Electrical Engineering (EE) Exam  >  Electrical Engineering (EE) Notes  >  Power Dissipation in CMOS Circuits

Power Dissipation in CMOS Circuits

Objectives

In this lecture you will learn the following

  • Motivation
  • Effect of Power Disipation
  • How to Reduce Temperature
  • Components of Power Disipation
  • Static Power Dissipation
  • Dynamic Power Dissipation
  • Methods to Reduce Power Disipation
  • Short-Circuit Power Dissipation

 

26.1 Motivation

Why is power dissipation so important? Power dissipation considerations have become important not only from reliability point of view, but they have assumed greater importance by the advent of portable battery driven devices like laptops, cell phones, PDAs etc.

 

26.2 Effects Of Power Dissipation

When power is dissipated, it invariably leads to rise in temperature of the chip. This rise in temperature affects the device both when the device is off as well as when the device is on.

When the device is off, it leads to increase in the number of intrinsic carriers, ni by the following relation:

Power Dissipation in CMOS Circuits                  (Eq 26.1)

From this relation it can be seen that as temperature increases, it leads to increase in the number of intrinsic carriers in the semiconductor. The majority carriers, contributed by the impurity atoms, are less affected by increase in temperature. Hence the device becomes more intrinsic.

As temperature increases, leakage current, which directly depends on minority carrier concentration, increases which leads to further increase in temperature. Ultimately, the device might break down, if the increase in temperature is not taken care of by time to time removal of the dissipated heat

ON device wont be affected much by minority carrier increase, but will be affected by Power Dissipation in CMOS Circuits which decrease with increase in temperature and lead to change in ID. Hence the device performance might not meet the required specifications.

Also, power dissipation is more critical in battery powered applications as the greater power dissipated, the battery life will be.

 

26.3 How To Reduce Temperature

The heat generated due to power dissipation can be taken away by the use of heat sinks. A heat sink has lower thermal resistance than the package and hence draws heat from it. For the heat to be effectively removed, the rate of heat transfer from the area of heat generation to the ambient should be greater than the rate of heat generation. This rate of heat transfer depends on the thermal resistance.

The thermal resistance, θ is given by the following relation:

Power Dissipation in CMOS Circuits                 (Eq 26.2)

where,

l = length,

 

A = Area and

σc = thermal conductivity of the heat sink

From the above relation it can be seen that large σc  implies smaller θ .

θ is also given by the relation,

Power Dissipation in CMOS Circuits              (Eq 26.3)

Using this relation, we can see that for a given power dissipation,   PD

Power Dissipation in CMOS Circuits                 (Eq 26.4)

where,

Power Dissipation in CMOS Circuits= junction temperature, and

Power Dissipation in CMOS Circuits = ambient temperature.

Heat sink materials are generally coated black to radiate more energy

 

26.4 Components Of Power Dissipation

Unlike bipolar technologies, where a majority of power dissipation is static, the bulk of power dissipation in properly designed CMOS circuits is the dynamic charging and discharging of capacitances. Thus, a majority of the low power design methodology is dedicated to reducing this predominant factor of power dissipation.

There are three main sources of power dissipation:

  • Static power dissipation (PS)
  • Dynamic power dissipation (DS)
  • Short circuit power dissipation (PSC)

Thus the total power dissipation, PD, is

Power Dissipation in CMOS Circuits               (Eq 26.5)

 

 

26.5 Static Power Dissipation

Consider the complementary CMOS gate, shown in Figure 26.51

 

Power Dissipation in CMOS Circuits

Fig 26.51: CMOS inverter model for static power dissipation evaluation

When input = '0', the associated n-device is off and the p-device is on. The output voltage is VDD or logic '1'. When the input = '1', the associated n-device is on and the p-device turns off. The output voltage is '0' volts or VSS. It can be seen that one of the transistors is always off when the gate is in either of these logic states. Since no current flows into the gate terminal, and there is no DC current path from VDD to VSS, the resultant quiescent (steady-state) current, and hence power Ps, is zero.

However, there is some small static dissipation due to reverse bias leakage between diffusion regions and the substrate. In addition, subthreshold conduction can contribute to the static dissipation. A simple model that describes the parasitic diodes for a CMOS inverter should be looked at in order to have an understanding of the leakage involved in the device. The source-drain diffusions and the n-well diffusion form parasitic diodes. In the model, a parasitic diode exists between n-well and the substrate. Since parasitic diodes are reverse biased, only their leakage current contributes to static power dissipation. The leakage current is described by the diode equation:

where,   Power Dissipation in CMOS Circuits            (Eq 26.6)

Power Dissipation in CMOS Circuits = reverse saturation current

= diode voltage

q = electronic charge

k = Boltzmann's constant

T = temperature

The static power dissipation is the product of the device leakage current and the supply voltage:

Power Dissipation in CMOS Circuits               (Eq 26.7)

 

26.6 Dynamic Power Dissipation

During switching, either from '0' to '1' or, alternatively, from '1' to '0', both n- and p-transistors are on for a short period of time. This results in a short current pulse from VDD to VSS. Current is also required to charge and discharge the output capacitive load. This latter term is usually the dominant term. The current pulse from VDD to VSS  results in a 'short-circuit'dissipation that is dependent on the input rise/fall time, the load capacitance and the gate design.

Power Dissipation in CMOS Circuits

Fig 26.61: Power dissipation due to charging/discharging of capacitor

he dynamic dissipation can be modeled by assuming that the rise and fall time of the step input is much less than the repetition period. The average dynamic power, PD , dissipated during switching for a square-wave input, Vis, having a repetition frequency of  Power Dissipation in CMOS Circuits is given by

Power Dissipation in CMOS Circuits                  (Eq 26.8)

where

in    =  n-device transient current

i= p-device transient current

For a step input and with Power Dissipation in CMOS Circuits

Power Dissipation in CMOS Circuits             (Eq 26.9)

Power Dissipation in CMOS Circuits                   (Eq 26.10)

Power Dissipation in CMOS Circuits             (Eq 26.11)

Thus for a repetitive step input the average power that is dissipated is proportional to the energy required to charge and discharge the circuit capacitance. The important factor to be noted here is that Eq 26.11 shows power to be proportional to switching frequency but independent of device parameters.

The power dissipation also depends on the switching activity, denoted by, α.

The equation can then can be written as

Power Dissipation in CMOS Circuits              (Eq 26.12).

 

26.7 Methods To Reduce Dynamic Power Dissipation

As can be seen from Eq (26.12), the power dissipated can be reduced by reducing either the clock frequency, Power Dissipation in CMOS Circuits, or the load capacitance, CL, or the rail voltage, VDD, or the switching activity parameter, α.

 

Reducing the clock frequency is the easiest thing to do, but it seriously affects the performance of the chip. Applications where power is paramount, this is approach can be used satisfactorily.

Another method to reduce the dissipated power is to lower the load capacitance, CL. But this method is more difficult than the previous approach because it involves conscientious system design, so that there are fewer wires, smaller pins, smaller fan-out, smaller devices etc.

Power dissipation can also be reduced by reducing the rail voltage, VDD. But this can be done only through device technology. Also rail voltage is a standard agreed to in many cases by the semiconductor industry, hence we do not have much control over this parameter. Also rail voltage is strongly dependent on the threshold voltage and the noise margin.

Some special techniques are also used to reduce power dissipation. The first one involves the use of pipelining to operate the internal logic at a lower clock than the i/o frequency. The other technique is to reduce switching activity, α, by optimizing algorithms, architecture, logic topology and using special encoding techniques.

 

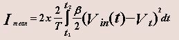
26.8 Short-Circuit Power Dissipation

The short-circuit power dissipation is given by

Power Dissipation in CMOS Circuits                    (Eq 26.13)    

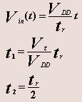
For the input waveform shown in Fig 26.81a, which depicts the short-circuit (Fig26.81b) in an unloaded inverter,

Power Dissipation in CMOS Circuits                   (Eq 26.14)

assuming that  Power Dissipation in CMOS Circuits    and that the behavior is symmetrical around t2.

Power Dissipation in CMOS Circuits

with

Power Dissipation in CMOS Circuits

Power Dissipation in CMOS Circuits

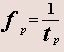
Thus for an inverter without load, assuming that Power Dissipation in CMOS Circuits

Power Dissipation in CMOS Circuits

where tp is the period of the waveform. This derivation is for an unloaded inverter. It shows that the short-circuit current is dependent on β and the input waveform rise and fall times. Slow rise times on nodes can result in significant (20%) short-circuit power dissipation for loaded inverters. Thus it is good practice to keep all edges fast if power dissipation is a concern. As the load capacitance is increased the signifance of the short-circuit dissipation is reduced by the capacitive dissipation PD.

The document Power Dissipation in CMOS Circuits is a part of Electrical Engineering (EE) category.
All you need of Electrical Engineering (EE) at this link: Electrical Engineering (EE)

FAQs on Power Dissipation in CMOS Circuits

1. What is power dissipation in CMOS circuits?
Ans. Power dissipation in CMOS circuits refers to the amount of power that is consumed or wasted in the form of heat when a CMOS circuit is in operation. It is an important factor to consider as it affects the overall efficiency and reliability of the circuit.
2. How is power dissipation calculated in CMOS circuits?
Ans. Power dissipation in CMOS circuits can be calculated using the formula: Power Dissipation = Supply Voltage (Vdd) × (Switching Power + Leakage Power). Switching power is the power consumed when transistors switch states, and leakage power is the power consumed due to leakage currents in the circuit.
3. What are the factors that contribute to power dissipation in CMOS circuits?
Ans. Several factors contribute to power dissipation in CMOS circuits. These include the supply voltage (Vdd), the frequency of operation, the capacitance of the load connected to the circuit, the switching activity of the circuit, and the leakage currents. Higher supply voltage, higher frequency, larger load capacitance, and increased switching activity generally result in higher power dissipation.
4. How can power dissipation be reduced in CMOS circuits?
Ans. Power dissipation in CMOS circuits can be reduced through various techniques. Some common approaches include reducing the supply voltage, optimizing the circuit design to minimize switching activity, utilizing power gating techniques to selectively power down unused circuit blocks, and reducing leakage currents through transistor sizing or implementing leakage reduction techniques such as reverse body bias.
5. What are the implications of high power dissipation in CMOS circuits?
Ans. High power dissipation in CMOS circuits can lead to several undesirable consequences. It can cause the circuit to overheat, potentially leading to performance degradation or even failure. High power dissipation also results in increased energy consumption, which is undesirable in terms of both environmental impact and operating costs. Additionally, excessive power dissipation can limit the battery life in portable devices and impose thermal limitations on the overall system design.
Download as PDF

Top Courses for Electrical Engineering (EE)

Related Searches
video lectures, Summary, Viva Questions, Previous Year Questions with Solutions, Exam, ppt, study material, Sample Paper, mock tests for examination, MCQs, pdf , Extra Questions, Power Dissipation in CMOS Circuits, Semester Notes, Free, shortcuts and tricks, Objective type Questions, practice quizzes, Power Dissipation in CMOS Circuits, Power Dissipation in CMOS Circuits, past year papers, Important questions;