Mechanical Engineering Exam  >  Mechanical Engineering Notes  >  Heat Transfer  >  Radiative Heat Transfer - 3

Radiative Heat Transfer - 3

7.2.2 Wien's law
Figure 7.4 shows that as the temperature increases the peaks of the curve also increases and it shift towards the shorter wavelength. It can be easily found out that the wavelength corresponding to the peak of the plot (λmax) is inversely proportional to the temperature of the blackbody (Wein's law) as shown in eq. 7.11.

λmax T = 2898                   (7.11)

Now with the Wien's law or Wien's displacement law, it can be understood if we heat a body, initially the emitted radiation does not have any colour. As the temperature rises the λ of the radiation reach the visible spectrum and we can able to see the red colour being height λ (for red colour). Further increase in temperature shows the white colour indicating all the colours in the light.


7.2.3 The Stefan-Boltzmann law for blackbody

Josef Stefan based on experimental facts suggested that the total emissive power of a blackbody is proportional to the fourth power of the absolute temperature. Later, Ludwig Boltzmann derived the same using classical thermodynamics. Thus the eq. 7.12 is known as Stefan-Boltzmann law,

Radiative Heat Transfer - 3

 

Eb = σT4                    (7.12)

where, Eb is the emissive power of a blackbody, T is absolute temperature, and σ (= 5.67 X 10-8W/m2/K4) is the Stefan-Boltzmann constant.

The Stefan-Boltzmann law for the emissive power gives the total energy emitted by a blackbody defined by eq.7.3.


7.2.4 Special characteristic of blackbody radiation

It has been shown that the irradiation field in an isothermal cavity is equal to Eb. Moreover, the irradiation was same for all planes of any orientation within the cavity. It may then be shown that the intensity of the blackbody radiation, Ib, is uniform. Thus, blackbody radiation is defined as,

 

Eb = πIb                   (7.13)

where, Radiative Heat Transfer - 3 is the total intensity of the radiation and  is called the spectral radiation intensity of the blackbody.


7.2.5 Kirchhoff's law
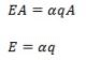
Consider an enclosure as shown in fig.7.2 and a body is placed inside the enclosure. The radiant heat flux (q) is incident onto the body and allowed to come into temperature equilibrium. The rate of energy absorbed at equilibrium by the body must be equal to the energy emitted.

Radiative Heat Transfer - 3  (7.14)

where, E is the emissive power of the body, α is absorptivity of the of the body at equilibrium temperature, and A is the area of the body.

Now consider the body is replaced by a blackbody i.e. E → Eb and α = 1, the equation 7.14 becomes

Eb= q                    (7.14)

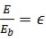
Dividing eq. 7.14 by eq.7.15,

Radiative Heat Transfer - 3                (7.16)

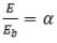
At this point we may define emissivity, which is a measure of how good the body is an emitter as compared to blackbody. Thus the emissivity  can be written as the ratio of the emissive power to that of a blackbody,

Radiative Heat Transfer - 3                  (7.17)

On comparing eq.7.16 and eq.7.17, we get

Radiative Heat Transfer - 3                   (7.18)

Equation 7.18 is the Kirchhoff's law, which states that the emissivity of a body which is in thermal equilibrium with its surrounding is equal to its absorptivity of the body. It should be noted that the source temperature is equal to the temperature of the irradiated surface. However, in practical purposes it is assumed that emissivity and absorptivity of a system are equal even if it is not in thermal equilibrium with the surrounding. The reason being the absorptivity of most real surfaces is relatively insensitive to temperature and wavelength. This particular assumption leads to the concept of grey body. The emissivity is considered to be independent of the wavelength of radiation for grey body.


7.3 Grey body
If grey body is defined as a substance whose monochromatic emissivity and absorptivity are independent of wavelength. A comparative study of grey body and 
blackbody is shown in the table 7.2.

Table-7.2: Comparison of grey and blackbody

 

Blackbody

Grey body

Ideal body

Ideal body

Emissivity (∈) is independent of wavelength

Emissivity (∈) is independent of wavelength

Absorptivity (α) is independent of wavelength

Absorptivity (α) is independent of wavelength

ε = 1

ε < 1

α = 1

α < 1


Illustration 7.1
The surface of a blackbody is at 500 K temperature. Obtain the total emissive power, the wavelength of the maximum monochromatic emissive power.

Solution 7.1

Using eq. 7.12, the total emissive power can be calculated,

Eb = σT4

where, σ (= 5.67 X 10-8 W/m2/K4) is the Stefan-Boltzmann constant. Thus at 500 K,

Eb = (5.67 X 10-8)(50004) W/m2

Eb = 354.75 W/m2

The wavelength of the maximum monochromatic emissive power can be obtained from the Wien's law (eq. 7.11),

λmaxT = 2898

Radiative Heat Transfer - 3

The document Radiative Heat Transfer - 3 is a part of the Mechanical Engineering Course Heat Transfer.
All you need of Mechanical Engineering at this link: Mechanical Engineering

FAQs on Radiative Heat Transfer - 3

1. What is radiative heat transfer in chemical engineering?
Ans. Radiative heat transfer is a process in chemical engineering that involves the transfer of energy through electromagnetic waves, mainly in the form of infrared radiation. It occurs when there is a temperature difference between two objects, and the heat is transferred by the emission, absorption, and transmission of electromagnetic radiation.
2. How is radiative heat transfer different from other heat transfer modes in chemical engineering?
Ans. Radiative heat transfer differs from other heat transfer modes, such as conduction and convection, as it does not require a medium for heat transfer. Conduction involves heat transfer through direct contact between two objects, while convection involves heat transfer through the movement of a fluid. Radiative heat transfer, on the other hand, can occur even in a vacuum, as it relies on the emission and absorption of electromagnetic waves.
3. What are the applications of radiative heat transfer in chemical engineering?
Ans. Radiative heat transfer finds various applications in chemical engineering, including: - Heating processes in industrial furnaces and boilers. - Thermal processing of materials, such as drying, curing, and sintering. - Solar thermal energy systems, where sunlight is converted into heat. - Design and optimization of heat exchangers for efficient heat transfer. - Thermal insulation and radiation shielding in nuclear reactors.
4. How can radiative heat transfer be quantified and calculated in chemical engineering?
Ans. The quantification of radiative heat transfer in chemical engineering involves using various mathematical models, such as the Stefan-Boltzmann Law and the Planck's Law of Blackbody Radiation. These laws allow engineers to calculate the amount of heat transferred through radiation based on the temperatures and emissivities of the objects involved. Additionally, numerical methods, such as computational fluid dynamics (CFD), can be utilized to simulate and analyze radiative heat transfer in complex systems.
5. What factors affect radiative heat transfer in chemical engineering processes?
Ans. Several factors influence radiative heat transfer in chemical engineering, including: - Temperature difference: A larger temperature difference between two objects results in higher radiative heat transfer. - Surface properties: The emissivity and absorptivity of the surfaces involved affect the amount of radiation exchanged. - Geometry and orientation: The shape and arrangement of objects can impact the radiative heat transfer rate. - Interference and scattering: Presence of particles or gases in the medium can alter the radiative heat transfer behavior. - Wavelength of radiation: Different materials interact differently with various wavelengths of radiation, affecting the overall heat transfer.
Explore Courses for Mechanical Engineering exam
Get EduRev Notes directly in your Google search
Related Searches
Previous Year Questions with Solutions, Viva Questions, Extra Questions, practice quizzes, video lectures, Sample Paper, Radiative Heat Transfer - 3, Summary, pdf , Radiative Heat Transfer - 3, study material, mock tests for examination, Important questions, MCQs, ppt, Radiative Heat Transfer - 3, Free, Exam, past year papers, shortcuts and tricks, Semester Notes, Objective type Questions;