JEE Exam  >  JEE Notes  >  WB Sample Papers, Section Wise & Full Mock Tests 2026  >  WBJEE Subjective Mathematics Sample Paper I

JEE WBJEE Subjective Sample Paper I 2026 PDF Download

Question: 1. The harmonic mean of two numbers is 4. Their arithemetic mean A and the geometric mean G satisfy the relation 2A + G2 = 27. find the numbers.
Ans: 
 (3, 6)
Solution:  Let the number be a, b
WBJEE Subjective Mathematics Sample Paper I
WBJEE Subjective Mathematics Sample Paper I



Question: 2  If the area of a rectangle is 64 sq. unit, find the minimum value possible for its perimeter.
Ans:
32
Solution: Let the dimesions be a, b
Area = ab
Paimeter = 2(a + b)
WBJEE Subjective Mathematics Sample Paper I
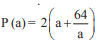
Perimeter as function of a
WBJEE Subjective Mathematics Sample Paper I
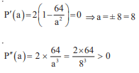
for maxima or minimum
WBJEE Subjective Mathematics Sample Paper I
P (8) is minimum
Minimum P (8) = 2 ( 8 + 8) = 32


Question: 3. Find the image of the point (–8, 12) with respect to the line 4x + 7y + 13 = 0
Ans: 
(–16, –2)
Solution:   
WBJEE Subjective Mathematics Sample Paper I
WBJEE Subjective Mathematics Sample Paper I
WBJEE Subjective Mathematics Sample Paper I

⇒ 4k – 48 = 75 + 56
4k – 7h = 104 ........(ii)
Solving (i) & (ii)
Equation (i) × 7 + Equation (ii) × 4
WBJEE Subjective Mathematics Sample Paper I
A′ (– 16, –2) is the image of (–8, 12)


Question:  4. How many triangles can be formed by joining 6 points lying on a circle ?
Ans: 20
Solution: 
Number of triangle
  WBJEE Subjective Mathematics Sample Paper I


Question:  5. If r2 = x2 + y2 + z2 , then prove that
WBJEE Subjective Mathematics Sample Paper I
Ans:    WBJEE Subjective Mathematics Sample Paper I
WBJEE Subjective Mathematics Sample Paper I

Question:  6. Determine the sum of imaginary roots of the equation
WBJEE Subjective Mathematics Sample Paper I
Ans:  WBJEE Subjective Mathematics Sample Paper I
Solution:  Put 2x2 + x = y
⇒ (4 – 1) (24 – 3) = 6, on solving
WBJEE Subjective Mathematics Sample Paper I

Question:  7. If cos A + cos B + cos C = 0, prove that  cos 3A + cos 3B + cos 3C = 12 cos A cos B cos C
Ans: 

WBJEE Subjective Mathematics Sample Paper I
WBJEE Subjective Mathematics Sample Paper I
= 12 cos A . cos B. cos C

Question: 8.  Let IR be the set of real numbers and f : IR → IR  be such that for all x, y ∈IR, |f(x) – f(y)| ≤ | x – y|3 . Prove that f is a constant function.
Ans:  
WBJEE Subjective Mathematics Sample Paper I
= |f′ (x) | ≤ | 0 | ⇒ |f′ (x)| = 0
⇒ f (x) = constant


Question: 9. Find the general solution of (x + logy) dy + y dx = 0
Ans. xy + y lny – y = 0
Solution:  x dy + y dx + log y dy = 0
WBJEE Subjective Mathematics Sample Paper I
xy + y lny – y = 0
 

Question: 10.  Prove that  WBJEE Subjective Mathematics Sample Paper I
Ans.  WBJEE Subjective Mathematics Sample Paper I
WBJEE Subjective Mathematics Sample Paper I

The document JEE WBJEE Subjective Sample Paper I 2026 is a part of the JEE Course WBJEE Sample Papers, Section Wise & Full Mock Tests 2026.
All you need of JEE at this link: JEE
3 videos|21 docs|54 tests

FAQs on JEE WBJEE Subjective Sample Paper I 2026

1. What is the WBJEE exam and how is it related to mathematics?
Ans. The WBJEE (West Bengal Joint Entrance Examination) is a state-level entrance exam conducted for admission to various undergraduate courses in engineering, pharmacy, and architecture in colleges and universities in West Bengal, India. Mathematics is one of the subjects included in the WBJEE syllabus, and it carries significant weightage in the exam. It tests the mathematical aptitude and problem-solving skills of the candidates.
2. How can I prepare for the mathematics section of the WBJEE exam effectively?
Ans. To prepare for the mathematics section of the WBJEE exam effectively, you can follow these tips: - Understand the syllabus and exam pattern thoroughly. - Practice regularly by solving previous years' question papers and sample papers. - Focus on understanding the concepts and fundamentals rather than rote learning. - Make a study plan and allocate dedicated time for mathematics preparation. - Seek guidance from teachers, mentors, or coaching institutes to clarify doubts and get additional study materials. - Take online mock tests to improve time management and identify weak areas for further improvement.
3. Are calculators allowed in the WBJEE mathematics exam?
Ans. No, calculators are not allowed in the WBJEE mathematics exam. The exam is designed to assess the problem-solving abilities of candidates without the use of calculators. Therefore, it is essential to practice mental calculations and develop strong mathematical skills to perform well in the exam.
4. What are some important topics to focus on while preparing for the mathematics section of the WBJEE exam?
Ans. While preparing for the mathematics section of the WBJEE exam, it is important to focus on the following topics: - Algebra: Quadratic equations, matrices, determinants, permutations and combinations. - Calculus: Differential calculus, integral calculus, and differential equations. - Coordinate geometry: Straight lines, circles, and conic sections. - Trigonometry: Trigonometric ratios, identities, and equations. - Probability and statistics: Probability, mean, median, mode, standard deviation. - Vectors and 3D geometry: Vectors, lines, and planes in three-dimensional space.
5. How can I improve my problem-solving skills for the mathematics section of the WBJEE exam?
Ans. To improve problem-solving skills for the mathematics section of the WBJEE exam, you can follow these strategies: - Understand the concepts and fundamentals thoroughly. - Practice solving a variety of mathematical problems from different sources. - Analyze the solutions of solved problems to understand the logic and approach. - Break down complex problems into smaller, manageable parts. - Develop a systematic approach to solve problems by using logical reasoning. - Work on time management skills by solving problems within the stipulated time limit.
Related Searches
Objective type Questions, mock tests for examination, video lectures, Viva Questions, ppt, practice quizzes, Summary, study material, shortcuts and tricks, JEE WBJEE Subjective Sample Paper I 2026, pdf , Previous Year Questions with Solutions, Exam, Free, MCQs, Important questions, Extra Questions, Semester Notes, JEE WBJEE Subjective Sample Paper I 2026, past year papers, JEE WBJEE Subjective Sample Paper I 2026, Sample Paper;