Government Jobs Exam  >  Government Jobs Notes  >  Synthesis and Reactivity of Common Heterocyclic Compounds (Part -3) - Heterocyclic Chemistry

Synthesis and Reactivity of Common Heterocyclic Compounds (Part -3) - Heterocyclic Chemistry

Reactions of Heterocycles

Reactions of Pyrrole, Furan and Thiophene

(i) Electrophilic Substitution Reactions: Pyrrole, furan and thiophene undergo electrophilic substitution reactions like nitration, sulphonation, halogenation etc. characteristic of aromatic rings. It has already been described in Sec. 1.1 that carbons in 5-membered heterocyclic rings have higher electron density compared to benzene and hence undergo electrophilic substitution more readily than benzene (eq. 28). The electrophilic substitution takes place preferentially at 2-position (C-2).

Synthesis and Reactivity of Common Heterocyclic Compounds (Part -3) - Heterocyclic Chemistry ...(28)

The attack of an electrophile on pyrrole, for example, will lead to formation of 2- and 3-substitution products by way of carbocations XXXI and XXXII, respectively (Fig. 12). The substitution occurs preferably at C-2 position because the

Synthesis and Reactivity of Common Heterocyclic Compounds (Part -3) - Heterocyclic Chemistry

intermediate obtained by attack at this position is more stable than the intermediate obtained by attack at C-3. The positive charge in intermediate XXXI is more delocalized than intermediate XXXII and hence is more stable and preferred intermediate.

The electrophilic substitution at C-2 in furan and thiophene can also be accounted in the same manner. Furan is not as reactive as pyrrole in electrophilic substitution reactions because the oxygen in furan is more electronegative than nitrogen in pyrrole and therefore does not enhance the electron density of carbons as much as pyrrole. Thiophene is less reactive than furan towards electrophilic substitution because the p-electrons of sulphur are in 3p orbital which overlaps less effectively than the 2p orbital of nitrogen or oxygen with 2p orbitals of carbon. The relative reactivities towards electrophilic substitution follows the order:

Synthesis and Reactivity of Common Heterocyclic Compounds (Part -3) - Heterocyclic Chemistry

Some typical examples of electrophilic substitution of pyrrole, furan and thiophene are given below (Fig. 12).

Synthesis and Reactivity of Common Heterocyclic Compounds (Part -3) - Heterocyclic Chemistry

Synthesis and Reactivity of Common Heterocyclic Compounds (Part -3) - Heterocyclic Chemistry

Synthesis and Reactivity of Common Heterocyclic Compounds (Part -3) - Heterocyclic Chemistry

Fig. 12

Both the Mannich reaction (reaction with Me2NH, H2CO and H+) and azo coupling fail with furan, showing its lower reactivity compared with pyrrole.

(ii) Reduction: Pyrrole, furan and thiophene can be reduced to pyrrolidine (eq. 29), tetrahydrofuran (eq. 30) and tetrahydrothiophene (eq. 31), respectively by catalytic hydrogenation.

Synthesis and Reactivity of Common Heterocyclic Compounds (Part -3) - Heterocyclic Chemistry ...(29)

Synthesis and Reactivity of Common Heterocyclic Compounds (Part -3) - Heterocyclic Chemistry ...(30)

Synthesis and Reactivity of Common Heterocyclic Compounds (Part -3) - Heterocyclic Chemistry ...(31)

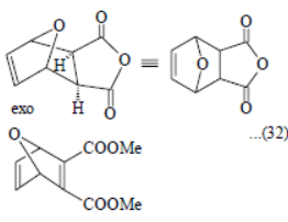
(iii) Diels-Alder Reaction: Furan is least aromatic of the three heterocycles and therefore behaves as a diene in a number of Diels-Alder reactions (eq. 32).

Synthesis and Reactivity of Common Heterocyclic Compounds (Part -3) - Heterocyclic Chemistry Synthesis and Reactivity of Common Heterocyclic Compounds (Part -3) - Heterocyclic Chemistry

Pyrrole and thiophene do not undergo Diels-Alder reactions. However, N-carbomethoxy pyrrole reacts with highly reactive dienophiles e.g., dimethylacetylene dicarboxylate (DMAD) to give Diels-Alder product (eq. 33). The electron

Synthesis and Reactivity of Common Heterocyclic Compounds (Part -3) - Heterocyclic Chemistry ...(33)

withdrawing group reduces the availability of nitrogen lone pair for the ring and so it behaves more like a diene. Pyrrole and N-alkyl pyrrole undergo Michael-type addition reactions (eq. 34).

Synthesis and Reactivity of Common Heterocyclic Compounds (Part -3) - Heterocyclic Chemistry Synthesis and Reactivity of Common Heterocyclic Compounds (Part -3) - Heterocyclic Chemistry

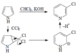
(iv) Ring Expansion of Pyrrole: Pyrrole adds on dichlorocarbene generated in situ from chloroform and base to give a bicyclic compound which undergoes ring expansion to give 3-chloropyridine (Scheme 4).

Synthesis and Reactivity of Common Heterocyclic Compounds (Part -3) - Heterocyclic Chemistry

Scheme 4

Reactions of Pyridine

(i) Electrophilic Substitution Reactions: Pyridine is a six-membered aromatic heterocycle and undergoes electrophilic substitution (eq. 35) e.g., nitration, sulfonation, halogenation, formylation etc. but the ring 

Synthesis and Reactivity of Common Heterocyclic Compounds (Part -3) - Heterocyclic Chemistry Synthesis and Reactivity of Common Heterocyclic Compounds (Part -3) - Heterocyclic Chemistry

is highly deactivated (about million times) compared to benzene because the more electronegative nitrogen pulls the electrons towards itself, thus reducing the electron density on the ring carbons.

The electrophilic substitution takes place at C-3 in pyridine. This orientation can be explained by comparing the relative stabilities of the intermediates arising from attack at C-3, C-4 or C-2 (Fig. 13). The electrophilic attack at C-3 gives a carbocation which is hybrid of three resonance structures in which the positive charge is on the carbon atoms only.

Synthesis and Reactivity of Common Heterocyclic Compounds (Part -3) - Heterocyclic Chemistry

Synthesis and Reactivity of Common Heterocyclic Compounds (Part -3) - Heterocyclic Chemistry

Synthesis and Reactivity of Common Heterocyclic Compounds (Part -3) - Heterocyclic Chemistry

Fig. 13

The electrophilic attacks at C-4 or C-2 also give an ion which is hybrid of three resonances structures but one of the resonance structures in each contains positively charged nitrogen which is a sextet and so unstable and hence does not contribute significantly to the resonance hybrid. Thus the resonance hybrid resulting from electrophilic attack at C-3 is more stable and the preferred site of electrophilic attack.

Some typical examples of electrophilic substitutions in pyridine are given below (Fig. 14). All these reactions involve substitution of a pyridinium cation. Friedel-crafts alkylation and acylation does not proceed with pyridine. Alkyl halides on heating with pyridine give pyridinium salts. Nitration also gives poor yields.

Synthesis and Reactivity of Common Heterocyclic Compounds (Part -3) - Heterocyclic Chemistry

(ii) Nucleophilic Substitution Reactions: Pyridine undergoes nucleophilic substitution reactions much more readily than benzene because the ring has lower electron density than benzene due to electron withdrawal by nitrogen which is also responsible for its lower reactivity towards electrophiles. The high reactivity of pyridine towards nucleophilic substitution can cause displacement of even powerful hydride (H–) ion, e.g., the reaction of pyridine with sodamide gives 2-aminopyridine and is known as Chichibabin reaction (eq. 36).

Synthesis and Reactivity of Common Heterocyclic Compounds (Part -3) - Heterocyclic Chemistry ...(36)

The nucleophilic substitution in pyridine takes place at C-2 and C-4 positions compared to electrophilic substitution at C-3. Attack of nucleophile at C-2, C-3 and C-4 gives different resonating structures (Scheme 5).

Synthesis and Reactivity of Common Heterocyclic Compounds (Part -3) - Heterocyclic Chemistry

It is obvious from the above structures that nucleophilic attack at C-2 and C-4 gives hybrid of three resonance structures in which one of the contributory structures contains negative charge on nitrogen which is more electronegative atom and therefore contributes significantly towards its stabilization unlike nucleophilic attack at C-3 in which the negative charge is present on only carbon atoms. Since the intermediate resulting from nucleophilic attack at C-2 and C-4 is more stable, nucleophilic substitution at these positions is preferred. Other nucleophilic substitution reactions of pyridine are given below (eqs. 37-38). If the leaving group at C-2 and C-4 are different, the incoming nucleophile will preferentially substitute for the weaker base (the better leaving group) (eqs. 39-40).

Synthesis and Reactivity of Common Heterocyclic Compounds (Part -3) - Heterocyclic Chemistry ...(37)

Synthesis and Reactivity of Common Heterocyclic Compounds (Part -3) - Heterocyclic Chemistry ...(38)

Synthesis and Reactivity of Common Heterocyclic Compounds (Part -3) - Heterocyclic Chemistry ...(39)

Synthesis and Reactivity of Common Heterocyclic Compounds (Part -3) - Heterocyclic Chemistry ...(40)

The document Synthesis and Reactivity of Common Heterocyclic Compounds (Part -3) - Heterocyclic Chemistry is a part of Government Jobs category.
All you need of Government Jobs at this link: Government Jobs

FAQs on Synthesis and Reactivity of Common Heterocyclic Compounds (Part -3) - Heterocyclic Chemistry

1. What is heterocyclic chemistry?
Ans. Heterocyclic chemistry is a branch of organic chemistry that deals with the study of compounds containing at least one heteroatom (an atom other than carbon) within a ring structure. These heteroatoms can include elements such as nitrogen, oxygen, sulfur, and others. Heterocyclic compounds are widely found in nature and play a crucial role in many biological processes.
2. What are some common examples of heterocyclic compounds?
Ans. There are several common examples of heterocyclic compounds, including pyridine, furan, thiophene, pyrrole, indole, and pyrazole. These compounds have various applications in pharmaceuticals, agrochemicals, dyes, and materials chemistry.
3. How are heterocyclic compounds synthesized?
Ans. Heterocyclic compounds can be synthesized through various methods, including cyclization reactions, condensation reactions, and substitution reactions. Cyclization reactions involve the formation of a ring structure by closing a chain containing a heteroatom. Condensation reactions involve the combination of two or more precursor molecules to form a heterocyclic compound. Substitution reactions involve the replacement of one atom or group in a molecule with a heteroatom or heterocyclic ring.
4. What is the reactivity of heterocyclic compounds?
Ans. The reactivity of heterocyclic compounds varies depending on the nature of the heteroatom and the substituents attached to the ring. Heterocyclic compounds can undergo various reactions such as oxidation, reduction, alkylation, acylation, and nucleophilic substitution. The reactivity can be influenced by factors such as ring strain, electron density, and steric hindrance.
5. What are the applications of heterocyclic compounds?
Ans. Heterocyclic compounds have a wide range of applications in various fields. They are extensively used in drug discovery and development, as many pharmaceuticals contain heterocyclic rings. Heterocyclic compounds also find applications in agrochemicals, dyes, materials chemistry, and in the synthesis of natural products. Their unique properties make them important building blocks in organic synthesis.
Download as PDF

Top Courses for Government Jobs

Related Searches
Synthesis and Reactivity of Common Heterocyclic Compounds (Part -3) - Heterocyclic Chemistry, MCQs, pdf , Objective type Questions, past year papers, study material, Synthesis and Reactivity of Common Heterocyclic Compounds (Part -3) - Heterocyclic Chemistry, Sample Paper, Synthesis and Reactivity of Common Heterocyclic Compounds (Part -3) - Heterocyclic Chemistry, Exam, Semester Notes, Viva Questions, practice quizzes, Previous Year Questions with Solutions, mock tests for examination, video lectures, ppt, Extra Questions, Summary, shortcuts and tricks, Free, Important questions;