Mechanical Engineering Exam  >  Mechanical Engineering Notes  >  Heat Transfer  >  Convective Heat Transfer: One Dimensional - 1

Convective Heat Transfer: One Dimensional - 1

The rate of heat transfer in a solid body or medium can be calculated by Fourier's law. Fourier's law also applies to a stagnant fluid. In practice, however, heat transfer in fluids is usually accompanied by fluid motion; this motion transports fluid elements and so enhances heat transfer. Thus, in most physical situations involving fluids, heat transfer occurs chiefly by convection.

Principle of heat flow in fluids and concept of heat transfer coefficient

Everyday experience shows that a hot metal plate cools faster when a fan blows air over it than when the air is still. This increased cooling is due to convective heat transfer, i.e., transport of thermal energy by the motion of the fluid. The word convection refers to heat transfer associated with bulk fluid motion. Although this gives an intuitive picture, a useful analytical treatment requires combining ideas from heat conduction, fluid dynamics and boundary-layer theory.

The velocity of the fluid adjacent to the hot plate strongly influences the heat-transfer rate. Important questions include: does heat transfer scale linearly with velocity (for example, does doubling velocity double the heat transfer)? How does the heat-transfer rate change if we use a different cooling fluid such as water instead of air? Answers to such questions require analysis and empirical correlations that combine thermal properties, fluid properties and flow geometry. Key features and the simplest conceptual model are presented below.

Fig. 3.1: Convective heat transfer from a heated wall to a fluidFig. 3.1: Convective heat transfer from a heated wall to a fluid

Consider the heated wall and the adjacent fluid layer shown in Fig. 3.1. The temperature of the solid surface (wall) and of the bulk fluid far from the wall are commonly denoted by Ts and T< /> respectively.

Principle of heat flow in fluids and concept of heat transfer coefficient

The no-slip condition of viscous flows means that the fluid velocity at the wall is zero. Consequently, immediately adjacent to the wall there exists a very thin layer of fluid in which heat is transferred by conduction alone. This thin region is often called the thermal (or conductive) sublayer. Although heat is conducted through this layer, the temperature gradient within it is determined by how quickly the moving fluid outside the layer carries heat away. A higher fluid velocity steepens the temperature gradient at the wall and increases the overall heat transfer.

Conduction at the wall and Newton's law of cooling

The physical mechanism of heat transfer at the wall is conduction through the thin fluid film; however, the overall process is called convection because the bulk fluid motion outside the film controls the temperature gradient within it. To convert the combined effects of conduction in the thin layer and advective transport in the bulk fluid into a practically useful form, we introduce Newton's law of cooling, which lumps many complexities into a single coefficient.

Newton's law of cooling is written as

Conduction at the wall and Newton`s law of cooling

In this expression, h is the heat transfer coefficient (also called the film coefficient). The magnitude of h depends on fluid properties, surface geometry, and the hydrodynamics of the flow near the surface.

Relation to Fourier's law

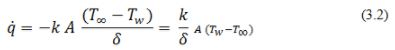
If k is the thermal conductivity of the fluid, the local conductive heat flux at the wall may be written by Fourier's law. For a one-dimensional approximation across the thin film the conductive heat flux is

Relation to Fourier`s law

where the temperature gradient inside the thin film is approximately linear and equal to (Ts - T)/δ, with δ being the effective thickness of the thermal resistance film.

Relation to Fourier`s law

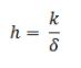
Comparing Newton's law and Fourier's law for the same heat flux leads to

Relation to Fourier`s law

The equation above shows that the heat transfer coefficient can be estimated as the thermal conductivity divided by an effective film thickness,

h ≈ k / δ

Derivation (step-wise)

The following lines present the algebraic relation between Fourier's law and Newton's law in a clear step-wise form.

Fourier's law for conductive heat flux at the wall (per unit area) is

q'' = -k (dT/dy)

Approximate the temperature gradient across the thin film by a linear change from Ts to T over thickness δ

dT/dy ≈ (T - Ts)/δ

Substitute this into Fourier's law (sign convention taken so heat leaving the surface is positive)

q'' = k (Ts - T)/δ

Newton's law of cooling for the same flux is

q'' = h (Ts - T)

Equate the two expressions to obtain

h = k / δ

Thus, h can be interpreted as the conductive resistance of a notional fluid film of thickness δ. In reality δ is not a fixed geometric thickness but an effective measure of the thermal boundary-layer thickness or film resistance that depends on flow conditions.

Interpretation and practical implications

  • Nature of h: The heat transfer coefficient h is an empirical parameter that summarises the combined effects of conduction across a thin near-wall layer and convective transport away from that layer by the bulk flow.
  • Dependence on properties: h depends on fluid properties such as density, viscosity, specific heat and thermal conductivity, and on flow parameters such as velocity and turbulence.
  • Hydrodynamics and geometry: Surface geometry, orientation (vertical/horizontal), and whether the flow is laminar or turbulent are important. Generally, turbulence increases h by thinning the thermal boundary layer and enhancing mixing.
  • Nonlinearity: The dependence of h on velocity and fluid properties is not simply linear. For example, h is typically correlated to dimensionless groups such as the Nusselt number (Nu), Reynolds number (Re), and Prandtl number (Pr) via relations of the form Nu = f(Re, Pr).

Boundary layers and film thickness

The thermal boundary layer grows from the leading edge of the surface downstream. The effective film thickness δ used in the simple relation h ≈ k/δ corresponds to the scale of temperature variation normal to the surface where conduction is dominant. For forced convection over a flat plate, the thermal boundary-layer thickness depends on the hydrodynamic boundary layer and on Pr. In many practical situations, δ cannot be calculated exactly and h is determined from experiments or from established correlations.

Correlations, estimation and typical values

Researchers have developed many correlations to estimate h for different configurations and flow regimes. These correlations are expressed in terms of dimensionless numbers. Common examples include:

  • For external forced convection over a flat plate: Nux = C Rexm Prn (local Nusselt number expressed using local Reynolds number Rex and Prandtl number Pr).
  • For flow inside pipes: correlations of the form Nu = f(Re, Pr) are widely used; for example, for fully developed turbulent flow empirical correlations give Nu ≈ 0.023 Re0.8 Pr0.4 under certain conditions.
  • For natural (free) convection, Nu is correlated to the Grashof number Gr and Pr as Nu = f(Gr, Pr).

Because the document must preserve the original table, typical numerical ranges are presented in the table image referenced below.

Table-3.1: Typical values of h under different situationsTable-3.1: Typical values of h under different situations

Factors affecting convective heat transfer coefficient

  • Fluid velocity and flow regime: Increasing velocity tends to increase h; turbulent flow usually produces higher h than laminar flow.
  • Fluid physical properties: Thermal conductivity, viscosity and specific heat influence how thermal energy is transported and diffused.
  • Surface geometry and orientation: Curved or finned surfaces, surface roughness and orientation relative to gravity change boundary-layer development and h.
  • Temperature dependence: Fluid properties can vary with temperature; this variation affects h and sometimes requires evaluation at an appropriate film temperature.
  • Mixing and external agitation: Fans, pumps or turbulent stirring increase convective transport and raise h substantially.

Applications and examples

Understanding and estimating the convective heat transfer coefficient is essential in many chemical engineering contexts, including:

  • Design of heat exchangers and condensers.
  • Cooling of electronic equipment and reactors.
  • Evaporation, condensation and boiling processes where convective transport interacts with phase change.
  • Environmental and process engineering problems involving air- or water-cooled surfaces.

In practical design, engineers select appropriate correlations for the geometry and flow regime, evaluate physical properties at suitable mean or film temperatures, and use the resulting h value to compute heat-transfer rates via q = h A (Ts - T).

Concluding remarks

Convective heat transfer is governed physically by conduction in a thin near-wall layer together with advective transport in the bulk fluid. Newton's law of cooling provides a convenient engineering form that replaces the complex interplay of conduction and convection with a single parameter, the heat transfer coefficient h. Determination of h requires experiments or reliable correlations based on fluid properties, flow conditions and geometry. Subsequent modules or chapters typically develop boundary-layer ideas and present standard correlations for common situations (flow over plates, flow inside tubes, natural convection, boiling and condensation) that are used to estimate h in engineering practice.

The document Convective Heat Transfer: One Dimensional - 1 is a part of the Mechanical Engineering Course Heat Transfer.
All you need of Mechanical Engineering at this link: Mechanical Engineering

FAQs on Convective Heat Transfer: One Dimensional - 1

1. What is convective heat transfer?
Ans. Convective heat transfer refers to the process of transferring heat through the movement of fluids (liquids or gases). It involves the transfer of heat from a solid surface to a fluid, or vice versa, due to the fluid's motion or flow.
2. How does convective heat transfer occur in one dimension?
Ans. In one-dimensional convective heat transfer, heat is transferred along a single direction or coordinate axis. It typically occurs when there is a temperature difference between a solid surface and a fluid, which causes the fluid to flow and carry heat away from or towards the surface.
3. What are the factors that affect convective heat transfer?
Ans. Several factors influence convective heat transfer, including the temperature difference between the solid surface and the fluid, the fluid's velocity or flow rate, the properties of the fluid (such as its viscosity and thermal conductivity), and the geometry of the system (such as the shape and size of the solid surface).
4. What are the different modes of convective heat transfer?
Ans. Convective heat transfer can occur through three different modes: natural convection, forced convection, and mixed convection. Natural convection involves heat transfer due to the buoyancy-driven flow of fluids caused by temperature differences. Forced convection occurs when an external force, such as a fan or pump, is used to induce fluid motion. Mixed convection combines elements of both natural and forced convection.
5. How is convective heat transfer calculated in one dimension?
Ans. The calculation of convective heat transfer in one dimension involves the use of equations such as Newton's law of cooling or the convective heat transfer coefficient equation. These equations consider factors such as the temperature difference, surface area, and convective heat transfer coefficient to determine the rate of heat transfer.
Explore Courses for Mechanical Engineering exam
Get EduRev Notes directly in your Google search
Related Searches
Convective Heat Transfer: One Dimensional - 1, mock tests for examination, study material, Extra Questions, Semester Notes, pdf , Objective type Questions, Summary, Convective Heat Transfer: One Dimensional - 1, Previous Year Questions with Solutions, practice quizzes, Sample Paper, ppt, Important questions, shortcuts and tricks, Viva Questions, MCQs, video lectures, Free, past year papers, Convective Heat Transfer: One Dimensional - 1, Exam;