Mechanical Engineering Exam  >  Mechanical Engineering Notes  >  Simple Vibration Neutraliser

Simple Vibration Neutraliser

Dynamic Vibration Absorbers

Basic Concept

Dynamic Vibration Absorbers (DVA) are based on the concept of attaching a secondary mass to a primary vibrating system such that the secondary mass dissipates the energy and thus reduce the amplitude of vibration of the primary system.

There are many application of DVA, A few are noted below:

  • vibration control of transmission cables
  • control of torsional oscillation of crankshaft
  • control of rolling motion of ships
  • chatter control of cutting tools
  • control of noise in aircraft cabin
  • vibration control of hand held devices

DVAs are generally of three types

  • Vibration Neutralizer :

Here, a secondary mass is connected to the primary using a spring element.

  • Auxiliary Mass Damper :

Here the secondary mass is connected to the primary by a damper/dashpot.

  • Dynamic Vibration Absorber:

A general case where both spring and damper are used to connect the secondary mass, with the primary system.

Model of a Simple Vibration Neutralizer

The primary system is assumed to be an undamped single-degree-of-freedom system of mass mand stiffness k1. The secondary system (the neutralizer) consists of mass m2 attached to the primary using a spring of stiffness k2 . The primary system is subjected to a harmonic excitation as shown in figure 16.1.

Simple Vibration Neutraliser

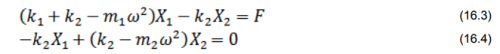
The responses of the masses from their respective equilibrium positions are denoted as x1 for m1 and x2 for m2 . The equations of motion for the masses can be written as
 

Simple Vibration Neutraliser
 

In the steady state, the solutions of the governing equations are assumed to be x1 = x1ejwt and x2 = x2ejwt . Substituting these in eqns (16.1) and (16.2), we get

Simple Vibration Neutraliser
 

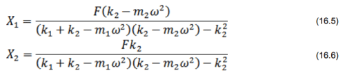
Solving eqns. (16.3) and (16.4), we obtain

Simple Vibration Neutraliser

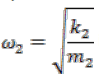
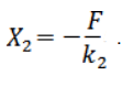
From eqns. (16.5) and (16.6), you may note that if the secondary system is tuned to the excitation frequency, i.e., its natural frequency  Simple Vibration Neutraliser   is made equal to , then  Simple Vibration Neutraliser  and  Simple Vibration Neutraliser  This implies that the primary system comes to rest, after tuning.

 

Design Considerations

  • It should be noted that a tuned neutralizer makes the response of the primary system zero only at one frequency, namely, w2. So, the application of such a neutralizer is very much limited.
  • Eventhough the tuned mass damping system could successfully neutralize the vibration response of the primary system when the excitation frequency is w2; it also introduces two new resonating frequencies to the original system. Hence, care should be taken such that the two new frequencies are kept sufficiently away from the expected excitation frequency.
  • From equation 16.6, you may note that at w=w2 , displacement of the secondary mass,  Simple Vibration Neutraliser  . In fact in many system, there is a constraint on maximum permissible value of x2. This is known as rattle space.
The document Simple Vibration Neutraliser is a part of Mechanical Engineering category.
All you need of Mechanical Engineering at this link: Mechanical Engineering

FAQs on Simple Vibration Neutraliser

1. What is a simple vibration neutralizer in mechanical engineering?
Ans. A simple vibration neutralizer in mechanical engineering is a device or mechanism used to reduce or eliminate unwanted vibrations in a system. It is designed to absorb or dampen the energy caused by vibrations, resulting in a more stable and balanced operation.
2. How does a simple vibration neutralizer work?
Ans. A simple vibration neutralizer works by incorporating materials or mechanisms that can absorb or dampen vibrations. This can be achieved through the use of rubber or elastomeric materials, which have high damping properties. When vibrations occur, these materials deform and dissipate the energy, reducing the overall vibration levels in the system.
3. What are the benefits of using a simple vibration neutralizer in mechanical systems?
Ans. There are several benefits of using a simple vibration neutralizer in mechanical systems. Firstly, it helps in improving the overall reliability and lifespan of the system by reducing stress and fatigue on the components. It also enhances the comfort and safety of the operators by minimizing vibrations that can cause discomfort or affect the performance of the system. Additionally, a vibration neutralizer can improve the accuracy and precision of sensitive equipment or instruments by minimizing external disturbances caused by vibrations.
4. Where are simple vibration neutralizers commonly used in mechanical engineering applications?
Ans. Simple vibration neutralizers are commonly used in various mechanical engineering applications. They are often employed in automotive systems, such as engine mounts and suspension systems, to reduce vibrations transmitted to the vehicle's frame or cabin. They can also be found in industrial machinery, where vibrations can affect the performance and stability of the equipment. Additionally, they are utilized in aerospace and marine industries to minimize vibrations in aircraft or ship structures.
5. Can a simple vibration neutralizer completely eliminate vibrations in a mechanical system?
Ans. While a simple vibration neutralizer can significantly reduce vibrations in a mechanical system, it may not completely eliminate them. The effectiveness of the neutralizer depends on various factors, such as the magnitude and frequency of the vibrations, the design of the neutralizer, and the characteristics of the system itself. In some cases, additional measures or more advanced vibration control techniques may be required to achieve complete vibration elimination.
Download as PDF

Top Courses for Mechanical Engineering

Related Searches
Simple Vibration Neutraliser, mock tests for examination, video lectures, Semester Notes, past year papers, Free, shortcuts and tricks, practice quizzes, Summary, Sample Paper, Extra Questions, Important questions, Objective type Questions, Simple Vibration Neutraliser, Simple Vibration Neutraliser, Exam, study material, ppt, Previous Year Questions with Solutions, Viva Questions, MCQs, pdf ;