Mechanical Engineering Exam  >  Mechanical Engineering Notes  >  Design of Machine Elements  >  Shaft & Its Design Based on Strength

Shaft & Its Design Based on Strength

Shaft 

Shaft is a common and important machine element. It is a rotating member, in general, has a circular cross-section and is used to transmit power. The shaft may be hollow or solid. The shaft is supported on bearings and it rotates a set of gears or pulleys for the purpose of power transmission. The shaft is generally acted upon by bending moment, torsion and axial force. Design of shaft primarily involves in determining stresses at critical point in the shaft that is arising due to aforementioned loading. Other two similar forms of a shaft are axle and spindle.

Axle is a non-rotating member used for supporting rotating wheels etc. and do not transmit any torque. Spindle is simply defined as a short shaft. However, design method remains the same for axle and spindle as that for a shaft.

Standard sizes of Shafts 

Typical sizes of solid shaft that are available in the market are,

Up to 25 mm            0.5 mm increments
25 to 50 mm            1.0 mm increments
50 to 100 mm          2.0 mm increments
100 to 200 mm        5.0 mm increments

Material for Shafts 

The ferrous, non-ferrous materials and non metals are used as shaft material depending on the application. Some of the common ferrous materials used for shaft are discussed below.

Hot-rolled plain carbon steel 

These materials are least expensive. Since it is hot rolled, scaling is always present on the surface and machining is required to make the surface smooth.

Cold-drawn plain carbon/alloy composition

Since it is cold drawn it has got its inherent characteristics of smooth bright finish. Amount of machining therefore is minimal. Better yield strength is also obtained. This is widely used for general purpose transmission shaft.

Alloy steels

Alloy steel as one can understand is a mixture of various elements with the parent steel to improve certain physical properties. To retain the total advantage of alloying materials one requires heat treatment of the machine components after it has been manufactured. Nickel, chromium and vanadium are some of the common alloying materials. However, alloy steel is expensive.

These materials are used for relatively severe service conditions. When the situation demands great strength then alloy steels are used. They have fewer tendencies to crack, warp or distort in heat treatment. Residual stresses are also less compared to CS(Carbon Steel).

In certain cases the shaft needs to be wear resistant, and then more attention has to be paid to make the surface of the shaft to be wear resistant. The common types of surface hardening methods are,

Hardening of surface


Case hardening and carburizing 

Cyaniding and nitriding

 

Design considerations for shaft 

For the design of shaft following two methods are adopted,

Design based on Strength

In this method, design is carried out so that stress at any location of the shaft should not exceed the material yield stress. However, no consideration for shaft deflection and shaft twist is included.

Design based on Stiffness

Basic idea of design in such case depends on the allowable deflection and twist of the shaft.

 

Design based on Strength 

The stress at any point on the shaft depends on the nature of load acting on it. The stresses which may be present are as follows.

Basic stress equations :

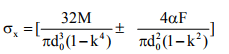
Bending stress

Shaft & Its Design Based on Strength                   (8.1.1)

Where,

M : Bending moment at the point of interest
do : Outer diameter of the shaft
k : Ratio of inner to outer diameters of the shaft ( k = 0 for a solid shaft because inner diameter is zero )

Axial Stress

Shaft & Its Design Based on Strength                  (8.1.2)

Where,

F: Axial force (tensile or compressive)
α : Column-action factor(= 1.0 for tensile load)

The term α has been introduced in the equation. This is known as column action factor. What is a column action factor? This arises due the phenomenon of buckling of long slender members which are acted upon by axial compressive loads.

Here, α is defined as,

Shaft & Its Design Based on Strength

 

Shaft & Its Design Based on Strength

Where,

n = 1.0 for hinged end
n = 2.25 for fixed end
n = 1.6 for ends partly restrained, as in bearing
K = least radius of gyration,
L = shaft length
σyc = yield stress in compression

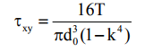
Stress due to torsion

Shaft & Its Design Based on Strength                     (8.1.4)

Where,

T : Torque on the shaft
τyx : Shear stress due to torsion

Combined Bending and Axial stress

Both bending and axial stresses are normal stresses, hence the net normal stress is given by,

Shaft & Its Design Based on Strength                                                       (8.1.5)

The net normal stress can be either positive or negative. Normally, shear stress due to torsion is only considered in a shaft and shear stress due to load on the shaft is neglected.

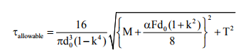
Maximum shear stress theory

Design of the shaft mostly uses maximum shear stress theory. It states that a machine member fails when the maximum shear stress at a point exceeds the maximum allowable shear stress for the shaft material. Therefore,

Shaft & Its Design Based on Strength

                                                                                               (8.1.6)

Substituting the values of σx and τxy in the above equation, the final form is,

Shaft & Its Design Based on Strength

                                                                                                                    (8.1.7)

Therefore, the shaft diameter can be calculated in terms of external loads and material properties. However, the above equation is further standarised for steel shafting in terms of allowable design stress and load factors in ASME design code for shaft.

ASME design Code 

The shafts are normally acted upon by gradual and sudden loads. Hence, the equation (8.1.7) is modified in ASME code by suitable load factors,

Shaft & Its Design Based on Strength

                                                                                                                          (8.1.8) 

where, Cbm and Care the bending and torsion factors. The values of these factors are given below,

 

For stationary shaft:                          Cbm               Ct  
Load gradually applied                      1.0                 1.0
Load suddenly applied                      1.5 - 2.0         1.5 - 2.0
For rotating shaft:
Load gradually applied                      1.5                 1.0
Load suddenly applied                       1.5 - 2.0         1.0 - 1.5
(minor shock)
Load suddenly applied                        2.0 - 3.0        1.5 - 3.0
(heavy shock)     

ASME code also suggests about the allowable design stress, τ allowable to be considered for steel shafting,

ASME Code for commercial steel shafting
                            =55 MPa for shaft without keyway
                            = 40 MPa for shaft with keyway

ASME Code for steel purchased under definite specifications
                          = 30% of the yield strength but not over 18% of the ultimate strength in tension for shafts without keyways. These values are to be reduced by 25% for the presence of keyways.

The equations, (8.1.7) and (8.1.8) are commonly used to determine shaft diameter.

Sample problem

The problem is shown in the given figure. A pulley drive is transmitting power to a pinion, which in turn is transmitting power to some other machine element. Pulley and pinion diameters are 400mm and 200mm respectively. Shaft has to be designed for minor to heavy shock.

Shaft & Its Design Based on Strength

Solution 

From the given figure, the magnitude of torque,

T = (4000 -1000)x 200 N mm= 600 x 103 mm

It is observed that the load on the shaft is acting both in horizontal and vertical planes. The loading diagram, corresponding bearing reactions and bending moment diagram is given below.

Shaft & Its Design Based on Strength

The bending moment at C:

For vertical plane, MV:        -150 Nm
For horizontal plane, MH:    860 Nm
Resultant moment:               873 Nm

The bending moment at D:

For vertical plane, MV:       -850 Nm
For horizontal plane, MH:   580 Nm
Resultant moment:            1029Nm

Therefore, section-D is critical and where bending moment and torsion is 1029 Nm and 600 Nm respectively.

ASME code for shaft design is suitable in this case as no other specifications are provided. In absence of any data for material property, the allowable shear for commercial steel shaft may be taken as 40 MPa, where keyway is present in the shaft.

For the given codition of shock, let us consider Cbm = 2.0 and C= 1.5.

From the ASME design code, we have

Shaft & Its Design Based on Strength

From standard size available, the value of shaft diameter is also 66mm.  

The document Shaft & Its Design Based on Strength is a part of the Mechanical Engineering Course Design of Machine Elements.
All you need of Mechanical Engineering at this link: Mechanical Engineering

FAQs on Shaft & Its Design Based on Strength

1. What is the purpose of a shaft in mechanical engineering?
Ans. A shaft in mechanical engineering is used to transmit power from one part of a machine to another. It is designed to withstand torque and rotational forces, allowing the machine to function properly.
2. How is the design of a shaft based on strength?
Ans. The design of a shaft is based on strength to ensure that it can handle the forces and loads it will be subjected to during operation. Engineers consider factors such as material selection, diameter, length, and shape to determine the optimal design that can withstand the required strength.
3. What are some common materials used in the construction of shafts?
Ans. Common materials used in the construction of shafts include steel, stainless steel, aluminum, and titanium. The choice of material depends on factors such as the application, load requirements, cost, and environmental conditions.
4. How does the diameter of a shaft affect its strength?
Ans. The diameter of a shaft directly affects its strength. A larger diameter shaft can withstand higher torque and loads compared to a smaller diameter shaft. Engineers calculate the required diameter based on the expected forces and stresses to ensure the shaft can handle the applied loads without failure.
5. What are some common failure modes of shafts?
Ans. Common failure modes of shafts include bending, torsional shear, fatigue, and wear. Bending can occur when a shaft is subjected to excessive loads, causing it to deform. Torsional shear failure happens when the shaft experiences excessive twisting forces. Fatigue failure occurs due to repeated cyclic loading, leading to cracks and eventual fracture. Wear is a gradual loss of material due to friction and abrasion over time.
Explore Courses for Mechanical Engineering exam
Get EduRev Notes directly in your Google search
Related Searches
shortcuts and tricks, Free, ppt, Exam, Semester Notes, Viva Questions, Summary, Shaft & Its Design Based on Strength, Objective type Questions, past year papers, pdf , Previous Year Questions with Solutions, MCQs, Important questions, Shaft & Its Design Based on Strength, study material, mock tests for examination, video lectures, Sample Paper, Shaft & Its Design Based on Strength, Extra Questions, practice quizzes;