Mechanical Engineering Exam  >  Mechanical Engineering Notes  >  Thermodynamics  >  Entropy Balance for Open Systems

Entropy Balance for Open Systems

Entropy Balance for Open Systems

As with the energy balance for open systems, the law for entropy can be extended to a generalized entropy balance equation that applies to a control volume exchanging mass and heat with its surroundings. An important distinction from the first law of thermodynamics is that entropy is not conserved in real processes. Mechanical and thermal irreversibilities produce entropy generation, which is always non-negative for real processes.

Entropy Balance for Open Systems

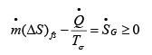
The conclusion above can be expressed mathematically. The general balance for entropy may be written as a rate equation that accounts for entropy carried in and out by mass, entropy transferred by heat crossing the control surface, the time rate of change of entropy stored within the control volume, and the entropy generated within the control volume by irreversibilities.

Entropy Balance for Open Systems
Entropy Balance for Open Systems

Equation (4.25) above states that the total entropy change of the control volume and its surroundings consists of entropy transfers and the internal entropy generation. For completely reversible processes the entropy generation term is zero and the left side of (4.25) reduces accordingly. If any irreversibilities exist, there will be a net positive entropy generation.

Reversibility - internal and external

Internal reversibility means that processes occurring within the control volume are mechanically reversible; that is, they occur without dissipative effects such as viscous friction or unrestrained expansion. External reversibility refers to heat transfers across the control surface taking place under infinitesimal temperature gradients (so that they are thermally reversible). In practice, external reversibility can be approximated when heat is exchanged with an environment at the same temperature as the control-surface location or via a reversible Carnot engine that mediates between the control surface and the heat reservoir.

Detailed formulation of the entropy balance

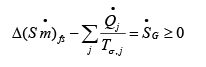
Consider heat transfer at the rate Q̇j at a particular part j of the control surface where the surrounding (reservoir) temperature is Tj. Let ṁk denote mass flow rates at the k-th mass port and sk the specific entropy at that port. The heat transfer contributes an entropy transfer Q̇j/Tj to the control volume (signs follow the chosen convention relating system and surroundings). Summing over all heat interactions and all mass flows gives the detailed balance.

Detailed formulation of the entropy balance
Detailed formulation of the entropy balance

Thus:

Detailed formulation of the entropy balance

In the expression above, the index j runs over all heat reservoirs associated with the system. The negative sign that sometimes appears for the surroundings' entropy terms arises from the convention that heat transfer terms are associated with the system sign convention rather than that of the surroundings.

Substituting the detailed heat-transfer expression (4.26) into (4.25) leads to the more explicit rate form of the entropy balance:

Detailed formulation of the entropy balance

In the equation above:

  • Ṡcv is the rate of change of entropy within the control volume (dScv/dt).
  • Q̇j is the rate of heat transfer at the j-th location on the control surface.
  • Tj is the absolute temperature of the surroundings or reservoir at the j-th heat transfer location.
  • ṁin, ṁout are mass flow rates into and out of the control volume respectively.
  • sin, sout are the specific entropies of streams entering and leaving.
  • Ṡgen is the rate of entropy generation inside the control volume and satisfies Ṡgen ≥ 0 for all real processes.

Steady-flow simplification

For steady flow through the control volume the stored entropy does not change with time, so Ṡcv = 0. Equation (4.27) then reduces to the steady-flow entropy balance:

Steady-flow simplification

One can rearrange this to emphasise that the entropy carried out by mass flows minus the entropy carried in equals the entropy transferred by heat plus the internal entropy generation, or equivalently that the entropy supplied by heat and mass inflows is distributed among mass outflows and entropy generation.

Single inlet, single exit, single-temperature surroundings

For the simplest case of one inlet, one exit, and one uniform surrounding temperature T0 for all heat transfer, the steady-flow entropy balance simplifies further. With a single mass flow in and out and a single heat reservoir at T0, the balance can be expressed compactly as:

Single inlet, single exit, single-temperature surroundings

This form is particularly useful for analysing devices such as turbines, compressors, nozzles, and heat exchangers when they interact with a single ambient temperature and have one dominant inlet and outlet stream.

Sign conventions and units

  • Specific entropy s is in units of kJ·kg-1·K-1 (or J·kg-1·K-1).
  • Mass flow ṁ is in kg·s-1.
  • Heat transfer rate Q̇ is in kW (or J·s-1).
  • Entropy generation Ṡgen is in kW·K-1 (or J·s-1·K-1) when written as a rate, or in kJ·K-1 for a finite change.
  • For clarity of signs: when heat enters the control volume, Q̇ > 0 and contributes +Q̇/T to the right-hand side term for the system.

Special cases and practical examples

  • Adiabatic steady-flow device with no heat transfer: all entropy change of the flow must come from mass flow terms and internal generation. For an ideal (reversible) turbine with adiabatic operation, Ṡgen ≈ 0 and the specific entropy of the working fluid remains constant between inlet and outlet (s_in = s_out) if the process is isentropic.
  • Heat exchangers: when two streams exchange heat, entropy generation quantifies irreversibility due to finite temperature differences; minimising temperature approach reduces Ṡgen.
  • Compressors and turbines: comparing actual device behaviour with reversible (isentropic) performance requires calculation of Ṡgen or an isentropic efficiency based on entropy change.
  • Nozzles and diffusers: entropy change of the flow indicates losses; for an ideal isentropic nozzle s_in = s_out and Ṡgen = 0.

Use of the entropy balance in engineering analysis

The entropy balance is a fundamental tool to quantify irreversibilities and to set theoretical limits on device performance. It complements the energy balance: the energy balance constrains possible exchanges of energy, while the entropy balance constrains the direction of processes and quantifies the loss of useful work potential. Engineers use the entropy balance to:

  • Calculate minimum work requirements and maximum efficiencies by evaluating Ṡgen and identifying where irreversibilities occur.
  • Compare actual devices with ideal reversible counterparts.
  • Design heat-exchange processes to reduce entropy generation by reducing driving temperature differences.
  • Assess environmental interactions by accounting for heat exchanges with reservoirs at given temperatures.

Concluding remarks

The open-system entropy balance provides a rigorous statement of the second law for control volumes and is essential when analysing steady or unsteady flow processes involving heat and mass transfer. The standard form is:

  • Ṡcv = Σ (Q̇j/Tj) + Σ ṁin sin - Σ ṁout sout + Ṡgen, with Ṡgen ≥ 0.

For steady operation Ṡcv = 0 and the balance simplifies accordingly. Evaluating each term carefully with consistent sign conventions and correct reservoir temperatures allows calculation of entropy generation and thereby assessment of irreversibility and performance limits.

The document Entropy Balance for Open Systems is a part of the Mechanical Engineering Course Thermodynamics.
All you need of Mechanical Engineering at this link: Mechanical Engineering

FAQs on Entropy Balance for Open Systems

1. What is an entropy balance for open systems in mechanical engineering?
Ans. An entropy balance for open systems in mechanical engineering refers to the application of the laws of thermodynamics to analyze and quantify the change in entropy within a system that is open to its surroundings. It involves considering the inflow and outflow of mass, energy, and entropy into and out of the system, and how it affects the overall entropy change. This balance is crucial in understanding the efficiency and performance of various mechanical systems.
2. How is the entropy balance equation derived for open systems in mechanical engineering?
Ans. The entropy balance equation for open systems in mechanical engineering is derived by considering the first and second laws of thermodynamics. The first law relates to the conservation of energy, while the second law deals with the increase in entropy over time. By applying these laws to an open system, considering the mass and energy entering and leaving the system, and accounting for any entropy generation or destruction, the entropy balance equation is obtained.
3. What are the key components of an entropy balance equation for open systems in mechanical engineering?
Ans. The key components of an entropy balance equation for open systems in mechanical engineering include the entropy change within the system, the entropy transfer due to mass and energy flow, and the entropy generation or destruction within the system. These components are quantified and expressed mathematically in the entropy balance equation to provide a comprehensive understanding of the entropy behavior in open systems.
4. How is the entropy balance equation used in practice in mechanical engineering?
Ans. The entropy balance equation is used in practice in mechanical engineering to analyze and optimize the performance of various systems. It allows engineers to quantify the entropy generation and destruction within a system, which helps identify areas of inefficiency or potential improvements. By applying the entropy balance equation, engineers can make informed decisions to enhance the overall efficiency and effectiveness of mechanical systems.
5. Can the entropy balance equation be applied to all types of open systems in mechanical engineering?
Ans. Yes, the entropy balance equation can be applied to all types of open systems in mechanical engineering, regardless of their specific characteristics or applications. Whether it is analyzing the performance of a heat exchanger, a turbine, or a refrigeration system, the entropy balance equation provides a fundamental framework for understanding the entropy changes and transfers within the system. However, the specific form and complexity of the equation may vary depending on the particular system under consideration.
Explore Courses for Mechanical Engineering exam
Get EduRev Notes directly in your Google search
Related Searches
Viva Questions, ppt, video lectures, Objective type Questions, pdf , shortcuts and tricks, Entropy Balance for Open Systems, Entropy Balance for Open Systems, study material, Extra Questions, Previous Year Questions with Solutions, Entropy Balance for Open Systems, past year papers, practice quizzes, Exam, mock tests for examination, Semester Notes, Summary, MCQs, Free, Sample Paper, Important questions;