Civil Engineering (CE) Exam  >  Civil Engineering (CE) Notes  >  Spillways and Energy Dissipators (Part - 7)

Spillways and Energy Dissipators (Part - 7)

Design of Hydraulic Jump Stilling Basin type energy dissipators 

A hydraulic jump is the sudden turbulent transition of supercritical flow to subcritical. This phenomena, which involves a loss of energy, is utilized at the bottom of a spillway as an energy dissipator by providing a floor for the hydraulic jump to take place (Figure 47). The amount of energy dissipated in a jump increases with the rise in Froude number of the supercritical flow. 

Spillways and Energy Dissipators (Part - 7)

Spillways and Energy Dissipators (Part - 7)Spillways and Energy Dissipators (Part - 7)

Figure 47. Definition sketch of hydraulic jump & associated parameters

The two depths, one before (y1and one after (y2the jump are related by the following expression: 

Spillways and Energy Dissipators (Part - 7)          (14) 

Where F1 is the incoming Froude number Spillways and Energy Dissipators (Part - 7)

Alternatively, the expression may be written in terms of the outgoing Froude number Spillways and Energy Dissipators (Part - 7) as

Spillways and Energy Dissipators (Part - 7)       (15)

where V1 and Vare the incoming and outgoing velocities and g is the acceleration due to gravity.

The energy lost in the hydraulic jump (EL) is given as: 

Spillways and Energy Dissipators (Part - 7)         (16) 

In most cases, it is possible to find out the pre-jump depth (y1) and velocity (V1) from the given value of discharge per unit width (q) through the spillway. This is done by assuming the total energy is nearly constant right from the spillway entrance up to the beginning of the jump formation, as shown in Figure 47. V1 may be assumed to be equal toSpillways and Energy Dissipators (Part - 7), where H1 is the total energy upstream of the spillway, and neglecting friction losses in the spillway. The appropriate expressions may be solved to find out the postjump depth (y2) and velocity (V2). 

The length of the jump (Lj) is an important parameter affecting the size of a stilling basin in which the jump is used. There have been many definitions of the length of the jump, but it is usual to take the length to be the horizontal distance between the toe of the jump upto a section where the water surface becomes quite level after reaching a maximum level. Because the water surface profile is very flat towards the end of the jump, large personal errors are introduced in the determination of the jump length. 

Bradley and Peterka (1975) have experimentally found the length of hydraulic jumps and plotted them in terms of the incoming Froude number (F1), and post-jump depth (y2) as shown in Figure 48. It is evident that while Lj/y2 varies most for small values of F1, at higher values, say above 5 or so, Lj /y2 is practically constant at a value of about 6.1. 

Spillways and Energy Dissipators (Part - 7)

Figure 48. Length of hydraulic jump on a horizontal or inclined floor

The depth of water in the actual river downstream of the stilling basin (y2*) is determined from the river flow observations that have been plotted as a stage-discharge curve (Figure 49).  

Spillways and Energy Dissipators (Part - 7)

Subtracting the stilling basing apron level from the stage or water level corresponding to the total discharge passing through the spillway gives the tail-water depth (y2*). Since the stage-discharge curve gives indications about the tail-water of the spillway, it is called the Tail-Water Rating Curve (TRC), usually expressed as the water depth (y2*) versus unit discharge (q), as shown in Figure 50(a). 

Spillways and Energy Dissipators (Part - 7)Spillways and Energy Dissipators (Part - 7)

Spillways and Energy Dissipators (Part - 7)Spillways and Energy Dissipators (Part - 7)

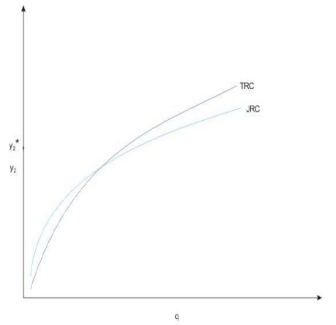
Figure 50. Water Level curves ( a ): Tail - water Rating Curve (TRC) ( b ): Jump Rating Curve (JRC)

At the same time, using the formula relating unit discharge (q) with the post-jump depth (y2), a similar graph may be obtained, as shown in Figure 50(b). Since this graph gives indication about the variation of the post-jump depth, it is called the Jump Rating Curve (JRC). 

In general, the JRC and TRC would rarely coincide, if plotted on the same graph, as shown in Figure 51. 

Spillways and Energy Dissipators (Part - 7)

Figure 51. TRC & JRC coinciding

At times, the TRC may lie completely below the JRC (Figure 52), for all discharges, in which case the jump will be located away from the toe of the spillway resulting in possible erosion of the riverbed.  

Spillways and Energy Dissipators (Part - 7)

Figure 52. TRC below JRC for all discharges

If the TRC is completely above the jump would be located so close to the spillway to make it submerged  which may not dissipate the energy completely. (Figure 53) 

Spillways and Energy Dissipators (Part - 7)

Figure 53. TRC above JRC for all discharges

It may also be possible in actual situations that the TRC may be below the JRC for some discharges above for the rest, as shown in Figs. 54 and 55.  

Spillways and Energy Dissipators (Part - 7)

Figure 54. TRC below JRC for low discharges and above for high discharges

Spillways and Energy Dissipators (Part - 7)

Figure 55. TRC above JRC for low discharges and below for high discharges

In these cases two, favourable location of jump may not be possible. In view of the above situations, the following recommendations have been made for satisfactory performance of the hydraulic jumps. 

Case1 (Figure 51) This is the ideal case in which the horizontal apron provided on the riverbed downstream from the toe of the spillway would suffice. The length of the apron should be equal to the length of the jump corresponding to the maximum discharge over the spillway.

Case2 (Figure 52) It is apparent that the tail water depth as provided by the natural river is not sufficiently for the jump to form. This may be over come by providing a stilling basin apron that is depressed below the average riverbed level (Figure56) or by providing a sill or baffle of sufficient height at the end of the spillway (Figure 57) 

Spillways and Energy Dissipators (Part - 7)

Figure 56. Depressed floor of stilling basin apron

Spillways and Energy Dissipators (Part - 7)

Figure 57. High end - sill or baffle at toe of stilling basin

Case 3 (Figure 53) Since this situation results in submergence results in submergence of the jump, it is necessary to raise the floor in order to form a clear jump. In practice, it is done by providing an inclined apron of the stilling basin (Figure 58). 

Spillways and Energy Dissipators (Part - 7)

Figure 58. Inclined stilling basin

Case 4 (Figure 54) This situation may be taken care of by providing an inclined floor in the upper portion of the stilling basin and providing either a depressed floor in the lower portion of the basin or provide a baffle at the end of the basin.

Case 5 (Figure 55) In this case a sloping apron may be provided which lies partly above and partly below the riverbed. So that the jump will form on the higher slope at low discharges and on the lower slope at high discharges. The type of Stilling Basins that may be provided under different situations is recommended by the Bureau of Indian Standards code IS: 4997-1968 "Criteria for design of hydraulic jump type stilling basins with horizontal and sloping aprons". In all, these are four types of basin shapes recommended. Types I and II are meant for basins with horizontal floors and types III and IV for basins with inclined floors. 

The document Spillways and Energy Dissipators (Part - 7) is a part of Civil Engineering (CE) category.
All you need of Civil Engineering (CE) at this link: Civil Engineering (CE)

FAQs on Spillways and Energy Dissipators (Part - 7)

1. What is the purpose of a spillway?
Ans. A spillway is a structure built to safely divert excess water from a dam or reservoir, preventing the water from overtopping the dam and causing potential damage or failure. Its purpose is to control and regulate the flow of water during periods of high inflow.
2. What are the different types of energy dissipators used in spillways?
Ans. There are several types of energy dissipators used in spillways, including stilling basins, hydraulic jump dissipators, impact dissipators, and stepped spillways. These structures are designed to dissipate the excess kinetic energy of the flowing water, reducing its velocity and preventing erosion downstream.
3. How does a stilling basin work in a spillway?
Ans. A stilling basin is a pool or basin located downstream of a spillway that acts as an energy dissipator. It works by providing a relatively calm and shallow area for the high-velocity water to enter, allowing the energy to be dissipated gradually. The basin typically consists of a series of steps or baffle blocks that help to slow down and stabilize the flow before it is discharged downstream.
4. What is a hydraulic jump dissipator?
Ans. A hydraulic jump dissipator is a type of energy dissipator commonly used in spillways. It involves the sudden transition of a high-velocity, turbulent flow into a slower, calmer flow. This transition results in the dissipation of energy through turbulence and wave formation. Hydraulic jump dissipators are effective in reducing the velocity and energy of the flowing water.
5. How are impact dissipators used in spillways?
Ans. Impact dissipators are structures designed to reduce the velocity and energy of the flowing water by causing it to impact against a series of steps or blocks. The impact dissipators create turbulence and hydraulic jumps, which help to dissipate the excess energy. These structures are commonly used in spillways where the flow velocity is exceptionally high and requires significant energy dissipation.
Download as PDF

Top Courses for Civil Engineering (CE)

Related Searches
Spillways and Energy Dissipators (Part - 7), Important questions, ppt, Exam, MCQs, Extra Questions, Previous Year Questions with Solutions, Viva Questions, video lectures, mock tests for examination, study material, Semester Notes, Spillways and Energy Dissipators (Part - 7), Objective type Questions, Spillways and Energy Dissipators (Part - 7), Summary, shortcuts and tricks, Free, practice quizzes, past year papers, pdf , Sample Paper;