Government Jobs Exam  >  Government Jobs Notes  >  Elimination Reactions(E1 and E2)(Part -2) - Organic Reaction Mechanisms,Organic Chemistry, CSIR-NET

Elimination Reactions(E1 and E2)(Part -2) - Organic Reaction Mechanisms,Organic Chemistry, CSIR-NET

Characteristics of an E1 Reaction

Kinetics – First order

Mechanism – Two steps

Identity of R group – More substituted halides react faster Rate: R3CX > R2CHX > RCH2X

Strength of the base – Favored by weaker bases such as H2O and ROH

Leaving group - Better leaving group leads to faster reaction rates. Just as in SN1 reactions, the rate determining step involves the C—X bond cleavage

Type of solvent -  Favored by polar protic solvents, which can stabilize the ionic intermediates

SN1 and E1 Reactions

SN1 and E1 reactions have exactly the same first step—formation of a carbocation. They differ in what happens to the carbocation.

Elimination Reactions(E1 and E2)(Part -2) - Organic Reaction Mechanisms,Organic Chemistry, CSIR-NET

Elimination Reactions(E1 and E2)(Part -2) - Organic Reaction Mechanisms,Organic Chemistry, CSIR-NET

Since in both the reactions, the rate determining steps are the same, they cannot be individually controlled.

Because E1 reactions often occur with a competing SN1 reaction, E1 reactions of alkyl halides are much less useful than E2 reactions.

SN1, SN2, E1 or E2

3° Alkyl Halides

With strong bases: E2 elimination occurs
With weak nucleophiles or bases: A mixture of products from SN1 and E1 reactions

1° Alkyl Halides
With strong nucleophiles: Substitution occurs by an SN2 mechanism
With strong sterically hindered bases: Elimination occurs by an E2 mechanism

2° Alkyl Halides
With strong bases and nucleophiles: A mixture of SN2 and E2 reaction products are formed
With strong sterically hindered bases: Elimination occurs by an E2 mechanism
With weak nucleophiles or bases: A mixture of SN1 and E1 products results

Stereochemistry of the E2 Reaction

The transition state of an E2 reaction consists of four atoms from the substrate (one hydrogen atom, two carbon atoms, and the leaving group, X) aligned in a plane. There are two ways for the C—H and C—X bonds to be coplanar.

Elimination Reactions(E1 and E2)(Part -2) - Organic Reaction Mechanisms,Organic Chemistry, CSIR-NET Elimination Reactions(E1 and E2)(Part -2) - Organic Reaction Mechanisms,Organic Chemistry, CSIR-NET

E2 elimination occurs most often in the anti periplanar geometry. This arrangement allows the molecule to react in the lower energy staggered conformation, and allows the incoming base and leaving group to be further away from each other.

The anti periplanar geometry also allows direct interaction between the bonding electrons of C—H bond and the anti-bonding orbital of the C—X bond.

E2 Reactions in 6-Membered Rings

The stereochemical requirement of an anti periplanar geometry in an E2 reaction has important consequences for compounds containing six-membered rings.

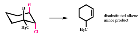
Chlorocyclohexane

Elimination Reactions(E1 and E2)(Part -2) - Organic Reaction Mechanisms,Organic Chemistry, CSIR-NET Elimination Reactions(E1 and E2)(Part -2) - Organic Reaction Mechanisms,Organic Chemistry, CSIR-NET

For E2 elimination, the C—Cl bond must be anti periplanar to the C—H bond on a β carbon, and this occurs only when the H and Cl atoms are both in the axial position. The requirement for trans-diaxial geometry means that elimination must occur from the less stable conformer. 

Elimination Reactions(E1 and E2)(Part -2) - Organic Reaction Mechanisms,Organic Chemistry, CSIR-NET

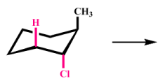
Dehydrohalogenation of c/s-1-Chloro-2-methylcyclohexane

Elimination Reactions(E1 and E2)(Part -2) - Organic Reaction Mechanisms,Organic Chemistry, CSIR-NET Elimination Reactions(E1 and E2)(Part -2) - Organic Reaction Mechanisms,Organic Chemistry, CSIR-NET

The conformer with Cl in an axial orientation reacts to give two alkenes. The alkene that is more substituted is the major product.

Elimination Reactions(E1 and E2)(Part -2) - Organic Reaction Mechanisms,Organic Chemistry, CSIR-NET

Elimination Reactions(E1 and E2)(Part -2) - Organic Reaction Mechanisms,Organic Chemistry, CSIR-NET

Dehydrohalogenation of fmns-1-Chloro-2-methylcyclohexane

Elimination Reactions(E1 and E2)(Part -2) - Organic Reaction Mechanisms,Organic Chemistry, CSIR-NET Elimination Reactions(E1 and E2)(Part -2) - Organic Reaction Mechanisms,Organic Chemistry, CSIR-NET

The conformer with Cl in an axial orientation has just one β-H atom. Only one product is formed, which is not what is predicted by the Zaitsev rule.

Elimination Reactions(E1 and E2)(Part -2) - Organic Reaction Mechanisms,Organic Chemistry, CSIR-NET Elimination Reactions(E1 and E2)(Part -2) - Organic Reaction Mechanisms,Organic Chemistry, CSIR-NET

In conclusion, with substituted cyclohexanes, E2 elimination should occur with a trans diaxial arrangement of the leaving group and the β-H, and as a result of this requirement, the more substituted alkene is not necessarily the major product.

Stereospecificitv in E2 reactions

Diastereomeric starting compounds yield diastereomeric products after an E2 reaction

Elimination Reactions(E1 and E2)(Part -2) - Organic Reaction Mechanisms,Organic Chemistry, CSIR-NET Elimination Reactions(E1 and E2)(Part -2) - Organic Reaction Mechanisms,Organic Chemistry, CSIR-NET Elimination Reactions(E1 and E2)(Part -2) - Organic Reaction Mechanisms,Organic Chemistry, CSIR-NET Elimination Reactions(E1 and E2)(Part -2) - Organic Reaction Mechanisms,Organic Chemistry, CSIR-NET

E1cB Reaction

An elimination reaction that happens when a compound bearing a poor leaving group and an acidic hydrogen is treated with a base.

Elimination Reactions(E1 and E2)(Part -2) - Organic Reaction Mechanisms,Organic Chemistry, CSIR-NET Elimination Reactions(E1 and E2)(Part -2) - Organic Reaction Mechanisms,Organic Chemistry, CSIR-NET

E1cB stands for Elimination Unimolecular conjugate Base. The reaction is unimolecular from the conjugate base of the starting compound, which in turn is formed by deprotonation of the starting compound by a suitable base.

The electron withdrawing group (EWG) can be a carbonyl group (keto, aldehyde, ester), a nitro group, an electron deficient aromatic group etc. Dehydration of aldol is the most common E1cB reaction

Elimination Reactions(E1 and E2)(Part -2) - Organic Reaction Mechanisms,Organic Chemistry, CSIR-NET Elimination Reactions(E1 and E2)(Part -2) - Organic Reaction Mechanisms,Organic Chemistry, CSIR-NET

The document Elimination Reactions(E1 and E2)(Part -2) - Organic Reaction Mechanisms,Organic Chemistry, CSIR-NET is a part of Government Jobs category.
All you need of Government Jobs at this link: Government Jobs

FAQs on Elimination Reactions(E1 and E2)(Part -2) - Organic Reaction Mechanisms,Organic Chemistry, CSIR-NET

1. What are elimination reactions?
Ans. Elimination reactions are chemical reactions in organic chemistry where a molecule loses atoms or groups of atoms to form a double bond or a new π bond. These reactions are categorized into two types: E1 and E2, which differ in their reaction mechanisms and conditions.
2. What is an E1 reaction?
Ans. An E1 reaction is a two-step elimination reaction in organic chemistry. It involves the formation of a carbocation intermediate followed by the elimination of a leaving group. The rate-determining step of an E1 reaction is the formation of the carbocation, and the reaction proceeds through a unimolecular pathway.
3. What is an E2 reaction?
Ans. An E2 reaction is a one-step elimination reaction in organic chemistry. It involves the simultaneous removal of a leaving group and the abstraction of a proton from an adjacent carbon atom. The reaction occurs in a concerted manner, and the rate of the reaction depends on the concentration of both the substrate and the base.
4. How do E1 and E2 reactions differ?
Ans. E1 and E2 reactions differ in their reaction mechanisms and the conditions required for their occurrence. E1 reactions proceed via a carbocation intermediate and are favored by weak bases and polar solvents. On the other hand, E2 reactions occur through a concerted mechanism and require a strong base and aprotic solvents.
5. What are the applications of elimination reactions in organic chemistry?
Ans. Elimination reactions are widely used in organic chemistry for various purposes. They are utilized in the synthesis of alkenes, as well as in the preparation of complex organic compounds. Elimination reactions also play a crucial role in the formation of biologically active compounds and pharmaceuticals, making them important in drug discovery and development.
Download as PDF

Top Courses for Government Jobs

Related Searches
CSIR-NET, Elimination Reactions(E1 and E2)(Part -2) - Organic Reaction Mechanisms, shortcuts and tricks, Extra Questions, MCQs, CSIR-NET, Exam, Organic Chemistry, Summary, Elimination Reactions(E1 and E2)(Part -2) - Organic Reaction Mechanisms, practice quizzes, mock tests for examination, Objective type Questions, study material, Previous Year Questions with Solutions, video lectures, ppt, pdf , Organic Chemistry, CSIR-NET, Free, Organic Chemistry, Semester Notes, Important questions, past year papers, Elimination Reactions(E1 and E2)(Part -2) - Organic Reaction Mechanisms, Viva Questions, Sample Paper;