is
Ordinary Differential Equation - Assignment | Mathematical Methods - Physics

The document Ordinary Differential Equation - Assignment | Mathematical Methods - Physics is a part of the Physics Course Mathematical Methods.
All you need of Physics at this link: Physics
78 videos|18 docs|24 tests

FAQs on Ordinary Differential Equation - Assignment - Mathematical Methods - Physics

1. What is an ordinary differential equation (ODE)?
Ans. An ordinary differential equation (ODE) is a type of differential equation that involves one or more unknown functions and their derivatives with respect to a single independent variable. It represents a relationship between the function, its derivatives, and the independent variable.
2. What is the significance of ordinary differential equations in mathematics and physics?
Ans. Ordinary differential equations have significant importance in mathematics and physics as they help in modeling and solving various dynamic systems. They are used to describe phenomena involving rates of change, motion, growth, decay, and many other physical processes.
3. How are ordinary differential equations classified based on their order and linearity?
Ans. Ordinary differential equations can be classified based on their order and linearity. The order of an ODE is determined by the highest derivative present in the equation. If the equation contains only the derivatives of the unknown function, it is called a linear ODE; otherwise, it is a nonlinear ODE.
4. What are initial value problems (IVPs) and boundary value problems (BVPs) in the context of ordinary differential equations?
Ans. In the context of ordinary differential equations, an initial value problem (IVP) is a type of problem where the values of the unknown function and its derivatives are specified at a single point. The goal is to find a solution that satisfies the given conditions. On the other hand, a boundary value problem (BVP) involves specifying the values or conditions at multiple points, and the solution must satisfy those conditions.
5. What are some common methods for solving ordinary differential equations?
Ans. Several methods are commonly used to solve ordinary differential equations, depending on the characteristics of the equation. Some of the popular methods include separation of variables, integrating factors, substitution, power series method, Laplace transforms, and numerical methods such as Euler's method or Runge-Kutta methods. The choice of method depends on the complexity and nature of the equation.
Related Searches

Ordinary Differential Equation - Assignment | Mathematical Methods - Physics

,

practice quizzes

,

Viva Questions

,

Summary

,

pdf

,

video lectures

,

Exam

,

ppt

,

past year papers

,

mock tests for examination

,

Sample Paper

,

Ordinary Differential Equation - Assignment | Mathematical Methods - Physics

,

study material

,

Important questions

,

Free

,

Previous Year Questions with Solutions

,

shortcuts and tricks

,

Ordinary Differential Equation - Assignment | Mathematical Methods - Physics

,

Extra Questions

,

Semester Notes

,

Objective type Questions

,

MCQs

;