Civil Engineering (CE) Exam  >  Civil Engineering (CE) Notes  >  RCC & Prestressed Concrete  >  Flanged Beams: Numerical Problems - 1

Flanged Beams: Numerical Problems - 1

Instructional Objectives: At the end of this lesson, the student should be able to:

  • identify the two types of numerical problems - analysis and design types,
  • apply the formulations to analyse the capacity of a flanged beam,  
  • determine the limiting moment of resistance quickly with the help of tables of SP-16.


5.11.1 Introduction  

Lesson 10 illustrates the governing equations of flanged beams. It is now necessary to apply them for the solution of numerical problems. Two types of numerical problems are possible: (i) Analysis and (ii) Design types.

This lesson explains the application of the theory of flanged beams for the analysis type of problems. Moreover, use of tables of SP-16 has been illustrated to determine the limiting moment of resistance of sections quickly for the three grades of steel. Besides mentioning the different steps of the solution, numerical examples are also taken up to explain their step-by-step solutions. 


5.11.2   Analysis Type of Problems 

The dimensions of the beam  bf, bw, Df, d, D, grades of concrete and steel and the amount of steel  Ast are given. It is required to determine the moment of resistance of the beam. 

Step 1:  To determine the depth of the neutral axis  xu  

The depth of the neutral axis is determined from the equation of equilibrium C =  T. However, the expression of C depends on the location of neutral axis, Df /d  and Df /xu parameters. Therefore, it is required to assume first that the xu is in the flange. If this is not the case, the next step is to assume xu in the web and the computed value of xu will indicate if the beam is underreinforced, balanced or over-reinforced. 


Other steps:  

Flanged Beams: Numerical Problems - 1
Flanged Beams: Numerical Problems - 1

After knowing if the section is under-reinforced, balanced or overreinforced, the respective parameter  Df/d or Df/Xis computed for the underreinforced, balanced or over-reinforced beam. The respective expressions of C, T and Mu, as established in Lesson 10, are then employed to determine their values. Figure 5.11.1 illustrates the steps to be followed.

 

5.11.3 Numerical Problems (Analysis Type) 
Flanged Beams: Numerical Problems - 1

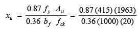
Ex.1:  Determine the moment of resistance of the T-beam of Fig. 5.11.2. Given data: b =  1000 mm, Df  =  100 mm,  b =  300 mm,  cover  =  50 mm, d  =  450 mm and Ast  =  1963 mm2 (4- 25 T). Use M 20  and   Fe 415. 

Step 1:  To determine the depth of the neutral axis xu 

 Assuming xu  in  the flange and equating total compressive and tensile forces from the expressions of  C  and  T  (Eq. 3.16 of Lesson 5) as the T-beam can be treated as rectangular beam of width bf  and effective depth  d, we get:

Flanged Beams: Numerical Problems - 1 = 98.44  mm  < 100 mm

So, the assumption of  xu  in the flange is correct. xu, max  for the balanced rectangular beam  =  0.48 d  =  0.48 (450)  =  216 mm. 
It is under-reinforced since xu  <  xu,max. 


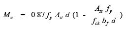
Step 2:  To determine  C, T  and Mu

 From Eqs. 3.9 (using b = bf) and 3.14 of Lesson 4 for C and T and Eq. 3.23 of Lesson 5 for Mu, we have: 

C  =  0.36  b xu  fck          (3.9)      

=  0.36 (1000) (98.44) (20)  =  708.77  kN

T  =  0.87  fy  Ast (3.14) 

=  0.87 (415) (1963)  =  708.74 kN 

Flanged Beams: Numerical Problems - 1 (3.23)     

Flanged Beams: Numerical Problems - 1

This problem belongs to the case (i) and is explained in sec. 5.10.4.1 of Lesson 10. 

Flanged Beams: Numerical Problems - 1

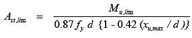
Ex.2:  Determine  Ast,lim  and  Mu,lim  of the flanged beam of Fig. 5.11.3. Given data are: bf  =  1000 mm, D =  100 mm,  bw  =  300 mm,  cover  =  50 mm and  d =  450 mm. Use M 20  and   Fe 415.

Step 1:  To determine Df/d  ratio  For the limiting case xu  =  xu,max  =  0.48 (450)  =  216  mm  > Df.  The ratio Df/d  is computed. 

Df/d   =  100/450  =  0.222  >  0.2 Hence, it is a problem of case (ii b) and discussed in sec. 5.10.4.2 b of Lesson 10. 

Step 2:  Computations of  yf , C and T 

 First, we have to compute y from Eq.5.8 of Lesson 10 and then employ Eqs. 5.9, 10 and 11  of Lesson 10 to determine C, T  and  Mu, respectively.

yf  = 0.15 xu,max +  0.65 D =  0.15 (216) + 0.65 (100)

 =  97.4 mm. (from Eq. 5.8) 

C  =  0.36  fck  bw  xu,max  +  0.45  fck (b  -  bw) yf (5.9)    

=  0.36 (20) (300) (216)  +  0.45 (20) (1000 - 300) (97.4) = 1,080.18 kN.

T  =  0.87  f Ast    

=  0.87 (415) Ast (5.10) 

Equating  C  and  T, we have 

Flanged Beams: Numerical Problems - 1

Provide 4-28 T (2463 mm2) +  3-16 T (603  mm2)  =  3,066  mm


Step 3:  Computation of  Mu

Flanged Beams: Numerical Problems - 1 (5.11)    

=  0.36 (0.48) {1 - 0.42 (0.48)} (20) (300) (450)2 
+ 0.45 (20) (1000 - 300) (97.4) (450 - 97.4/2) = 413.87 kNm  

Flanged Beams: Numerical Problems - 1

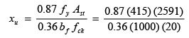
Ex.3:  Determine the moment of resistance of the beam of Fig. 5.11.4 when  Ast = 2,591 mm2 (4- 25 T and 2- 20 T). Other parameters are the same as those of

Ex.1: b =  1,000 mm, D =  100 mm,  bw  =  300 mm,  cover  =  50 mm and d  =  450 mm. Use M 20  and   Fe 415.


Step 1:  To determine  xu 

 Assuming xu  t o  be in the flange and the beam is under-reinforced, we have from Eq. 3.16 of Lesson 5:  

Flanged Beams: Numerical Problems - 1 =  129.93  mm  > 100  mm

Since x> Df, the neutral axis is in web.  Here, Df/d  =  100/450  =  0.222  >  0.2. So, we have to substitute the term y from Eq. 5.15 of Lesson 10, assuming Df / x >  0.43 in the equation of  C = T  from Eqs. 5.16 and 17 of  sec. 5.10.4.3 b of Lesson 10. Accordingly, we get:  0.36 fck  bw  xu  +  0.45  fck (bf   -  bw) yf  =  0.87 fy Ast

or 0.36 (20) (300) (xu) + 0.45 (20) (1000 - 300) {0.15 xu + 0.65 (100)}   =  0.87 (415) (2591) 

or xu   =  169.398  mm  <  216 mm (xu,max = 0.48 xu = 216 mm) 

So, the section is under-reinforced.


Step 2:  To determine  Mu 

D/x =  100/169.398  =  0.590  >  0.43 This is the problem of case (iii b) of sec. 5.10.4.3 b. The corresponding equations are Eq. 5.15 of Lesson 10 for  y and Eqs. 5.16 to 18 of Lesson 10 for  C,  T and Mu, respectively. From Eq. 5.15 of Lesson 10, we have:

y =  0.15 xu +  0.65  D =  0.15 (169.398) + 0.65 (100)  =  90.409  mm

From Eq. 5.18 of Lesson 10, we have

M =  0.36(xu /d){1 - 0.42( xu /d)} fck bw d2 + 0.45  fck(bf - bw) yf (d - y/2)    

or Mu  =  0.36 (169.398/450) {1 - 0.42 (169.398/450)} (20) (300) (450) (450) + 0.45 (20) (1000 - 300) (90.409) (450 - 90.409/2) 

=  138.62 + 230.56  =  369.18  kNm. 

Flanged Beams: Numerical Problems - 1

Ex.4:  Determine the moment of resistance of the flanged beam of Fig. 5.11.5 with Ast = 4,825 mm(6- 32 T). Other parameters and data are the same as those of Ex.1: bf  =  1000 mm, Df  =  100 mm,  b =  300 mm,  cover  =  50 mm and d  =  450 mm. Use M 20  and   Fe 415.  


Step 1:  To determine  xu 

 Assuming xu in  the flange of under-reinforced rectangular beam we have from Eq. 3.16 of Lesson 5:  

Flanged Beams: Numerical Problems - 1

Here, Df/d  =  100/450  =  0.222  >  0.2. So, we have to determine  yf  from Eq. 5.15 and equating  C and  T from Eqs. 5.16 and 17 of Lesson 10.

yf  =  0.15 xu +  0.65  Df       (5.15)

0.36 fck  bw  xu  +  0.45  fck (b  -  bw) yf  =  0.87 fy Ast            (5.16 and 5.17) 

or 0.36 (20) (300) (xu) + 0.45 (20) (1000 - 300) {0.15 xu + 0.65 (100)}   =  0.87 (415) (4825) 

or 2160 xu  +   945 x =  -  409500  + 1742066

or xu   =  1332566/3105  =  429.17 mm  

xu,max  =  0.48 (450)  =  216 mm

Since  xu   >  xu,max, the beam is over-reinforced.

Accordingly. xu   =  xu, max   =  216 mm. 


Step 2:  To determine  Mu  

This problem belongs to case (iv b), explained in sec.5.10.4.4 b of Lesson 10.

So, we can determine Mu  from Eq. 5.11 of Lesson 10.

M =  0.36(xu, max /d){1 - 0.42(xu, max /d)} fck bw d2 + 0.45  fck(bf - bw) yf (d - yf /2)             (5.11) 

where y =  0.15 xu, max +  0.65  Df    =  97.4  mm     (5.8)  

From Eq. 5.11, employing the value of  y = 97.4 mm, we get:  Mu  =  0.36 (0.48) {1 - 0.42 (0.48)} (20) (300) (450) (450) 

 + 0.45 (20) (1000 - 300) (97.4) (450 - 97.4/2) 

 =  167.63 + 246.24  =  413.87  kNm

It is seen that this over-reinforced beam has the same  Mu  as that of the balanced beam of Example 2. 


5.11.4   Summary of Results of Examples 1-4 

The results of four problems (Exs. 1-4) are given in Table 5.1 below. All the examples are having the common data except  Ast.  

Table 5.1  Results of Examples 1-4 (Figs. 5.11.2 - 5.11.5)

 

Flanged Beams: Numerical Problems - 1

Flanged Beams: Numerical Problems - 1


It is clear from the above table (Table 5.1), that Ex.4 is an over-reinforced flanged beam. The moment of resistance of this beam is the same as that of balanced beam of Ex.2. Additional reinforcement of 1,759 mm2 (= 4,825 mm2 - 3,066 mm2) does not improve the Mof the over-reinforced beam. It rather prevents the beam from tension failure. That is why over-reinforced beams are to be avoided. However, if the Mu has to be increased beyond 413.87 kNm, the flanged beam may be doubly reinforced.


5.11.5  Use of SP-16 for the Analysis Type of Problems  

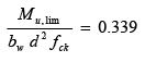
Using the two governing parameters (bf /bw) and (Df /d), the Mu,lim of balanced flanged beams can be determined from Tables 57-59 of SP-16 for the three grades of steel (250, 415 and 500). The value of the moment coefficient Mu,lim /bwd2fck of Ex.2, as obtained from SP-16, is presented in Table 5.2 making linear interpolation for both the parameters, wherever needed. Mu,lim  is then calculated from the moment coefficient.  


Table 5.2 Mu,lim of Example 2 using Table 58 of SP-16 

Parameters:  (i)  bf /b =  1000/300  =  3.33         (ii) Df /d   =  100/450  =  0.222 

Flanged Beams: Numerical Problems - 1

  by linear interpolation

So, from Table 5.2,  Flanged Beams: Numerical Problems - 1Mu,lim  =  0.339 bd2 fck  =  0.339 (300) (450) (450) (20) 10-6  =  411.88 kNm 

Mu,lim as obtained from SP-16 is close to the earlier computed value of Mu,lim = 413.87 kNm (see Table 5.1). 


5.11.6 Practice Questions and Problems with Answers  

Flanged Beams: Numerical Problems - 1

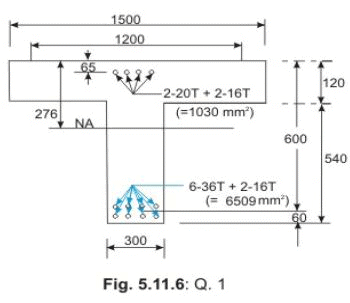
Q.1:  Determine the moment of resistance of the simply supported doubly reinforced flanged beam (isolated) of span 9 m as shown in Fig. 5.11.6. Assume M 30 concrete and Fe 500 steel.
 A.1: 
Solution of Q.1: 
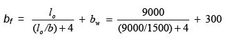
 Effective width  bf 

Flanged Beams: Numerical Problems - 1  = 1200  mm


Step 1:  To determine the depth of the neutral axis  

Assuming neutral axis to be in the flange and writing the equation  C = T, we have:  0.87 fy Ast   =  0.36 fck bf xu  +  (fsc Asc - fcc Asc) Here, d ' / d  =  65/600  =  0.108 = 0.1 (say). We, therefore, have fsc  =  353 N/mm.  From the above equation, we have: 

Flanged Beams: Numerical Problems - 1

So, the neutral axis is in web. Df /d  = 120/600  =  0.2 Assuming  Df /xu  <  0.43, and  Equating  C = T

Flanged Beams: Numerical Problems - 1

= 319.92 >  276 mm (  = 276 mm)

So,  xu  =  xu,max  =  276 mm  (over-reinforced beam). Df /x =  120/276  =  0.4347  >  0.43

Let us assume  Df /xu > 0.43. Now, equating  C = T with  y  as the depth of flange having constant stress of 0.446 fck. So, we have:

yf  =  0.15 xu + 0.65 D =  0.15 x+ 78  0.36 fck bw  xu + 0.446 fck (b- bw) yf + Asc (fsc - fcc) = 0.87 fy Ast

0.36 (30) (300) x+ 0.446 (30) (900) (0.15 xu + 78)  =  0.87 (500) (6509) - 1030 {353 - 0.446 (30)} 

or xu  =  305.63 mm >  xu,max.   (xu,max  =  276 mm)

The beam is over-reinforced. Hence,  xu  =  xu,max  = 276 mm. This is a problem of case (iv), and we, therefore, consider the case (ii) to find out the moment of resistance in two parts: first for the balanced singly reinforced beam and then for the additional moment due to compression steel. 


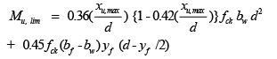
Step 2:  Determination of  xu,lim for singly reinforced flanged beam

Here, Df /d  =  120/600  =  0.2, so  yf  is not needed. This is a problem of case (ii a) of sec. 5.10.4.2 of Lesson 10.

Employing Eq. 5.7 of Lesson 10, we have:

Mu,lim  =  0.36 (xu,max /d) {1 - 0.42 (xu,max /d)} fck bw d2    + 0.45 fck (bf - bw) D(d - D/2)    

=  0.36(0.46) {1 - 0.42(0.46)} (30) (300) (600) (600) 
      +  0.45(30) (900) (120) (540) 
  =  1,220.20  kNm   

Flanged Beams: Numerical Problems - 1


Step 3:  Determination of  Mu2  

Total Ast  =    6,509  mm2,  Ast,lim  =  5,794.62  mm2

Ast2  =  714.38  mm2  and  Asc  =  1,030  mm2

It is important to find out how much of the total Asc  and  Ast2  are required effectively. From the equilibrium of C and T  forces due to additional steel (compressive and tensile), we have:  (Ast2) (0.87) (fy)  =  (Asc) (fsc) If we assume  Asc  =  1,030 mm2   

Flanged Beams: Numerical Problems - 1(714.38 mm2 is the total Ast2 provided). So, this is not possible.  Now, using  Ast2 = 714.38 mm2 , we get Asc   from the above equation.

Flanged Beams: Numerical Problems - 1

Flanged Beams: Numerical Problems - 1

(880.326 ) (1,030  mm2 sc 353 A == < , (1,030 mm2 is the total Asc provided). Mu2  =  Asc f sc (d - d ' )  =  (880.326) (353) (600 - 60)  =  167.807  kNm

Total moment of resistance  =  Mu,lim + Mu2  =  1,220.20 + 167.81  =  1,388.01  kNm

Total  Ast  required  =  Ast,lim + Ast2  =  5,794.62 + 714.38  =  6,509.00  mm2 , (provided Ast  = 6,509 mm2)

Asc required  =  880.326  mm (provided 1,030  mm2). 
 

5.11.7  Test 11 with Solutions 

Maximum Marks = 50,    
 Maximum Time = 30 minutes
 Answer all questions. 

TQ.1: Determine  Mu,lim  of the flanged beam of Ex. 2 (Fig. 5.11.3) with the help of SP-16 using (a) M 20 and Fe 250, (b) M 20 and Fe 500 and (c) compare the results with the Mu,lim  of Ex. 2 from Table 5.2 when grades of concrete and steel are M 20 and Fe 415, respectively. Other data are: bf  =  1000 mm, Df  =  100 mm,  b =  300 mm,  cover  =  50 mm and  d  =  450 mm.                           (10 X 3 = 30 marks)
 A.TQ.
1: From the results of Ex. 2 of sec. 5.11.5 (Table 5.2), we have:

Parameters:  (i)  b/bw  =  1000/300  =  3.33    (ii) Df /d   =  100/450  =  0.222

For part (a):  When Fe 250 is used, the corresponding table is Table 57 of SP16. The computations are presented in


Table 5.3 below: Table 5.3  (Mu,lim /bw d2 fck)  in  N/mm2   Of TQ.1 (PART a for M 20 and Fe 250) 

Flanged Beams: Numerical Problems - 1

 by linear interpolation Mu,lim /bw dfck  = 0.354174 = 0.354 (say) 

So, Mu,lim =  (0.354) (300) (450) (450) (20) N mm   = 430.11 kNm For part (b):  When Fe 500 is used, the corresponding table is Table 59 of SP16. The computations are presented in

Table 5.4 below: Table 5.4  (Mu,lim /bw d2 fck)  in  N/mm2   Of TQ.1 (PART b for M 20 and Fe 500)

Flanged Beams: Numerical Problems - 1

* by linear interpolation

Mu,lim /bw d2 fck  = 0.330718 = 0.3307 (say)

So, Mu,lim =  (0.3307) (300) (450) (450) (20) mm   = 401.8  kNm

For part (c):  Comparison of results of this problem with that of Table 5.2 (M 20 and Fe    415) is given below in Table 5.5.


Table 5.5 Comparison of results of Mu,lim    

 

Flanged Beams: Numerical Problems - 1

It is seen that Mu,lim of the beam decreases with higher grade of steel for a particular grade of concrete.

TQ.2: With the aid of SP-16, determine separately the limiting moments of resistance and the limiting areas of steel of the simply supported isolated, singly reinforced and balanced flanged beam of 

Q.1 as shown in Fig. 5.11.6 if the span =  9 m. Use M 30 concrete and three grades of steel, Fe 250, Fe 415 and Fe 500, respectively. Compare the results obtained above with that of

Q.1 of sec. 5.11.6, when balanced. (15 + 5  = 20 marks) 
 A.TQ.2: From the results of 

Q.1 sec. 5.11.6, we have: Parameters:  (i)  b/bw  =  1200/300  =  4.0         (ii) D/d   =   120/600  =   0.2 

For Fe 250, Fe 415 and Fe 500, corresponding tables are Table 57, 58 and 59, respectively of SP-16. The computations are done accordingly. After computing the limiting moments of resistance, the limiting areas of steel are determined as explained below. Finally, the results are presented in Table 5.6 below:

Flanged Beams: Numerical Problems - 1

Table 5.6 Values of Mu,lim  in  N/mm2   Of TQ.2 

Flanged Beams: Numerical Problems - 1

The maximum area of steel allowed is .04 b D = (.04) (300) (660) = 7,920 mm2 . Hence, Fe 250 is not possible in this case.


Summary of this Lesson  

This lesson mentions about the two types of numerical problems (i) analysis and (ii) design types. In addition to explaining the steps involved in solving the analysis type of numerical problems, several examples of analysis type of problems are illustrated explaining all steps of the solutions both by direct computation method and employing SP-16. Solutions of practice and test problems will give readers the confidence in applying the theory explained in Lesson 10  in solving the numerical problems.  

The document Flanged Beams: Numerical Problems - 1 is a part of the Civil Engineering (CE) Course RCC & Prestressed Concrete.
All you need of Civil Engineering (CE) at this link: Civil Engineering (CE)

FAQs on Flanged Beams: Numerical Problems - 1

1. What is a flanged beam and how is it used in civil engineering?
Ans. A flanged beam is a structural element that consists of a horizontal beam with flanges on both sides. The flanges provide additional strength and stiffness to the beam, allowing it to carry larger loads and span longer distances. In civil engineering, flanged beams are commonly used in the construction of bridges, buildings, and other structures where high load-bearing capacity is required.
2. How is the moment of inertia of a flanged beam calculated?
Ans. The moment of inertia of a flanged beam can be calculated by summing the individual moment of inertias of its different components, such as the web and flanges. The moment of inertia is a measure of an object's resistance to changes in rotation and is used to determine the beam's stiffness. It can be calculated using the parallel axis theorem and the formulas for different geometric shapes of the beam's components.
3. What are the advantages of using flanged beams in construction?
Ans. There are several advantages of using flanged beams in construction. Firstly, flanged beams have a higher load-bearing capacity compared to other types of beams, allowing them to support heavier loads and span longer distances. Secondly, the flanges provide additional stiffness to the beam, reducing deflections and increasing the overall stability of the structure. Lastly, flanged beams are versatile and can be easily customized to meet specific design requirements, making them suitable for various construction projects.
4. How can flanged beams be reinforced to enhance their strength?
Ans. Flanged beams can be reinforced in several ways to enhance their strength. One common method is to add reinforcing plates or stiffeners to the flanges, which increases their resistance to bending and shear forces. Another method is to use higher-grade steel or composite materials with superior strength properties. Additionally, the design of the beam's cross-section, such as increasing the flange width or thickness, can also improve its load-carrying capacity.
5. What are the limitations of using flanged beams in construction?
Ans. While flanged beams offer numerous advantages, they also have some limitations in construction. One limitation is their relatively higher cost compared to other types of beams. The fabrication process of flanged beams involves additional steps and materials, which can increase the overall project cost. Additionally, flanged beams may not be suitable for certain architectural designs that require slender or aesthetically unique structural elements. It is important to carefully consider the specific project requirements and consult with structural engineers to determine the most appropriate beam type.
Explore Courses for Civil Engineering (CE) exam
Get EduRev Notes directly in your Google search
Related Searches
Summary, Previous Year Questions with Solutions, study material, Objective type Questions, Semester Notes, Flanged Beams: Numerical Problems - 1, Important questions, Free, shortcuts and tricks, past year papers, Flanged Beams: Numerical Problems - 1, Extra Questions, Viva Questions, video lectures, MCQs, mock tests for examination, ppt, practice quizzes, Exam, Flanged Beams: Numerical Problems - 1, pdf , Sample Paper;