Mechanical Engineering Exam  >  Mechanical Engineering Notes  >  Heat Transfer  >  Convective Heat Transfer: One Dimensional - 4

Convective Heat Transfer: One Dimensional - 4

3.3 Enhanced heat transfer: concept of fins
we have seen that the heat transfer from one fluid to another fluid needs a solid boundary. The rate of heat transfer depends on many factors including the individual heat transfer coefficients of the fluids. The higher the heat transfer coefficients the higher will be the rate of heat transfer. There are many situations where the fluid does not have a high heat transfer coefficient. For example, the heat lost by conduction through a furnace wall must be dissipated to the surrounding by convection through air. The air (or the gas phase in general) has very low heat transfer coefficient, since the thermal conductivities of gases are very low, as compared to the liquid phase. Thus if we make heat transfer device for gas and a liquid (of course separated by a heat conducting wall), the gas side film will offer most of the thermal resistance as compared to the liquid side film. Therefore, to make the heat transfer most effective we need to expose higher area of the conductive wall to the gas side. This can be done by making or attaching fins to the wall of the surface. A fin (in general) is a rectangular metal strip or annular rings to the surface of heat transfer. Thus, a fin is a surface that extends from an object to increase the rate of heat transfer to or from the environment by increasing convections. Fins are sometimes known as extended surface. Figure 3.7 shows photographs of an electric motor with the fins on the motor body and a computer processor with the fins to dissipate the generated heat into the environment. Figure 3.8 shows the different types of finned surfaces.

Convective Heat Transfer: One Dimensional - 4 (a)

Convective Heat Transfer: One Dimensional - 4 (b)

Fig. 3.7. Cooling fins of (a) electric motor, (b) computer processor

Convective Heat Transfer: One Dimensional - 4
Convective Heat Transfer: One Dimensional - 4

Convective Heat Transfer: One Dimensional - 4

 

Figure 3.9 shows a simple straight rectangular fin on plane wall. The fin is protruded a distance lfrom the wall. The temperature of the plane wall (in fact the base of the fin) is Tw and that of the ambient is T. The distances of the fin are: length l; thickness t; and the breadth b. The heat is conducted through the body by conduction and dissipates to the surrounding by convection. The heat dissipation to the surrounding occurs from both top, bottom, and side surfaces of the fin. Here, it is assumed that the thickness of the fin is small and thus the temperature does not vary in the Y-direction. However, the fin temperature varies in the X-direction only.

Convective Heat Transfer: One Dimensional - 4

Fig. 3.9. 1-D heat conduction and convection through a rectangular fin

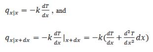
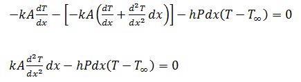
Consider a thin element of thickness dx of the fin at a distance x from the fin base. The energy balance on the fin element at steady state is discussed below.

Convective Heat Transfer: One Dimensional - 4

where, P is the perimeter [2(b+t)] of the element, T is the local temperature of the fin, h is the film heat transfer coefficient, and bt is the fin area (A) perpendicular to the direction of heat transfer.

Convective Heat Transfer: One Dimensional - 4

Thus, at steady state,
Rate of heat input - Rate of heat output - Rate of heat loss = 0

Convective Heat Transfer: One Dimensional - 4

Convective Heat Transfer: One Dimensional - 4

Convective Heat Transfer: One Dimensional - 4

However, the other boundary conditions depend on the physical situation of the problem. A few of the typical cases are,
Case I: The fin is very long and thus the temperature at the end of the fin is same as that of the ambient fluid.
Case II: The fin is of finite length and looses heat from its end by convection.

Case III: The end of the fin is insulated so that  at Convective Heat Transfer: One Dimensional - 4

The document Convective Heat Transfer: One Dimensional - 4 is a part of the Mechanical Engineering Course Heat Transfer.
All you need of Mechanical Engineering at this link: Mechanical Engineering

FAQs on Convective Heat Transfer: One Dimensional - 4

1. What is convective heat transfer?
Ans. Convective heat transfer is the process of heat transfer between a solid surface and a fluid (liquid or gas) in motion. It occurs due to the combined effects of conduction (heat transfer through direct contact) and advection (heat transfer through fluid motion). This process plays a crucial role in various engineering applications, including cooling systems, heat exchangers, and chemical reactors.
2. How does convective heat transfer differ from conductive heat transfer?
Ans. Convective heat transfer differs from conductive heat transfer in that it involves the transfer of heat through a moving fluid, while conductive heat transfer occurs through direct contact between two solid surfaces. In convective heat transfer, the fluid motion enhances the heat transfer rate by carrying heat away from the solid surface, making it more efficient compared to conductive heat transfer.
3. What factors influence convective heat transfer?
Ans. Several factors influence convective heat transfer, including the temperature difference between the solid surface and the fluid, the fluid's velocity, the physical properties of the fluid (such as density and viscosity), the surface area of contact, and the presence of any barriers or obstructions that might affect the fluid flow.
4. How is convective heat transfer quantified?
Ans. Convective heat transfer is quantified using the concept of a heat transfer coefficient (h). The heat transfer coefficient represents the rate of heat transfer per unit area per unit temperature difference between the solid surface and the fluid. It can be determined experimentally or calculated using empirical correlations based on the fluid flow characteristics and the geometry of the system.
5. What are some practical applications of convective heat transfer?
Ans. Convective heat transfer is widely used in various industrial processes. Some practical applications include cooling of electronic devices, such as computer processors, using heat sinks and fans; heat transfer in heat exchangers for energy conversion and HVAC systems; and in chemical reactors for optimizing reaction rates. Understanding and optimizing convective heat transfer is crucial for improving the efficiency and performance of these systems.
Explore Courses for Mechanical Engineering exam
Get EduRev Notes directly in your Google search
Related Searches
ppt, Objective type Questions, pdf , Previous Year Questions with Solutions, Summary, Semester Notes, shortcuts and tricks, Convective Heat Transfer: One Dimensional - 4, Convective Heat Transfer: One Dimensional - 4, Free, Important questions, mock tests for examination, study material, Extra Questions, Exam, Viva Questions, MCQs, video lectures, Sample Paper, practice quizzes, Convective Heat Transfer: One Dimensional - 4, past year papers;