Civil Engineering (CE) Exam  >  Civil Engineering (CE) Notes  >  Structural Analysis  >  The Direct Stiffness Method: Beams - 6

The Direct Stiffness Method: Beams - 6 | Structural Analysis - Civil Engineering (CE) PDF Download

Instructional Objectives

After reading this chapter the student will be able to

1. Compute moments developed in the continuous beam due to support settlements.
2. Compute moments developed in statically indeterminate beams due to temperature changes.
3. Analyse continuous beam subjected to temperature changes and support settlements.

Introduction

In the last two lessons, the analysis of continuous beam by direct stiffness matrix method is discussed. It is assumed in the analysis that the supports are unyielding and the temperature is maintained constant. However, support settlements can never be prevented altogether and hence it is necessary to make provisions in design for future unequal vertical settlements of supports and probable rotations of fixed supports. The effect of temperature changes and support settlements can easily be incorporated in the direct stiffness method and is discussed in this lesson. Both temperature changes and support settlements induce fixed end actions in the restrained beams. These fixed end forces are handled in the same way as those due to loads on the members in the analysis. In other words, the global load vector is formulated by considering fixed end actions due to both support settlements and external loads. At the end, a few problems are solved to illustrate the procedure.

Support settlements

Consider continuous beam ABC as shown in Fig. 29.1a. Assume that the flexural rigidity of the continuous beam is constant throughout. Let the support B settles by an amount Δ as shown in the figure. The fixed end actions due to loads are shown in Fig. 29.1b. The support settlements also induce fixed end actions and are shown in Fig. 29.1c. In Fig. 29.1d, the equivalent joint loads are shown. Since the beam is restrained against displacement in Fig. 29.1b and Fig. 29.1c, the displacements produced in the beam by the joint loads in Fig. 29.1d must be equal to the displacement produced in the beam by the actual loads in Fig. 29.1a. Thus to incorporate the effect of support settlement in the analysis it is required to modify the load vector by considering the negative of the fixed end actions acting on the restrained beam.

The Direct Stiffness Method: Beams - 6 | Structural Analysis - Civil Engineering (CE)
The Direct Stiffness Method: Beams - 6 | Structural Analysis - Civil Engineering (CE)
The Direct Stiffness Method: Beams - 6 | Structural Analysis - Civil Engineering (CE)
The Direct Stiffness Method: Beams - 6 | Structural Analysis - Civil Engineering (CE)

Effect of temperature change

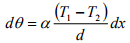
The effect of temperature on the statically indeterminate beams has already been discussed in lesson 9 of module 2 in connection with the flexibility matrix method. Consider the continuous beam ABC as shown in Fig. 29.2a, in which span BC is subjected to a differential temperature T1 at top and T2 at the bottom of the beam. Let temperature in span AB be constant. Let D be the depth of beam and EI be the flexural rigidity. As the cross section of the member remains plane after bending, the relative angle of rotation dθ between two cross sections at a distance dx apart is given by

The Direct Stiffness Method: Beams - 6 | Structural Analysis - Civil Engineering (CE)                           (29.1)

where α is the co-efficient of the thermal expansion of the material. When beam is restrained, the temperature change induces fixed end moments in the beam as shown in Fig. 29.2b. The fixed end moments developed are,

The Direct Stiffness Method: Beams - 6 | Structural Analysis - Civil Engineering (CE)                                 (29.2)

Corresponding to the above fixed end moments; the equivalent joint loads can easily be constructed. Also due to differential temperatures there will not be any vertical forces/reactions in the beam.

The Direct Stiffness Method: Beams - 6 | Structural Analysis - Civil Engineering (CE)
The Direct Stiffness Method: Beams - 6 | Structural Analysis - Civil Engineering (CE)
The Direct Stiffness Method: Beams - 6 | Structural Analysis - Civil Engineering (CE)

Example 29.1

Calculate support reactions in the continuous beam ABC (vide Fig. 29.3a) having constant flexural rigidity EI , throughout due to vertical settlement of support B , by 5mm as shown in the figure. Assume E = 200 GPa and I = 4 × 10-4 10 m4 .

The Direct Stiffness Method: Beams - 6 | Structural Analysis - Civil Engineering (CE)
The Direct Stiffness Method: Beams - 6 | Structural Analysis - Civil Engineering (CE)
The Direct Stiffness Method: Beams - 6 | Structural Analysis - Civil Engineering (CE)

The Direct Stiffness Method: Beams - 6 | Structural Analysis - Civil Engineering (CE)

The continuous beam considered is divided into two beam elements. The numbering of the joints and members are shown in Fig. 29.3b. The possible global degrees of freedom are also shown in the figure. A typical beam element with two degrees of freedom at each node is also shown in the figure. For this problem, the unconstrained degrees of freedom are 1u and 2u . The fixed end actions due to support settlement are,

The Direct Stiffness Method: Beams - 6 | Structural Analysis - Civil Engineering (CE)
The Direct Stiffness Method: Beams - 6 | Structural Analysis - Civil Engineering (CE)                                     (1)

The fixed-end moments due to support settlements are shown in Fig. 29.3c.

The equivalent joint loads due to support settlement are shown in Fig. 29.3d. In the next step, let us construct member stiffness matrix for each member.

Member 1: L = 5m , node points 1-2.

The Direct Stiffness Method: Beams - 6 | Structural Analysis - Civil Engineering (CE)                                     (2)

Member 2: L = 5m , node points 2-3.

The Direct Stiffness Method: Beams - 6 | Structural Analysis - Civil Engineering (CE)                               (3)

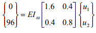
On the member stiffness matrix, the corresponding global degrees of freedom are indicated to facilitate assembling. The assembled global stiffness matrix is of order 6×6. Assembled stiffness matrix [K]is given by,

The Direct Stiffness Method: Beams - 6 | Structural Analysis - Civil Engineering (CE)                                   (4)

Thus the global load vector corresponding to unconstrained degrees of freedom is,

The Direct Stiffness Method: Beams - 6 | Structural Analysis - Civil Engineering (CE)                                              (5)

Thus the load displacement relation for the entire continuous beam is,

The Direct Stiffness Method: Beams - 6 | Structural Analysis - Civil Engineering (CE)                                 (6)

Since, u3 = u4 = u5 = u6 = 0 due to support conditions. We get,

The Direct Stiffness Method: Beams - 6 | Structural Analysis - Civil Engineering (CE)

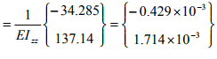
Thus solving for unknowns u1 and u2 ,

The Direct Stiffness Method: Beams - 6 | Structural Analysis - Civil Engineering (CE)

The Direct Stiffness Method: Beams - 6 | Structural Analysis - Civil Engineering (CE)

u1 =-0.429 x 10-3 radians;    u2 = 1.714 x 10-3 radians                         (7)

Now, unknown joint loads are calculated by,

The Direct Stiffness Method: Beams - 6 | Structural Analysis - Civil Engineering (CE)                    (8)

The Direct Stiffness Method: Beams - 6 | Structural Analysis - Civil Engineering (CE)

Now the actual support reactions R3 , R4 , R5 and R6 must include the fixed end support reactions. Thus, 

The Direct Stiffness Method: Beams - 6 | Structural Analysis - Civil Engineering (CE)                           (9)

R3 =-43.88 kN; R4 = 13.72 kN;    R5 = 82.29 kN.m; R6 = 30.17 kN                (10) 

The document The Direct Stiffness Method: Beams - 6 | Structural Analysis - Civil Engineering (CE) is a part of the Civil Engineering (CE) Course Structural Analysis.
All you need of Civil Engineering (CE) at this link: Civil Engineering (CE)
32 videos|154 docs|31 tests

FAQs on The Direct Stiffness Method: Beams - 6 - Structural Analysis - Civil Engineering (CE)

1. What is the direct stiffness method for beams?
Ans. The direct stiffness method is a numerical technique used to analyze the behavior of beams. It involves dividing the beam into smaller elements and calculating the stiffness matrix for each element. By assembling these stiffness matrices, the overall stiffness matrix for the entire beam can be obtained. This method allows for the calculation of displacements, internal forces, and reactions within the beam.
2. How does the direct stiffness method work for beams?
Ans. The direct stiffness method for beams works by dividing the beam into smaller elements, such as beam segments or nodes, and assigning stiffness values to each element. These stiffness values are based on the material properties, geometry, and boundary conditions of the beam. By assembling the stiffness matrices for each element, a system of equations can be formed. Solving this system of equations allows for the determination of displacements, internal forces, and reactions within the beam.
3. What are the advantages of using the direct stiffness method for beam analysis?
Ans. The direct stiffness method offers several advantages for beam analysis. Firstly, it provides a systematic and efficient approach to solving complex structural problems. Secondly, it allows for the inclusion of various boundary conditions and loading scenarios. Thirdly, it can handle non-linear behavior and material properties. Lastly, it provides detailed information about internal forces and displacements, allowing for a comprehensive analysis of the beam's behavior.
4. Are there any limitations to using the direct stiffness method for beams?
Ans. While the direct stiffness method is a powerful tool for beam analysis, it does have some limitations. One limitation is that it assumes linear behavior of the beam material, which may not be accurate for certain materials under large deformations. Another limitation is that it requires the division of the beam into smaller elements, which can be time-consuming and computationally intensive for complex structures. Additionally, the method may not be suitable for analyzing beams with irregular shapes or highly non-linear behavior.
5. How can the direct stiffness method be applied to solve beam problems in engineering?
Ans. The direct stiffness method can be applied to solve beam problems in engineering by following a systematic approach. Firstly, the beam is divided into smaller elements, such as beam segments or nodes. Next, the stiffness matrix for each element is calculated based on the material properties, geometry, and boundary conditions. These stiffness matrices are then assembled to form a system of equations. Finally, the system of equations is solved to obtain the displacements, internal forces, and reactions within the beam. This information can be used to analyze the beam's behavior and design efficient and safe structures.
Related Searches

mock tests for examination

,

Exam

,

The Direct Stiffness Method: Beams - 6 | Structural Analysis - Civil Engineering (CE)

,

Semester Notes

,

Extra Questions

,

MCQs

,

Important questions

,

Objective type Questions

,

practice quizzes

,

The Direct Stiffness Method: Beams - 6 | Structural Analysis - Civil Engineering (CE)

,

past year papers

,

shortcuts and tricks

,

pdf

,

Free

,

Sample Paper

,

Summary

,

study material

,

Previous Year Questions with Solutions

,

The Direct Stiffness Method: Beams - 6 | Structural Analysis - Civil Engineering (CE)

,

ppt

,

Viva Questions

,

video lectures

;