Civil Engineering (CE) Exam  >  Civil Engineering (CE) Notes  >  Solid Rectangular Section

Solid Rectangular Section

Solid Rectangular Section

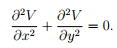
Next, we assume that the bar has a rectangular cross section of width 2b and depth 2h, as shown in figure 9.15. For this section the boundary is defined by the function,

f(x,y) = (b2-x2)(h2 -y2).               9.72)

 It can be verified that choosing the Prandtl stress function, φ as Cf(x,y) would not satisfy the governing equation (9.47). Hence, we assume a stress function of the form,

 φ = µΩ[V (x,y) + b2 -x2],                 (9.73)

 where V is a function of (x,y).
 Substituting equation (9.73) in equation (9.47) and simplifying we obtain,

Solid Rectangular Section

Then, the boundary condition (9.50) requires that

V (±b,y) = 0, V (x,±h) = x2 -b2.            (9.75)
 

Thus, we need to solve the differential equation (9.74) subject to the boundary condition (9.75).

Towards this, we seek solution of the form

V = Vx(x)Vy(y),                        (9.76)

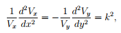
 where Vx is a function of x and Vy is a function of y alone. Substituting the assumed special form for V , (9.76) in equation (9.74) and simplifying we obtain,
                                Solid Rectangular Section       (9.77)
where k is any constant. Recognize that the left hand side of the equation is a function of x alone and the right hand side is a function of y alone. Hence, for these functions to be same, they have to be a constant. Solving the second order ordinary differential equations (9.77) we obtain,

Vx = Acos(kx) + B sin(kx), Vy = C cosh(ky) + Dsinh(ky).                                                       (9.78)

 Consistent with the boundary condition (9.75), we expect the functions Vx and Vy to be even functions, i.e., Vx(-x) = Vx(x) and Vy(-y) = Vy(y). Hence,

                    B = D = 0.                                                                                                         (9.79)

 Substituting (9.79) in the equation (9.78) and the result into equation (9.76) we obtain,

 V = AC cos(kx)cosh(ky) = E cos(kx)cosh(ky),               (9.80)

 where E is some arbitrary constant. The equation (9.80) on applying the boundary condition (9.75a), i.e., V (±b,y) = 0 yields that
  Solid Rectangular Section                  (9.81)

 where n is any integer. Since, the governing equation for V , (9.74) is a Laplace equation, it is a linear equation. Consequently, if two functions satisfy the given equation (9.74) then a linear combination of these functions also satisfies the Laplace equation. So the solution (9.80) can be written as,

      Solid Rectangular Section            (9.82)

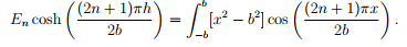
where En's are constant. Substituting (9.82) in the boundary condition (9.75b), i.e., V (x,±h) = x2 -h2 we obtain,

     Solid Rectangular Section                                       (9.83)

Now, we have to find the constants En such that for -b ≤ x ≤ b, a linear combination of cosines approximates the quadratic function on the right hand side of equation (9.83). Using the standard techniques in fourier analysis we obtain,

         Solid Rectangular Section              (9.84)

ntegrating the above equation and rearranging, we obtain
 

  Solid Rectangular Section                        (9.85)

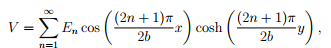
Substituting equation (9.85) in (9.82) and the resulting equation in (9.73), we obtain
 

  Solid Rectangular Section

                                                                                                                                             ( (9.86)

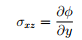
Having found the stress function, we are now in a position to find the shear stresses and the warping function. First, we compute the stresses as,

 

                       Solid Rectangular Section

           Solid Rectangular Section                 (9.87)

 

 

Solid Rectangular Section  

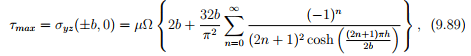
Figure 9.16: Schematic of shear stress distribution in a bar with solid rectangular cross section subjected to end torsion

 

Solid Rectangular Section        (9.88)

Figure 9.16 schematically shows the shear stress distribution in a rectangular cross section along the sides of the rectangle and along the lines x = 0 and y = 0. The shear stress is maximum on the boundary and zero at the center of the rectangle. The maximum shear stress occurs at the middle of the long side and is given by,
 

  Solid Rectangular Section

where we have assumed that h ≥ b.

Substituting (9.87) in equation (9.45) and solving the first order ordinary

Solid Rectangular Section

Figure 9.17: Warping deformation of a rectangular section due to end torsion

Solid Rectangular Section

Substituting equations (9.88) and (9.90) in equation (9.46) and solving the first order ordinary differential equation for g we obtain g(y) = D0, a constant. Since, the bar does not move as a rigid body, we want ψ(0,0) = 0. Hence, D0 = 0. Consequently, the warping function is,

  Solid Rectangular Section

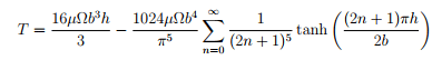
Figure 9.17 plots the warped rectangular section. Substituting (9.87) and (9.88) in equation (9.57) we can relate the applied torque, T to the realized angle of twist per unit length, Ω as
   Solid Rectangular Section                     (9.92)

This relation is expressed as
 

                        T = µΩC1(2h)(2b)3                            (9.93) 

where C1 is a non-dimensional parameter which depends on h/b. In the same spirit, the maximum shear stress, (9.89) could be related to the applied

  Solid Rectangular Section

Table 9.1: Tabulation of parameters C1 and C2 as a function of h=b

 

torque as,

Solid Rectangular Section                        (9.94)


where C2 is another non-dimensional parameter which depends on h/b. Values of C1 and C2 for various h/b ratios are tabulated in table 9.1. Thus, for thin rectangular sections, when h/b tends to ∞,

Solid Rectangular Section      (9.95)


where we have assumed the section to have a thickness, t = 2b and depth, w = 2h. It should be mentioned that irrespective of the orientation of the thin rectangular section, the equation (9.95) remains the same. This is because of the requirement that h ≥ b. Physically, irrespective of the orientation of the section, the torsion is resisted by the spatial variation of the shear stresses through the thickness of the section as shown in figure 9.19.

The document Solid Rectangular Section is a part of Civil Engineering (CE) category.
All you need of Civil Engineering (CE) at this link: Civil Engineering (CE)

FAQs on Solid Rectangular Section

1. What is a solid rectangular section?
Ans. A solid rectangular section refers to a three-dimensional shape with six faces, where the opposite faces are parallel and congruent rectangles. It is also known as a rectangular prism or a cuboid.
2. How is the volume of a solid rectangular section calculated?
Ans. The volume of a solid rectangular section can be calculated by multiplying the length, width, and height of the shape. The formula for volume is V = length x width x height.
3. What are some common applications of solid rectangular sections?
Ans. Solid rectangular sections have various applications in construction and engineering. They are commonly used as building blocks for structures such as buildings, bridges, and tunnels. They are also utilized in manufacturing processes, furniture design, and packaging.
4. How can the surface area of a solid rectangular section be determined?
Ans. The surface area of a solid rectangular section can be determined by adding the areas of all six faces. The formula for surface area is SA = 2lw + 2lh + 2wh, where l represents length, w represents width, and h represents height.
5. Can a solid rectangular section have unequal lengths for its edges?
Ans. Yes, a solid rectangular section can have unequal lengths for its edges. However, in such cases, it would no longer be considered a regular rectangular prism or cuboid. The term "rectangular section" is still applicable as long as it has six faces and the opposite faces are parallel and congruent rectangles.
Download as PDF

Top Courses for Civil Engineering (CE)

Related Searches
Solid Rectangular Section, Exam, pdf , mock tests for examination, ppt, Viva Questions, past year papers, Previous Year Questions with Solutions, Free, Solid Rectangular Section, video lectures, Extra Questions, Solid Rectangular Section, shortcuts and tricks, practice quizzes, Summary, Objective type Questions, Important questions, MCQs, study material, Semester Notes, Sample Paper;