Civil Engineering (CE) Exam  >  Civil Engineering (CE) Notes  >  Structural Analysis  >  The Force Method of Analysis: Beams - 3

The Force Method of Analysis: Beams - 3 | Structural Analysis - Civil Engineering (CE) PDF Download

Instructional Objectives

After reading this chapter the student will be able to

1. Calculate additional stresses developed in statically indeterminate structures due to support settlements.
2. Analyse continuous beams which are supported on yielding supports.
3. Sketch the deflected shape of the member.
4. Draw banding moment and shear force diagrams for indeterminate beams undergoing support settlements.

Introduction

In the last lesson, the force method of analysis of statically indeterminate beams subjected to external loads was discussed. It is however, assumed in the analysis that the supports are unyielding and the temperature remains constant. In the design of indeterminate structure, it is required to make necessary provision for future unequal vertical settlement of supports or probable rotation of supports. It may be observed here that, in case of determinate structures no stresses are developed due to settlement of supports. The whole structure displaces as a rigid body (see Fig. 9.1). Hence, construction of determinate structures is easier than indeterminate structures.

The Force Method of Analysis: Beams - 3 | Structural Analysis - Civil Engineering (CE)
The Force Method of Analysis: Beams - 3 | Structural Analysis - Civil Engineering (CE)
The Force Method of Analysis: Beams - 3 | Structural Analysis - Civil Engineering (CE)
The Force Method of Analysis: Beams - 3 | Structural Analysis - Civil Engineering (CE)
The Force Method of Analysis: Beams - 3 | Structural Analysis - Civil Engineering (CE)

The statically determinate structure changes their shape due to support settlement and this would in turn induce reactions and stresses in the system. Since, there is no external force system acting on the structures, these forces form a balanced force system by themselves and the structure would be in equilibrium. The effect of temperature changes, support settlement can also be easily included in the force method of analysis. In this lesson few problems, concerning the effect of support settlement are solved to illustrate the procedure.

Support Displacements

Consider a two span continuous beam, which is statically indeterminate to second degree, as shown in Fig. 9.2. Assume the flexural rigidity of this beam to be constant throughout. In this example, the support B is assumed to have settled by an amount Δb as shown in the figure.

This problem was solved in the last lesson, when there was no support settlement (vide section 8.2). In section 8.2, choosing reaction a B and C as the redundant, the total deflection of the primary structure due to applied external loading and redundant R1 and R2 is written as,

The Force Method of Analysis: Beams - 3 | Structural Analysis - Civil Engineering (CE)                     (9.1a)

The Force Method of Analysis: Beams - 3 | Structural Analysis - Civil Engineering (CE)              (9.1b)

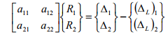
wherein,  R1 and Rand are the redundants at B and C respectively, and , and are the deflections of the primary structure at (ΔL)1, and (ΔL)2, are the deflections of the primary structure at B and C due to applied loading. In the present case, the support B settles by an amount Δb in the direction of the redundant R1. This support movement can be readily incorporated in the force method of analysis. From the physics of the problem the total deflection at the support may be equal to the given amount of support movement. Hence, the compatibility condition may be written as,

Δ1 = -Δb                  (9.2a)

Δ2 = 0                (9.2b)

It must be noted that, the support settlement Δb must be negative as it is displaces downwards. It is assumed that deflections and reactions are positive in the upward direction. The equation (9.1a) and (9.1b) may be written in compact form as,

The Force Method of Analysis: Beams - 3 | Structural Analysis - Civil Engineering (CE)                     (9.3a)

The Force Method of Analysis: Beams - 3 | Structural Analysis - Civil Engineering (CE)                  (9.3b)

Solving the above algebraic equations, one could evaluate redundants R1 and R2 due to external loading and support settlement.

Temperature Stresses

Internal stresses are also developed in the statically indeterminate structure if the free movement of the joint is prevented.

For example, consider a cantilever beam AB as shown in Fig. 9.3. Now, if the temperature of the member is increased uniformly throughout its length, then the length of the member is increased by an amount

ΔT = α L T                           (9.4)

In which, ΔT is the change in the length of the member due to temperature change, α is the coefficient of thermal expansion of the material and T is the change in temperature. The elongation (the change in the length of the member) and increase in temperature are taken as positive. However if the end B is restrained to move as shown in Fig 9.4, then the beam deformation is prevented. This would develop an internal axial force and reactions in the indeterminate structure.

Next consider a cantilever beam AB , subjected to a different temperature, T1 at the top and T2 at the bottom as shown in Fig. 9.5(a) and (b). If the top temperature T1 is higher than the bottom beam surface temperature T2, then the beam will deform as shown by dotted lines. Consider a small element dx at a distance x from A. The deformation of this small element is shown in Fig. 9.5c. Due to rise in temperature  The Force Method of Analysis: Beams - 3 | Structural Analysis - Civil Engineering (CE) on the top surface, the top surface elongates by

The Force Method of Analysis: Beams - 3 | Structural Analysis - Civil Engineering (CE)                            (9.5a)

Similarly due to rise in temperature T2, the bottom fibers elongate by

The Force Method of Analysis: Beams - 3 | Structural Analysis - Civil Engineering (CE)                          (9.5b)

As the cross section of the member remains plane, the relative angle of rotation dθ between two cross sections at a distance dx is given by

The Force Method of Analysis: Beams - 3 | Structural Analysis - Civil Engineering (CE)                     (9.6)

where, d is the depth of beam. If the end B is fixed as in Fig. 9.4, then the differential change in temperature would develop support bending moment and reactions.

The effect of temperature can also be included in the force method of analysis quite easily. This is done as follows. Calculate the deflection corresponding to redundant actions separately due to applied loading, due to rise in temperature (either uniform or differential change in temperature) and redundant forces. The deflection in the primary structure due to temperature changes is denoted by (ΔT)i which denotes the deflection corresponding to ith redundant due to temperature change in the determinate structure. Now the compatibility equation for statically indeterminate structure of order two can be written as

The Force Method of Analysis: Beams - 3 | Structural Analysis - Civil Engineering (CE)

The Force Method of Analysis: Beams - 3 | Structural Analysis - Civil Engineering (CE)     (9.7)

wherein, {ΔL} is the vector of displacements in the primary structure corresponding to redundant reactions due to external loads; {ΔT} is the displacements in the primary structure corresponding to redundant reactions and due to temperature changes and {Δ} is the matrix of support displacements corresponding to redundant actions. Equation (9.7) can be solved to obtain the unknown redundants.

The document The Force Method of Analysis: Beams - 3 | Structural Analysis - Civil Engineering (CE) is a part of the Civil Engineering (CE) Course Structural Analysis.
All you need of Civil Engineering (CE) at this link: Civil Engineering (CE)
32 videos|154 docs|31 tests

FAQs on The Force Method of Analysis: Beams - 3 - Structural Analysis - Civil Engineering (CE)

1. What is the Force Method of Analysis for beams?
Ans. The Force Method of Analysis is a technique used in structural engineering to determine the internal forces and moments in a beam. It involves breaking down the beam into multiple segments and analyzing the equilibrium equations to find the unknown forces and moments at each segment.
2. How does the Force Method of Analysis work?
Ans. The Force Method of Analysis works by assuming arbitrary values for the unknown forces and moments at each segment of the beam. These values are then used to calculate the support reactions and internal forces at each segment. The process is repeated iteratively until the calculated values converge to a solution that satisfies the equilibrium equations.
3. What are the advantages of using the Force Method of Analysis for beams?
Ans. The Force Method of Analysis offers several advantages, including its ability to handle complex structural systems with multiple supports and varying loadings. It also provides a more accurate representation of the internal forces and moments in a beam compared to other simplified methods. Additionally, it allows for the analysis of indeterminate structures, which cannot be solved using traditional equilibrium equations alone.
4. Are there any limitations to using the Force Method of Analysis for beams?
Ans. Yes, there are limitations to using the Force Method of Analysis. It requires a good understanding of structural analysis principles and can be time-consuming, especially for large and complex systems. Additionally, it assumes linear elastic behavior, which may not accurately represent the actual structural response in certain situations. Therefore, it is important to consider these limitations and verify the results obtained from the analysis.
5. Can the Force Method of Analysis be applied to any type of beam structure?
Ans. Yes, the Force Method of Analysis can be applied to analyze a wide range of beam structures, including simply supported beams, cantilever beams, continuous beams, and frames. However, the complexity of the analysis increases with the number of supports and the presence of additional structural elements such as columns or walls. In such cases, more advanced techniques and computational tools may be required to handle the increased complexity.
Related Searches

Important questions

,

shortcuts and tricks

,

Free

,

pdf

,

Summary

,

Exam

,

ppt

,

MCQs

,

Sample Paper

,

Viva Questions

,

The Force Method of Analysis: Beams - 3 | Structural Analysis - Civil Engineering (CE)

,

Extra Questions

,

Objective type Questions

,

study material

,

mock tests for examination

,

video lectures

,

The Force Method of Analysis: Beams - 3 | Structural Analysis - Civil Engineering (CE)

,

Previous Year Questions with Solutions

,

Semester Notes

,

The Force Method of Analysis: Beams - 3 | Structural Analysis - Civil Engineering (CE)

,

past year papers

,

practice quizzes

;