B Com Exam  >  B Com Notes  >  Business Mathematics and Statistics  >  Methods of Interpolation - Interpolation and Extrapolation, Business Mathematics and Statistics

Methods of Interpolation - Interpolation and Extrapolation, Business Mathematics and Statistics | Business Mathematics and Statistics - B Com PDF Download

Introduction

We discuss here a number of interpolation methods that we commonly nd in computer graphics and geometric modeling. Interpolation means to calculate a point or several points between two given points. For a given sequence of points, this means to estimate a curve that passes through every single point.


Linear Interpolation

Linear interpolation is the simplest interpolation method. Applying linear interpolation to a sequence of points results in a polygonal line where each straight line segment connects two consecutive points of the sequence. Therefore, every segment (P; Q) is interpolated independently as follows:

P (t) = (1 t) :P + t :Q                               (1)

where t ∈ [0; 1]. By varying t from 0 to 1 we get all the intermediate points between P and Q. Note that P (t) = P for t = 0 and P (t) = Q for t = 1. For values of t < 0 and t > 1 result in extrapolation, that is, we get points on the line de ned by P , Q, but outside the segment (P; Q).


Cosine Interpolation

As shown in Fig. ??, the curve resulting from Linear interpolation has discontinuities at each point. In certain circumstances, we need a smoother interpolating function, that is a function that allows for a smooth transition between consecutive segments. The cosine interpolation carries out a transition that looks smooth, though every segment is interpolated independently .


Cubic Interpolation
...

Hermite Interpolation
...

Linear Interpolation Let us now de ne linear interpolation in more mathematical terms.
De nition 1. A linear interpolation Methods of Interpolation - Interpolation and Extrapolation, Business Mathematics and Statistics | Business Mathematics and Statistics - B Com is an affine transformation from an unit interval [0; 1] to a straight line segment in Rn , where f1 (t); : : : ; fn (t) are the function components of f along each coordinate axis.
See Lecture 1 for more details on affine transformations. By de nition, an affine transformation preserves barycentric combinations. Therefore, if t ∈ [0; 1] is de ned as a barycentric combination of the points 0; 1 ∈ R 

t = α0 :0 + α1 :1; with α0 + α1 = 1

then,

Methods of Interpolation - Interpolation and Extrapolation, Business Mathematics and Statistics | Business Mathematics and Statistics - B Com

with α0 = 1 - t and α1 = t. This is illustrated in Fig.??, where we intuitively see that the linear interpolation preserves the ratio

  Methods of Interpolation - Interpolation and Extrapolation, Business Mathematics and Statistics | Business Mathematics and Statistics - B Com


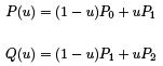
Linear Interpolation and Barycentric Coordinates

Let us rst see the relation between collinearity and barycentric coordinates. Let P0 , P , P1 be three collinear points in R3 . Then, P is the barycentric combination of P1 and P2 given as follows:

Methods of Interpolation - Interpolation and Extrapolation, Business Mathematics and Statistics | Business Mathematics and Statistics - B Com

where  α0 and  α1 are the barycentric coordinates of P with respect to P0 and P1 , that is

Methods of Interpolation - Interpolation and Extrapolation, Business Mathematics and Statistics | Business Mathematics and Statistics - B Com

where D(; ) denotes the signed Euclidean distance between two points.
We are now at a position that allows to show that the linear interpolation is given by Eq. (1). Taking into consideration the above expressions for α0 and α1 , and the fact that a linear interpolation preserves barycentric coordinates, we have:

Methods of Interpolation - Interpolation and Extrapolation, Business Mathematics and Statistics | Business Mathematics and Statistics - B Com

where

Methods of Interpolation - Interpolation and Extrapolation, Business Mathematics and Statistics | Business Mathematics and Statistics - B Com

that is,

P (t) = (1 t) :P0 + t :P1


Linear Interpolation and Geometric Ratios

By de nition, the ratio of three collinear points P0 , P , and P1 is given by

Methods of Interpolation - Interpolation and Extrapolation, Business Mathematics and Statistics | Business Mathematics and Statistics - B Com

Taking into account the expressions of the barycentric coordinates α0 , 1 given above, we have

Methods of Interpolation - Interpolation and Extrapolation, Business Mathematics and Statistics | Business Mathematics and Statistics - B Com

We know that an affine transformation f : [0; 1] → Rn preserves barycentric coordinates; as a consequence, the ratio of barycentric coordinates is also preserved. Therefore, r(P0 ; P; P1 ) remains unchanged by affine transformations, that is,

Methods of Interpolation - Interpolation and Extrapolation, Business Mathematics and Statistics | Business Mathematics and Statistics - B Com

In short, an affine transformation preserves the geometric ratio of collinear points, that is, the image of a straight line segment is a straight line segment.


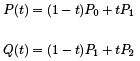
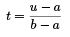
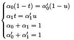
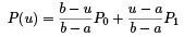
Linear Interpolation over [a; b]

The interval [a; b] can be obtained from the affine transformation of the interval [0; 1]. With t ∈ [0; 1] and u∈ [a; b], this affine trnsformation is given by

Methods of Interpolation - Interpolation and Extrapolation, Business Mathematics and Statistics | Business Mathematics and Statistics - B Com

so, replacing the expression of t into

P (t) = (1 t)P0 + tP1

we have

Methods of Interpolation - Interpolation and Extrapolation, Business Mathematics and Statistics | Business Mathematics and Statistics - B Com

Because a; u; b and 0; t; 1 have the same geometric ratio as P0 ; P; P1 , we end up showing that the linear interpolation is invariant under affine domain mappings. By affine domain mapping we mean an affine transformation from the real line to itself.


Piecewise Linear Interpolation

Piecewise linear interpolation involves not two points but a sequence of points P0 ; P1 ; : : : ; PN ∈ Rn such that a linear interpolation is applied to two consecutive points of this sequence. The result is a polyline P, called piecewise linear interpolant of all points P0 ; P1 ; : : : ; PN . This is illustrated in FIg. ??, where we determine a point in each segment for every t ∈ [0; 1].
If the points P0 ; P1 ; : : : ; PN are on a curve C , we say that the resulting polyline P is a piecewise linear interpolant of the curve C ; symbolically, we write P = P(C ).
The piecewise linear interpolation enjoys two properties, as described in the sequel.


Property L4.1 (affine Invariance )

If a curve C is sub ject to an affine transformation f , then a piecewise linear interpolant of f (C ) is an affine transformation of the original piecewise linear interpolant, that is,

P(f (C )) = f (P(C ))

 

Property L4.2 (Variance Diminishing )

Let P(C ) be a piecewise linear interpolant of the curve C , and π an arbitrary hyperplane that intersects both C and P(C ). Then, we have

Methods of Interpolation - Interpolation and Extrapolation, Business Mathematics and Statistics | Business Mathematics and Statistics - B Com

that is, the number of intersection points between the plane  and the interpolant is less or equal to the number of points resulting from the intersection between  and the curve.
This is so because, unlike a straight line segment of the interpolant, the curve segment passing through the two endpoints of such a straight line segment is not necessarily convex.


The Menelaus Theorem

Let us now have a look at an important theorem in the context of piecewise linear interpolation.
Theorem 2. Let A; B ; C ∈ R2 be three points de ning two straight lines that meet at B , and D; E ; F points in the lines de ned by (B ; C ), (A; C ), and (A; B ), respectively, each one of which is distinct from the vertices of the triangle ΔAB C . Then, the points D; E ; F are said to be collinear if and only if

Methods of Interpolation - Interpolation and Extrapolation, Business Mathematics and Statistics | Business Mathematics and Statistics - B Com

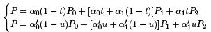
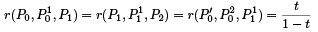
Proof Let us consider the piecewise linear interpolant of the points P0 ; P1 ; P2 . Let us apply the same linear interpolation to two points t; u ∈ [0; 1] ⊂ R in a way we get two image points P (t); P (u) in the straight line segment (P0 ; P1 ), and other two image points Q(t); Q(u) in the straight line segment (P1 ; P2 ) in R2 , as illustrated in Fig. ??.

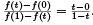
We intend to prove that

Methods of Interpolation - Interpolation and Extrapolation, Business Mathematics and Statistics | Business Mathematics and Statistics - B Com

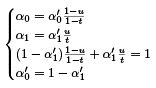
For that purpose, we have only to determine the unknown third ratio Methods of Interpolation - Interpolation and Extrapolation, Business Mathematics and Statistics | Business Mathematics and Statistics - B Com , that is, we have to determine the barycentric coordinates of P . Taking into account that P is a barycentric combination of both straight line segments (P (u); Q(u)) and (P (t); Q(t)), we have

Methods of Interpolation - Interpolation and Extrapolation, Business Mathematics and Statistics | Business Mathematics and Statistics - B Com                 (2)

Now, let us substitute the expressions of

Methods of Interpolation - Interpolation and Extrapolation, Business Mathematics and Statistics | Business Mathematics and Statistics - B Com

and

Methods of Interpolation - Interpolation and Extrapolation, Business Mathematics and Statistics | Business Mathematics and Statistics - B Com

into (7) so that we get

Methods of Interpolation - Interpolation and Extrapolation, Business Mathematics and Statistics | Business Mathematics and Statistics - B Com            (3)

By combining (7) and ((3)), we have

Methods of Interpolation - Interpolation and Extrapolation, Business Mathematics and Statistics | Business Mathematics and Statistics - B Com                             (4)

that is,

Methods of Interpolation - Interpolation and Extrapolation, Business Mathematics and Statistics | Business Mathematics and Statistics - B Com                          (5)

or, equivalently,

Methods of Interpolation - Interpolation and Extrapolation, Business Mathematics and Statistics | Business Mathematics and Statistics - B Com                                                 (6)

Substituting these barycentric coordinates in (7), we obtain

Methods of Interpolation - Interpolation and Extrapolation, Business Mathematics and Statistics | Business Mathematics and Statistics - B Com                            (7)

Finally, we can write down

Methods of Interpolation - Interpolation and Extrapolation, Business Mathematics and Statistics | Business Mathematics and Statistics - B Com

 

Repeated Linear Interpolation

Let us now see how repeated linear interpolation allows for a procedure to construct parabolas. As we will see in lectures to come, the generalization of this procedure leads us to the construction of B'ezier curves.
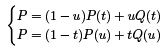
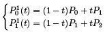
So, let P0 ; P1 ; P2 be three points in R2 . Using piecewise linear interpolation, we determine two points for a given t ∈ R, one in the straight line de ned by (P0 ; P1 ) and another de ned by (P1 ; P2 ), as follows:

Methods of Interpolation - Interpolation and Extrapolation, Business Mathematics and Statistics | Business Mathematics and Statistics - B Com                    (8)

where the exponent 1 indicates the degree of the polynomial. By applying the same linear interpolation at t ∈ R to the new segment Methods of Interpolation - Interpolation and Extrapolation, Business Mathematics and Statistics | Business Mathematics and Statistics - B Com, we have

Methods of Interpolation - Interpolation and Extrapolation, Business Mathematics and Statistics | Business Mathematics and Statistics - B Com                  (9)

Substituting the expressions of  Methods of Interpolation - Interpolation and Extrapolation, Business Mathematics and Statistics | Business Mathematics and Statistics - B Com given by (8) into (9), we obtain

Methods of Interpolation - Interpolation and Extrapolation, Business Mathematics and Statistics | Business Mathematics and Statistics - B Com             (10)

which is a degree-2 polynomial representing a parabola. This construction procedure for parabolas uses repeated linear interpolation.


Property L4.3 (Convex Hull )

The construction of a parabola using repeated linear interpolation enjoys the following the convex hull property, because

Methods of Interpolation - Interpolation and Extrapolation, Business Mathematics and Statistics | Business Mathematics and Statistics - B Com


Property L4.4 (Affine Invariance )

Taking into consideration the ratios

Methods of Interpolation - Interpolation and Extrapolation, Business Mathematics and Statistics | Business Mathematics and Statistics - B Com

we conclude that the above construction of a parabola is invariant under affine transformations because the piecewise linear interpolation is affine invariant.

The document Methods of Interpolation - Interpolation and Extrapolation, Business Mathematics and Statistics | Business Mathematics and Statistics - B Com is a part of the B Com Course Business Mathematics and Statistics.
All you need of B Com at this link: B Com
124 videos|176 docs

FAQs on Methods of Interpolation - Interpolation and Extrapolation, Business Mathematics and Statistics - Business Mathematics and Statistics - B Com

1. What is interpolation and extrapolation in business mathematics and statistics?
Ans. Interpolation is a method used to estimate values within a known set of data points, while extrapolation is the process of estimating values outside the known data set. In business mathematics and statistics, interpolation and extrapolation are often used to make predictions, analyze trends, and make informed decisions based on available data.
2. How is interpolation different from extrapolation?
Ans. The main difference between interpolation and extrapolation lies in the range of data used for estimation. Interpolation involves estimating values within the range of existing data points, while extrapolation is used to estimate values that lie outside the known data range. While interpolation provides a more accurate estimation within the data range, extrapolation carries a higher level of uncertainty due to the reliance on assumptions beyond the available data.
3. What are some common methods of interpolation?
Ans. There are several commonly used methods of interpolation in business mathematics and statistics. These include linear interpolation, polynomial interpolation (such as Newton's method or Lagrange's method), spline interpolation, and inverse distance weighting. Each method has its own advantages and limitations, and the choice of method depends on the specific data set and desired level of accuracy.
4. How can interpolation and extrapolation be useful in business decision-making?
Ans. Interpolation and extrapolation play a crucial role in business decision-making by providing insights into future trends, forecasting sales or demand, and identifying potential risks or opportunities. By analyzing historical data and using interpolation and extrapolation techniques, businesses can make informed decisions about resource allocation, pricing strategies, market expansion, and investment planning.
5. What are the limitations or risks associated with extrapolation in business mathematics and statistics?
Ans. Extrapolation carries inherent risks and limitations due to its reliance on assumptions beyond the available data range. One major limitation is the possibility of inaccurate predictions if the underlying data does not follow a consistent pattern or if external factors significantly impact the relationship between variables. Additionally, extrapolation may lead to overconfidence or false precision if the uncertainties and potential errors are not properly accounted for. It is important to exercise caution and validate extrapolated results with additional data or alternative methods to mitigate these risks.
Related Searches

Business Mathematics and Statistics | Business Mathematics and Statistics - B Com

,

shortcuts and tricks

,

Free

,

study material

,

mock tests for examination

,

Sample Paper

,

Methods of Interpolation - Interpolation and Extrapolation

,

Objective type Questions

,

past year papers

,

Viva Questions

,

Exam

,

ppt

,

Semester Notes

,

Business Mathematics and Statistics | Business Mathematics and Statistics - B Com

,

Methods of Interpolation - Interpolation and Extrapolation

,

Summary

,

MCQs

,

pdf

,

Extra Questions

,

Methods of Interpolation - Interpolation and Extrapolation

,

Business Mathematics and Statistics | Business Mathematics and Statistics - B Com

,

Previous Year Questions with Solutions

,

video lectures

,

practice quizzes

,

Important questions

;