Mechanical Engineering Exam  >  Mechanical Engineering Notes  >  Heat Transfer  >  Energy Equation & Fourier's Law - Heat Transfer - Mechanical Engineering

Energy Equation & Fourier's Law - Heat Transfer - Mechanical Engineering

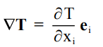
Fourier's Law 

The constitutive equation for conduction, we have see, is Fourier's Law. It says that the heat flux vector is a linear function of the temperature gradient, that is :

Energy Equation & Fourier`s Law

What we mean by the notation is the following:

q = qi ei     Energy Equation & Fourier`s Law

Then for each of the components of q, we have the relation:

Energy Equation & Fourier`s Law

Thermal Properties of Matter

Thermal conductivity

The conductivity is a material property that is a very strong function of the state of the material. The range of values goes from less than 0.01 Watts/m-°K for gaseous CO2 to over 600 Watts/m-°K for Ag metal. The change may be as much as 5 orders of magnitude

Energy Equation & Fourier`s Law

Thermal Conductivity of Gases

Energy Equation & Fourier`s Law

Thermal Conductivity of Solids

The thermal conductivity of solids differ significantly as the next figure shows

Energy Equation & Fourier`s Law

Conductive Loss through a Window Pane

Examine the simple one-dimensional conduction problem as heat flow through a windowpane. The window glass thickness, L, is 1/8 in. If this is the only window in a room 9x12x8 or 864 ft3 , the area of the window is 2 ft x 3 ft or 6 ft2 .

Recall that qx is the heat flux and that k is the thermal conductivity

Energy Equation & Fourier`s Law

Energy Equation & Fourier`s Law

The energy at steady state yielded

Energy Equation & Fourier`s Law

The room is well heated and the temperature is uniform, so the heat low through the windowpane is

Energy Equation & Fourier`s Law

If the room temperature is 60 °F and the exterior temperature is 20 °F, and k is 0.41 Btu/hr-ft2-°F then

Energy Equation & Fourier`s Law

Energy balance on the Room

How long does it take for the room temperature to change from 60 °F to 45 °F?

To make this estimate, we need to solve an energy balance on the room. A simple analysis yields

Energy Equation & Fourier`s Law

Recognizing that heat capacity density are essentially constant, the equation becomes

Energy Equation & Fourier`s Law

Energy Equation & Fourier`s Law

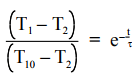
At the outset, T1 = T10 = 60 °F The solution of the differential equation representing the energy balance is

Energy Equation & Fourier`s Law

Energy Equation & Fourier`s Law

To solve for the time required to get to 46 °F, we need all the data in the table.

Energy Equation & Fourier`s Law

It follows that τ = 0.47, τ = 1.75 minutes

Heat Conduction in a Composite Solid

Examine the simple one-dimensional conduction problem as heat flow through a thermally insulated windowpane. Each layer of window glass thickness, L, is 1/16 in. The insulation layer of air between the two panes is also 1/16 in. Recall that qx is the heat flux and that k is the thermal conductivity

Energy Equation & Fourier`s Law

Energy Equation & Fourier`s Law

The energy at steady state yielded

  Energy Equation & Fourier`s Law

The heat flow through the glass is given by

Energy Equation & Fourier`s Law

Energy Equation & Fourier`s Law

Energy Equation & Fourier`s Law

Then we can rewrite the equations in this form

Energy Equation & Fourier`s Law

If we add the three equations, we obtain

Energy Equation & Fourier`s Law

We can consider the thickness/conductivity as a resistance so that

Energy Equation & Fourier`s Law

The heat flow is then of the following form :

Energy Equation & Fourier`s Law

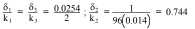
This is like a problem of current flow in a series circuit. In the single pane problem discussed in Lecture 1, we noted that the resistance, δ/k, was 1/(192(0.41) = 0.254 hr-ft2 -°F/Btu. Recall that for the problem of cooling the room, t was 1.75 minutes. The thermal conductivity of air is 0.014 Btu/hr-ft-°F. so that

Energy Equation & Fourier`s Law

as a consequence the reciprocal of the overall resistance is 0.744 + (0.0254) = 0.746.

Then we see that τ = (1 min) (0.746/0.0254) = 29.37 min

The Convective Boundary Condition 

Again consider a windowpane, but now there is a heat transfer limitation at one boundary described by a boundary condition. qx = – h (Tr – Ti)

Energy Equation & Fourier`s Law

Conduction through the glass is described by

Energy Equation & Fourier`s Law

The flux is constant at any cross-section so that we can write

Energy Equation & Fourier`s Law

Solving for the temperatures we get

Energy Equation & Fourier`s Law

Solving for qx , the relation becomes  Energy Equation & Fourier`s Law

Which modified shows a correction to the heat transfer coefficient modulated by the conduction problem  Energy Equation & Fourier`s Law

Energy Equation & Fourier`s Law

The dimensionless number in the denominator is the Biot number, a ratio of the convective heat transfer coefficient to the equivalent heat transfer coefficient due to conduction.

Heat Transfer across a Composite Cylindrical Solid. 

In the case of heat transfer in a cylinder, there is radial symmetry do that heat conduction is important only in the radial direction.

Energy Equation & Fourier`s Law

The heat flux in the radial direction is given by Fourier’s law

Energy Equation & Fourier`s Law

The total heat flow through any circular surface is constant

Energy Equation & Fourier`s Law

Rearranging we obtain a relation for the temperature gradient

Energy Equation & Fourier`s Law

which upon separation of variables is

Energy Equation & Fourier`s Law

An indefinite integration yields the temperature profile.

Energy Equation & Fourier`s Law

The boundary conditions are

at r = R, T = T1 ;

at r = R2 , T = T2

at r = R3 , T = T3

qr2 = qr2

qr= h(T3 - T0 )

so that

Energy Equation & Fourier`s Law

It follows that

Energy Equation & Fourier`s Law

This can be expressed as

Energy Equation & Fourier`s Law

Optimal Insulation on a Pipe

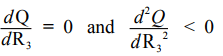
Is there an optimal thickness for the exterior insulation? In the context of the problem just formulated, is there a best value for R3?

Note that Q = f(R).

To find an extremum,

Energy Equation & Fourier`s Law

Energy Equation & Fourier`s Law

It offers a critical radius for R= k2 /h beyond which the heat loss increases.

 

The document Energy Equation & Fourier's Law - Heat Transfer - Mechanical Engineering is a part of the Mechanical Engineering Course Heat Transfer.
All you need of Mechanical Engineering at this link: Mechanical Engineering
55 videos|108 docs|86 tests

FAQs on Energy Equation & Fourier's Law - Heat Transfer - Mechanical Engineering

1. What is the energy equation in chemical engineering?
Ans. The energy equation in chemical engineering is a mathematical representation of the conservation of energy principle. It states that the change in total energy of a system is equal to the energy added to the system minus the energy removed from the system. It can be expressed as: ΔE = Q - W Where ΔE is the change in total energy, Q is the heat added to the system, and W is the work done by the system.
2. How is Fourier's Law applied in chemical engineering?
Ans. Fourier's Law is applied in chemical engineering to describe heat transfer through a solid material. It states that the rate of heat transfer through a material is directly proportional to the temperature gradient across the material and inversely proportional to the material's thermal conductivity. Mathematically, it can be expressed as: q = -k * dT/dx Where q is the heat transfer rate, k is the thermal conductivity of the material, and dT/dx is the temperature gradient.
3. What factors affect the thermal conductivity in Fourier's Law?
Ans. Several factors can affect the thermal conductivity in Fourier's Law. Some of the key factors include: - Material composition: Different materials have different thermal conductivities. For example, metals generally have high thermal conductivity compared to non-metals. - Temperature: Thermal conductivity can change with temperature. In some materials, it may increase with temperature, while in others, it may decrease. - Porosity: The presence of voids or pores in a material can significantly reduce its thermal conductivity. - Moisture content: Moisture can affect the thermal conductivity of certain materials, especially insulating materials like wood or soil.
4. How can the energy equation be applied to solve heat transfer problems in chemical engineering?
Ans. The energy equation can be applied to solve heat transfer problems in chemical engineering by considering the heat added or removed from a system and the work done by or on the system. By quantifying these energy transfers, the change in total energy of the system can be determined. This change can then be used to calculate temperature changes, heat transfer rates, or other relevant parameters.
5. Can Fourier's Law be used to analyze heat transfer in liquids and gases?
Ans. Fourier's Law can be used to analyze heat transfer in liquids and gases to some extent, but it is primarily applicable to solid materials. In liquids and gases, convection plays a significant role in heat transfer, along with conduction. Fourier's Law alone may not accurately represent the overall heat transfer process in fluids. Instead, combined approaches, such as the convective heat transfer equation, are often used to model heat transfer in liquids and gases.
Related Searches
practice quizzes, pdf , shortcuts and tricks, study material, Energy Equation & Fourier's Law - Heat Transfer - Mechanical Engineering, Viva Questions, Summary, past year papers, Important questions, Semester Notes, ppt, Sample Paper, Exam, Energy Equation & Fourier's Law - Heat Transfer - Mechanical Engineering, Previous Year Questions with Solutions, Free, MCQs, Energy Equation & Fourier's Law - Heat Transfer - Mechanical Engineering, Objective type Questions, Extra Questions, video lectures, mock tests for examination;