Q.1. A triangular plate of uniform thickness and density is made to rotate about an axis perpendicular to the plane of the paper and (a) passing through A, (b) passing through B, by the application of the same force, F, at C (midpoint of AB) as shown in the figure. The angular acceleration in both the cases will be the same. (1985 - 3 Marks)

Ans.f
Solution. 
τ= Force × perpendicular distance. Torque is same in both the cases. But since, I will be different due to different mass distribution about the axis,
∴ a will be different.
Q.2.
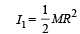
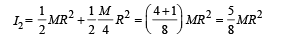
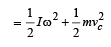
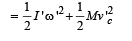
A thin uniform circular disc of mass M and radius R is rotating in a horizontal plane about an axis passing through its centre and perpendicular to its plane with an angular velocity ω.Another disc of the same dimensions but of mass M/4 is placed gently on the first disc coaxially. The angular velocity of the system now is 2ω / √5 .
Ans. F
Solution. 




ω1 = ω

ω2 = ?

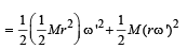
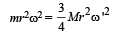
Q.3. A ring of mass 0.3 kg and radius 0.1 m and a solid cylinder of mass 0.4 kg and of the same radius are given the same kinetic energy and released simultaneously on a flat horizontal surface such that they begin to roll as soon as released towards a wall which is at the same distance from the ring and the cylinder. The rolling friction in both cases is negligible. The cylinder will reach the wall first.
Ans. F
Solution. Total energy of the ring
= (K.E.)Rotation + (K.E.)Translational


= mr2w2
Total kinetic energy of the cylinder
= (K.E.)Rotation + (K.E.)Translational



Equating (i) and (ii)


⇒ω' = ω
Both will reach at the same time.
Q.4. Two particles of mass 1 kg and 3 kg move towards each other under their mutual force of attraction. No other force acts on them. When the relative velocity of approach of the two particles is 2 m/s, their centre of mass has a velocity of 0.5 m/s. When the relative velocity of approach becomes 3 m/s, the velocity of the centre of mass is 0.75 m/s
Ans. f
Solution. Since no external force is acting on the two particle system
∴ ac.m = 0
⇒ Vc.m = Constant.