Question 1:
(a) What remains constant in uniform circular motion ?
(b) What changes continuously in uniform circular motion ? '
Solution :
(a)Speed
(b)Direction of motion
Question 2:
State whether the following statement is true or false :
Earth moves round the sun with uniform velocity.
Solution :
No, earth moves round the sun with uniform speed, but its velocity changes continuously.
Question 3:
A body goes round the sun with constant speed in a circular orbit. Is the motion uniform or accelerated ?
Solution :
The motion is accelerated.
Question 4:
What conclusion can you draw about the velocity of a body from the displacement-time graph shown below
Solution :
It represents uniform velocity.
Question 5:
Name the quantity which is measured by the area occupied under the velocity-time graph.
Solution :
Distance travelled by the moving body .
Question 6:
What does the slope of a speed-time graph indicate ?
Solution :
The slope of a speed-time graph indicates acceleration.
Question 7:
What does the slope of a distance-time graph indicate ?
Solution :
The slope of a distance-time graph indicates speed.
Question 8:
Give one example of a motion where an object does not change its speed but its direction of motion changes continuously.
Solution :
Motion of moon around the earth.
Question 9:
Name the type of motion in which a body has a constant speed but not constant velocity.
Solution :
Uniform circular motion.
Question 10:
What can you say about the motion of a body if its speed-time graph is a straight line parallel to the time axis ?
Solution :
The Speed of the body is constant or uniform.
Question 11:
What conclusion can you draw about the speed of a body from the following distance-time graph ?

Solution :
The body has uniform speed.
Question 12:
What can you say about the motion of a body whose distance-time graph is a straight line parallel to the time axis ?
Solution :
The body is not moving. It is stationary.
Question 13:
What conclusion can you draw about the acceleration of a body from the speed-time graph shown below ?

Solution :
It represents non-uniform acceleration.
Question 14:
A satellite goes round the earth in a circular orbit with constant speed. Is the motion uniform or accelerated ?
Solution :
It is accelerated motion as the velocity is changing continuously.
Question 15:
What type of motion is represented by the tip of the 'seconds' hand' of a watch ? Is it uniform or accelerated ?
Solution :
The tip of the 'seconds' hand' of a watch represents uniform circular motion. It is an accelerated motion.
Question 16:
Fill in the following blanks with suitable words :
(a) If a body moves with uniform velocity, its acceleration is................................
(b) The slope of a distance-time graph indicates....................... of a moving body.
(c) The slope of a speed-time graph of a moving body gives its.............................
(d) In a speed-time graph, the area enclosed by the speed-time curve and the time axis gives the................. by the body.
(e) It is possible for something to accelerate but not change its speed if it moves in a.............................
Solution :
(a) zero
(b) speed
(c) acceleration
(d) distance travelled
(e) circular path
Question 17:
Is the uniform circular motion accelerated ? Give reasons for your answer
Solution :
Yes, uniform circular motion is accelerated because the velocity changes due to continuous change in the direction of motion.
Question 18:
Write the formula to calculate the speed of a body moving along a circular path. Give the meaning of each symbol which occurs in it.
Solution :
The speed of a body moving along a circular path is given by the formula:

where, v= speed
π=3.14 ( it is a constant)
r = radius of circular path
t= time taken for one round of circular path
Question 19:
Explain why, the motion of a body which is moving with constant speed in a circular path is said to be accelerated.
Solution :
The motion of a body which is moving with constant speed in a circular path is said to be accelerated because its velocity changes continuously due to the continuous change in the direction of motion.
Question 20:
What is the difference between uniform linear motion and uniform circular motion ? Explain with examples.
Solution :
Uniform linear motion is uniform motion along a linear path or a straight line. T he direction of motion is fixed. So, it is not accelerated. For e.g.: a car running with uniform speed of 10km/hr on a straight road.
Uniform circular motion is uniform motion along a circular path. T he direction of motion changes continuously. So, it is accelerated. For e.g.: motion of earth around the sun.
Question 21:
State an important characteristic of uniform circular motion. Name the force which brings about uniform circular motion.
Solution :
An important characteristic of uniform circular motion is that the direction of motion in it changes continuously with time, so it is accelerated.
Centripetal force brings about uniform circular motion.
Question 22:
Find the initial velocity of a car which is stopped in 10 seconds by applying brakes. The retardation due to brakes is 2.5 m/s2.
Solution :
Initial velocity, u=?
Final velocity, v=0m/s (car is stopped)
Retardation, a=-2.5 m/s2
Time, t=10s
v=u + at
0=u +(-2.5)x 10
u=25m/s
Question 23:
Describe the motion of a body which is accelerating at a constant rate of 10 m s-2. If the body starts from rest, how much distance will it cover in 2 s ?
Solution :
The velocity of this body is increasing at a rate of '10 metres per second' every second.
Initial velocity, u=0m/s
Time, t=2s
Acceleration, a=10m/s2

Question 24:
A motorcycle moving with a speed of 5 m/s is subjected to an acceleration of 0.2 m/s2. Calculate the speed of the motorcycle after 10 seconds, and the distance travelled in this time.
Solution :
Initial velocity, u=5m/s
Final velocity, v=?
Acceleration, a=0.2m/s2
Time, t=10 sec
Using , v=u + at
v=5 + 0.2 x 10
v=5 + 2 =7 m/s
Now distance travelled in time is calculated;
Question 25:
A bus running at a speed of 18 km/h is stopped in 2.5 seconds by applying brakes. Calculate the retardation produced.
Solution :
Initial velocity, u=18km/h

Final velocity, v=0m/s
Time, t=2.5 sec
Acceleration, a=?
Using , v= u + at

Question 26:
A train starting from rest moves with a uniform acceleration of 0.2 m/s2 for 5 minutes. Calculate the speed acquired and the distance travelled in this time.
Solution :
Initial velocity, u=0m/s
Final velocity, v=?
Acceleration, a=0.2 m/s2
Time, t=5min= 5 x60=300 sec
Using, v = u + at
v =0 + 0.2 x 300=60m/s
And the distance travelled is

Question 27:
Name the two quantities, the slope of whose graph gives :
(a) speed, and
(b) acceleration
Solution :
(a) Distance and Time
(b) Speed (or velocity) and Time
Question 28:
A cheetah starts from, rest, and accelerates at 2 m/s2 for 10 seconds. Calculate :
(a) the final velocity
(b) the distance travelled.
Solution :
Initial velocity,u=0 m/s
Final velocity, v=?
Acceleration, a=2 m/s2
Time, t=10s
(a)Using,
v = u + at
v=0 + 2 x 10= 20 m/s
(b)Distance travelled is:

Question 29:
A train travelling at 20 m s-1 accelerates at 0.5 m s-2 for 30 s. How far will it travel in this time ?
Solution :
Initial velocity, u=20m/s
Time, t=30 s
Acceleration,
a=0.5m/s2
Distance travelled is:

Question 30:
A cyclist is travelling at 15 m s-1. She applies brakes so that she does not collide with a wall 18 m away. What deceleration must she have ?
Solution :
Initial velocity, u=15m/s
Final velocity, v=0m/s
Distance, s=18m
Acceleration, a=?

So, deceleration is 6.25 m/s2.
Question 31:
Draw a velocity-time graph to show the following motion :
A car accelerates uniformly from rest for 5 s ; then it travels at a steady' velocity for 5 s.
Solution :

Question 32:
The velocity-time graph for part of a train journey is a horizontal straight line. What does this tell you about
(a) the train's velocity, and (b) about its acceleration ?
Solution :
(a) The train has a uniform velocity.
(b) There is no acceleration.
Question 33:
(a) Explain the meaning of the following equation of motion :v = u + at, where symbols have their usual meanings.
(b) A body starting from rest travels with uniform acceleration. If it travels 100 m in 5 s, what is the value of acceleration ?
Solution :
(a) v=u + at is the first equation of motion. It gives the velocity acquired by a body in time t when the body has initial velocity u and uniform acceleration a.
(b)Initial velocity, u=0m/s
Time, t=5 s
Distance, s=100m
Acceleration, a=?

Question 34:
(a) Derive the formula : v = u + at, where the symbols have usual meanings.
(b) A bus was moving with a speed of 54 km/h. On applying brakes it stopped in 8 seconds. Calculate the acceleration.
Solution :
(a) Consider a body having initial velocity 'u'. Suppose it is subjected to a uniform acceleration 'a' so that after time't' its final velocity becomes 'v'. Now, from the definition of acceleration we know that:
(b) Initial velocity, u=54km/h= 15m/s
Final velocity, v=0m/s
Time, t=8s
Acceleration, a=?
where v= final velocity of the body
u = initial velocity of the body
a = acceleration
and t= time taken
(b) initial velocity , u = 54 km/h = 15m/s
Final velocity, v = 0 m/s
Time, t = 8s
Acceleration a= ?
Question 35:
(a) Derive the formula : , where the symbols have usual meanings.
(b) A train starting from stationary position and moving with uniform acceleration attains a speed of 36 km per hour in 10 minutes. Find its acceleration.
Solution :
(a) Suppose a body has an initial velocity 'u' and a uniform acceleration' a' for time 't' so that its final velocity becomes 'v'. Let the distance travelled by the body in this time be 's'. The distance travelled by a moving body in time 't' can be found out by considering its average velocity. Since the initial velocity of the body is 'u' and its final velocity is 'v', the average velocity is given by:
(b) Initial velocity, u=0m/s
Final velocity, v=36km/h=10m/s
Time, t=10min =10 x 60=600 sec
From the first equation of motion, we have v= u+at
Put the value of v in equation (1), we get:
Where s = distance travelled by the body in time t
u = initial velocity of the body
and a = acceleration
Question 36:
(a) Write the three equations of uniformly accelerated motion. Give the meaning of each symbol which occurs in them.
(b) A car acquires a velocity of 72 km per hour in 10 seconds starting from rest. Find
(i) the acceleration,
(ii) the average velocity, and
(iii) the distance travelled in this time.
Solution :
(b) Initial Velocity , u = 0 m/s
Final velocity, v = 72km/h = 20m/s
(iii) Distance travelled = Average velocity x time
= 10 m/s x 10 sec = 100m
Question 37:
(a) What is meant by uniform circular motion ? Give two examples of uniform circular motion.
(b) The tip of seconds' hand of a dock takes 60 seconds to move once on the circular dial of the clock. If the radius of the dial of the clock be 10.5 cm, calculate the speed of the tip of the seconds' hand of the clock. (Given
Solution :
(a) When a body moves in a circular path with uniform speed (constant speed), its motion is called uniform circular motion. For e.g.
(i) Artificial satellites move in uniform circular motion around the earth.
(ii) Motion of a cyclist on a circular track.
(b) The speed of a body moving along a circular path is given by the formula:
Given, t=60 sec
Radius, r=10.5cm=0.105 m
Question 38:
Show by means of graphical method that: v = u + at, where the symbols have their usual meanings.
Solution :
Consider the velocity-time graph of a body shown in figure.
The body has an initial velocity u at a point A and then its velocity changes at a uniform rate from A to B in time t. In other words, there is a uniform acceleration a from A to B, and after time t its final velocity becomes v which is equal to BC in the graph. The time t is represented by OC. To complete the figure, we draw the perpendicular CB from point C, and draw AD parallel to OC. BE is the perpendicular from point B to OE.
Now, Initial velocity of the body, u= OA --(1)
And,Final velocity of the body, v=BC --(2)
But from the graph BC =BD + DC
Therefore, v=BD + DC --(3)
Again DC = OA
So,v =BD + OA
Now, from equation (1), OA =u
So, v=BD + u --(4)
We should find out the value of BD now. We know the slope of a velocity-time graph is equal to the acceleration, a.
Thus,Acceleration, a= slope of line AB
or a = BD/AD
But AD =OC= t, so putting t in place of AD in the above relation, we get:
or BD=at
Now, putting this value of BD in equation(4), we get:
v= u+ at
consider the velocity - time graph of a body shown in figure:
the body has an initial velocity u at a point A and then its velocity changes at a uniform rate from A to B in time t. In other words, there is a uniform acceleration a from A to B, and after time t its final velocity becomes v which is equal to BC in graph. The time t is represented by OC. To complete the figure, we draw the perpendicular CB from point C, and draw AD parallel to OC. BE is the perpendicular from point B to OE.
Now initial velocity of the body, u = OA --- (1)
and, final velocity of the body, v = BC --- (2)
But from the graph BC = BD+DC
Therefore v = BD+DC ----(3)
Again DC = OA
So, v = BD+ OA
Now, from equation (1), OA = u
So, v= BD+ u ----(4)
we should find out the value of BD now. We know the slope of the velocity -time graph is equal to the acceleration , a
Thus acceleration a = slope of line AB
or a = BD/AD
But AD = OC= t, so putting t in place of AD in the above relation, we get:
or BD = at
Now, Putting the value of BD in equation (4), we get
v= u+at
Question 39:
Show by using the graphical method that: , where the symbols have their usual meanings.
Solution :
Consider the velocity-time graph of a body shown in figure. The body has an initial velocity u at a point A and then its velocity changes at a uniform rate from A to B in time t. In other words, there is a uniform acceleration a from A to B, and after time t its final velocity becomes v which is equal to BC in the graph. The time t is represented by OC.
Suppose the body travels a distance s in time t. In the figure, the distance travelled by the body is given by the area of the space between the velocity-time graph AB and the time axis OC, which is equal to the area of the figure OABC. Thus:
Distance travelled = Area of figure OABC
= Area of rectangle OADC + area of triangle ABD
Now, we will find out the area of rectangle OADC and area of triangle ABD.
(i) Area of rectangle OADC =OA x OC
= u x t
=ut
(ii) Area of triangle ABD= (1/2)x Area of rectangle AEBD
= (1/2) x AD x BD
= (1/2) x t x at
= (1/2) at2
Distance travelled, s = Area of rectangle OADC + area of triangle ABD
Consider the velocity-time graph of a body shown in figure. The body has an initial velocity u at a point A and then its velocity changes at a uniform rate from A to B in time t. In other words, there is a uniform acceleration a from A to B, and after time t its final velocity become v which is equal to BC in the graph. The time t is represented by OC.
Suppose the body travel a distance in time t . in the figure, the distance travelled by the body is given by the area of the space between the velocity-time graph AB and the time axis OC, which is equal to the area of the figure OABC. Thus:
Distance travelled = Area of figure OABC
= Area of rectangle OADC+ area of triangle ABD
Question 40:
Derive the following equation of motion by the graphical method : v2 = u2 + 2as, where the symbols have their usual meanings.
Solution :
Consider the velocity-time graph of a body shown in figure. The body has an initial velocity u at a point A and then its velocity changes at a uniform rate from A to B in time t. In other words, there is a uniform acceleration a from A to B, and after time t its final velocity becomes v which is equal to BC in the graph. The time t is represented by OC. To complete the figure, we draw the perpendicular CB from point C, and draw AD parallel to OC. BE is the perpendicular from point B to OE.
The distance travelled s by a body in time t is given by the area of the figure OABC which is a trapezium.
Distance travelled, s= Area of trapezium OABC
Now, OA + CB = u + v and OC =t Putting these values in the above relation, we get:
Eliminate t from the above equation. This can be done by obtaining the value of t from the first equation of motion.
Consider the velocity of time graph of a body shown in figure. The body has an initial velocity u at a point A and then its velocity changes at a uniform rate from A to B in time t. In other words, there is a uniform acceleration a from A to B, and after time t its final velocity becomes v which is equal to BC in the graph. the time t is represented by OC. To complete the figure, we draw the perpendicular CB from point C, and draw AD parallel to OC. BE is the perpendicular from point B to OE
the distance travelled s by a body in time t is given by the area of the figure OABC which is trapezium.
Now, OA +CB = u+v and OC = t putting these values in the above relation, we get:
Eliminate t from the above equation. This can be done obtaining the value of t from the first equation of motion.
thus v = u +at (first equation of motion)
and at = v
Question 53:
The graph given alongside shows the positions of a body at different times. Calculate the speed of the body as it moves from :
(i) A to B,
(ii) B to C, and
(iii) C to D.
Solution :
(i) The distance covered from A to B is( 3-0) =3 cm
Time taken to cover the distance from A to B =(5 -2) =3s

(ii) The speed of the body as it moves from B to C is zero.
(iii) The distance covered from C to D is (7-3)=4 cm
Time taken to cover the distance from C to D = (9-7)=2s
Question 54:
What can you say about the motion of a body if:
(a) its displacement-time graph is a straight line ?
(b) its velocity-time graph is a straight line ?
Solution :
(a) The body has a uniform velocity if its displacement-time graph is a straight line.
(b) The body has a uniform acceleration if its velocity-time graph is a straight line.
Question 55:
A body with an initial velocity x moves with a uniform acceleration y. Plot its velocity-time graph.
Solution :
Question 56:
Given alongside is the velocity-time graph for a moving body :
Find :
(i) Velocity of the body at point C.
(ii) Acceleration acting on the body between A and
(iii) Acceleration acting on the body between B and C.
Solution :
(i) BC represents uniform velocity. From graph, we see that the velocity of the body at point C = 40km/h
(ii) Acceleration between A and B = slope of line AB

(iii) BC represents uniform velocity, so acceleration acting on the body between B and C is zero.
Question 57:
A body is moving uniformly in a straight line with a velocity of 5 m/s. Find graphically the distance covered by it in 5 seconds.
Solution :
Distance travelled = Area of rectangle OABC
= OA x OC
= 5 x 5 =25 m
Question 58:
The speed-time graph of an ascending passenger lift is given alongside.
What is the acceleration of the lift:
(i) during the first two seconds ?
(ii) between second and tenth second ?
(iii) during the last two seconds ?
Solution:
(i) Acceleration during first two seconds
(ii) Acceleration between second and tenth second is zero, since the velocity is constant during this time.
(iii) Acceleration during last two seconds
Question 59:
A car is moving on a straight road with uniform acceleration. The speed of the car varies with time as follows :
Draw the speed-time graph by choosing a convenient scale. From this graph :
(i) Calculate the acceleration of the car.
(ii) Calculate the distance travelled by the car in 10 seconds.
Solution :
(i) Acceleration of the car = slope of line AB
(ii) Distance travelled by the car in 10 s = area of trapezium OABC
Question 60:
The graph given alongside shows how the speed of a car changes with time:
(i) What is the initial speed of the car ?
(ii) What is the maximum speed attained by the car ?
(iii) Which part of the graph shows zero acceleration ?
(iv) Which part of the graph shows varying retardation ?
(v) Find the distance travelled in first 8 hours.
Solution :
(i) Initial speed of the car=10km/h
(ii) Maximum speed attained by the car= 35km/h
(iii) BC represents zero acceleration.
(iv) CD represents varying retardation.
(v)
Distance travelled in first 8 hrs:
s= Area of trapezium OABF + Area of rectangle BCEF
Question 61:
Three speed-time graphs are given below :
Which graph represents the case of:
(i) a cricket ball thrown vertically upwards and returning to the hands of the thrower ?
(ii) a trolley decelerating to a constant speed and then accelerating uniformly ?
Solution :
(i) Graph (c): The speedof the ball goes on decreasing uniformly as it moves upward, reaches zero at the highest point, and then increases uniformly as it moves downward.
(ii) Grap(a): The speed of the trolley decreases uniformly, then it moves at a constant speed, and then the speed increases uniformly.
Question 62:
Study the speed-time graph of a car given alongside and answer the following questions:
(i) What type of motion is represented by OA ?
(ii) What type of motion is represented by AB ?
(iii) What type of motion is represented by BC ?
(iv) What is the acceleration of car from O to A ?
(v)What is the acceleration of car from A to B ?
(vi) What is the retardation of car from B to C ?
Solution :
(i) OA represents uniform acceleration
(ii) AB represents constant speed.
(iii) BC represents uniform retardation.
(iv) Acceleration of car from O to A = slope of line OA

(v) Acceleration of car from A to B is zero as it has uniform speed during this time.
(vi) Retardation of car from B to C = slope of line BC
Question 63:
What type of motion is represented by each one of the following graphs ?
Solution :
(i) Graph (a) represents uniform acceleration.
(ii) Graph (b) represents constant speed.
(iii) Graph (c) represents uniform retardation.
(iv) Graph (d) represents non-uniform retardation.
Question 64:
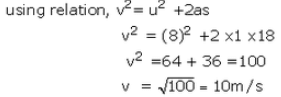
A car is travelling along the road at 8 ms-1. It accelerates at 1 ms-2 for a distance of 18 m. How fast is it then travelling ?
Solution :
Initial velocity, u=8m/s
Acceleration, a=1m/s2
Distance, s=18m
Question 65:
A car is travelling at 20 m/s along a road. A child runs out into the road 50 m ahead and the car driver steps on the brake pedal. What must the car's deceleration be if the car is to stop just before it reaches the child ?
Solution :
Initial velocity, u=20m/s
Final velocity, v=0m/s
Distance, s=50m
| 1. What is motion? | ![]() |
| 2. What are the different types of motion? | ![]() |
| 3. What is the difference between speed and velocity? | ![]() |
| 4. How is acceleration related to motion? | ![]() |
| 5. What are the SI units of motion-related quantities? | ![]() |