Elapsed time for a foot race is the same for all observers, but at relativistic speeds, elapsed time depends on the relative motion of the observer and the event that is observed. (credit: Jason Edward Scott Bain, Flickr)

Do time intervals depend on who observes them? Intuitively, we expect the time for a process, such as the elapsed time for a foot race, to be the same for all observers. Our experience has been that disagreements over elapsed time have to do with the accuracy of measuring time. When we carefully consider just how time is measured, however, we will find that elapsed time depends on the relative motion of an observer with respect to the process being measured.
Simultaneity
Consider how we measure elapsed time. If we use a stopwatch, for example, how do we know when to start and stop the watch? One method is to use the arrival of light from the event, such as observing a light turning green to start a drag race. The timing will be more accurate if some sort of electronic detection is used, avoiding human reaction times and other complications.
Now suppose we use this method to measure the time interval between two flashes of light produced by flash lamps. Two flash lamps with observer A midway between them are on a rail car that moves to the right relative to observer B. Observer B arranges for the light flashes to be emitted just as A passes B, so that both A and B are equidistant from the lamps when the light is emitted. Observer B measures the time interval between the arrival of the light flashes. According to postulate 2, the speed of light is not affected by the motion of the lamps relative to B. Therefore, light travels equal distances to him at equal speeds. Thus observer B measures the flashes to be simultaneous.
Observer B measures the elapsed time between the arrival of light flashes as described in the text. Observer A moves with the lamps on a rail car. Observer B perceives that the light flashes occurred simultaneously. Observer A perceives that the light on the right flashes before the light on the left.

Now consider what observer B sees happen to observer A. Observer B perceives light from the right reaching observer A before light from the left, because she has moved towards that flash lamp, lessening the distance the light must travel and reducing the time it takes to get to her. Light travels at speed c relative to both observers, but observer B remains equidistant between the points where the flashes were emitted, while A gets closer to the emission point on the right. From observer B’s point of view, then, there is a time interval between the arrival of the flashes to observer A. From observer B’s point of view, then, there is a time interval between the arrival of the flashes to observer A. In observer A’s frame of reference, the flashes occur at different times. Observer B measures the flashes to arrive simultaneously relative to him but not relative to A.
Now consider what observer A sees happening. She sees the light from the right arriving before light from the left. Since both lamps are the same distance from her in her reference frame, from her perspective, the right flash occurred before the left flash. Here a relative velocity between observers affects whether two events are observed to be simultaneous. Simultaneity is not absolute
This illustrates the power of clear thinking. We might have guessed incorrectly that if light is emitted simultaneously, then two observers halfway between the sources would see the flashes simultaneously. But careful analysis shows this not to be the case. Einstein was brilliant at this type of thought experiment (in German, “Gedankenexperiment”). He very carefully considered how an observation is made and disregarded what might seem obvious. The validity of thought experiments, of course, is determined by actual observation. The genius of Einstein is evidenced by the fact that experiments have repeatedly confirmed his theory of relativity.
In summary: Two events are defined to be simultaneous if an observer measures them as occurring at the same time (such as by receiving light from the events). Two events are not necessarily simultaneous to all observers.
Time Dilation
The consideration of the measurement of elapsed time and simultaneity leads to an important relativistic effect.
Time dilation
Time dilation is the phenomenon of time passing slower for an observer who is moving relative to another observer.
Suppose, for example, an astronaut measures the time it takes for light to cross her ship, bounce off a mirror, and return. How does the elapsed time the astronaut measures compare with the elapsed time measured for the same event by a person on the Earth? Asking this question (another thought experiment) produces a profound result. We find that the elapsed time for a process depends on who is measuring it. In this case, the time measured by the astronaut is smaller than the time measured by the Earth-bound observer. The passage of time is different for the observers because the distance the light travels in the astronaut’s frame is smaller than in the Earth-bound frame. Light travels at the same speed in each frame, and so it will take longer to travel the greater distance in the Earth-bound frame.
(a) An astronaut measures the time Δt0 for light to cross her ship using an electronic timer. Light travels a distance 2D in the astronaut’s frame. (b) A person on the Earth sees the light follow the longer path 2s and take a longer time Δt. (c) These triangles are used to find the relationship between the two distances 2D and 2s.

To quantitatively verify that time depends on the observer, consider the paths followed by light as seen by each observer. (See(c).) The astronaut sees the light travel straight across and back for a total distance of 2D, twice the width of her ship. The Earth-bound observer sees the light travel a total distance 2s. Since the ship is moving at speed v to the right relative to the Earth, light moving to the right hits the mirror in this frame. Light travels at a speed c in both frames, and because time is the distance divided by speed, the time measured by the astronaut is

This time has a separate name to distinguish it from the time measured by the Earth-bound observer.
Proper Time
Proper time Δt0 is the time measured by an observer at rest relative to the event being observed.
In the case of the astronaut observe the reflecting light, the astronaut measures proper time. The time measured by the Earth-bound observer is

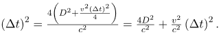
To find the relationship between Δt0 and Δt, consider the triangles formed by D and s. (See (c).) The third side of these similar triangles is L, the distance the astronaut moves as the light goes across her ship. In the frame of the Earth-bound observer,

Using the Pythagorean Theorem, the distance s is found to be

Substituting s into the expression for the time interval Δt gives

We square this equation, which yields

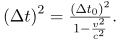
Note that if we square the first expression we had for Δt0, we get
. This term appears in the preceding equation, giving us a means to relate the two time intervals. Thus,

Gathering terms, we solve for Δt:

Thus,

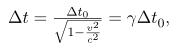
Taking the square root yields an important relationship between elapsed times:

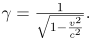
where

This equation for Δt is truly remarkable. First, as contended, elapsed time is not the same for different observers moving relative to one another, even though both are in inertial frames. Proper time Δt0 measured by an observer, like the astronaut moving with the apparatus, is smaller than time measured by other observers. Since those other observers measure a longer time Δt, the effect is called time dilation. The Earth-bound observer sees time dilate (get longer) for a system moving relative to the Earth. Alternatively, according to the Earth-bound observer, time slows in the moving frame, since less time passes there. All clocks moving relative to an observer, including biological clocks such as aging, are observed to run slow compared with a clock stationary relative to the observer.
Note that if the relative velocity is much less than the speed of light (vjjc), then
is extremely small, and the elapsed times Δt and Δt0 are nearly equal. At low velocities, modern relativity approaches classical physics—our everyday experiences have very small relativistic effects.
The equation
also implies that relative velocity cannot exceed the speed of light. As
v approaches c,
Δt approaches infinity. This would imply that time in the astronaut’s frame stops at the speed of light. If v exceeded c, then we would be taking the square root of a negative number, producing an imaginary value for Δt.
There is considerable experimental evidence that the equation
is correct. One example is found in cosmic ray particles that continuously rain down on the Earth from deep space. Some collisions of these particles with nuclei in the upper atmosphere result in short-lived particles called muons. The half-life (amount of time for half of a material to decay) of a muon is
when it is at rest relative to the observer who measures the half-life. This is the proper time
Δt0. Muons produced by cosmic ray particles have a range of velocities, with some moving near the speed of light. It has been found that the muon’s half-life as measured by an Earth-bound observer (Δt) varies with velocity exactly as predicted by the equation
. The faster the muon moves, the longer it lives. We on the Earth see the muon’s half-life time dilated—as viewed from our frame, the muon decays more slowly than it does when at rest relative to us.
Calculating Δt for a Relativistic Event: How Long Does a Speedy Muon Live?
Suppose a cosmic ray colliding with a nucleus in the Earth’s upper atmosphere produces a muon that has a velocity v = 0.950c. The muon then travels at constant velocity and lives 1.52 μs as measured in the muon’s frame of reference. (You can imagine this as the muon’s internal clock.) How long does the muon live as measured by an Earth-bound observer?
A muon in the Earth’s atmosphere lives longer as measured by an Earth-bound observer than measured by the muon’s internal clock.

Strategy
A clock moving with the system being measured observes the proper time, so the time we are given is
. The Earth-bound observer measures
Δt as given by the equation
. Since we know the velocity, the calculation is straightforward.
Solution
1) Identify the knowns.

2) Identify the unknown. Δt
3) Choose the appropriate equation
Use,

where

4) Plug the knowns into the equation.
First find
.

Use the calculated value of
to determine Δt.

Discussion
One implication of this example is that since
at 95.0 of the speed of light (v = 0.950c), the relativistic effects are significant. The two time intervals differ by this factor of 3.20, where classically they would be the same. Something moving at 0.950c is said to be highly relativistic.
Another implication of the preceding example is that everything an astronaut does when moving at 95.0 of the speed of light relative to the Earth takes 3.20 times longer when observed from the Earth. Does the astronaut sense this? Only if she looks outside her spaceship. All methods of measuring time in her frame will be affected by the same factor of 3.20. This includes her wristwatch, heart rate, cell metabolism rate, nerve impulse rate, and so on. She will have no way of telling, since all of her clocks will agree with one another because their relative velocities are zero. Motion is relative, not absolute. But what if she does look out the window?
Real-World Connections
It may seem that special relativity has little effect on your life, but it is probably more important than you realize. One of the most common effects is through the Global Positioning System (GPS). Emergency vehicles, package delivery services, electronic maps, and communications devices are just a few of the common uses of GPS, and the GPS system could not work without taking into account relativistic effects. GPS satellites rely on precise time measurements to communicate. The signals travel at relativistic speeds. Without corrections for time dilation, the satellites could not communicate, and the GPS system would fail within minutes.
The Twin Paradox
An intriguing consequence of time dilation is that a space traveler moving at a high velocity relative to the Earth would age less than her Earth-bound twin. Imagine the astronaut moving at such a velocity that
A trip that takes 2.00 years in her frame would take 60.0 years in her Earth-bound twin’s frame. Suppose the astronaut traveled 1.00 year to another star system. She briefly explored the area, and then traveled 1.00 year back. If the astronaut was 40 years old when she left, she would be 42 upon her return. Everything on the Earth, however, would have aged 60.0 years. Her twin, if still alive, would be 100 years old.
The situation would seem different to the astronaut. Because motion is relative, the spaceship would seem to be stationary and the Earth would appear to move. (This is the sensation you have when flying in a jet.) If the astronaut looks out the window of the spaceship, she will see time slow down on the Earth by a factor of
To her, the Earth-bound sister will have aged only 2/30 (1/15) of a year, while she aged 2.00 years. The two sisters cannot both be correct.
The twin paradox asks why the traveling twin ages less than the Earth-bound twin. That is the prediction we obtain if we consider the Earth-bound twin’s frame. In the astronaut’s frame, however, the Earth is moving and time runs slower there. Who is correct?
As with all paradoxes, the premise is faulty and leads to contradictory conclusions. In fact, the astronaut’s motion is significantly different from that of the Earth-bound twin. The astronaut accelerates to a high velocity and then decelerates to view the star system. To return to the Earth, she again accelerates and decelerates. The Earth-bound twin does not experience these accelerations. So the situation is not symmetric, and it is not correct to claim that the astronaut will observe the same effects as her Earth-bound twin. If you use special relativity to examine the twin paradox, you must keep in mind that the theory is expressly based on inertial frames, which by definition are not accelerated or rotating. Einstein developed general relativity to deal with accelerated frames and with gravity, a prime source of acceleration. You can also use general relativity to address the twin paradox and, according to general relativity, the astronaut will age less. Some important conceptual aspects of general relativity are discussed in General Relativity and Quantum Gravity of this course.
In 1971, American physicists Joseph Hafele and Richard Keating verified time dilation at low relative velocities by flying extremely accurate atomic clocks around the Earth on commercial aircraft. They measured elapsed time to an accuracy of a few nanoseconds and compared it with the time measured by clocks left behind. Hafele and Keating’s results were within experimental uncertainties of the predictions of relativity. Both special and general relativity had to be taken into account, since gravity and accelerations were involved as well as relative motion.
Check Your Understanding
1. What is 
Solution 
2. A particle travels at 1.90108 m/s and lives 2.1010-8 s when at rest relative to an observer. How long does the particle live as viewed in the laboratory?

Section Summary

where

Conceptual Questions
Does motion affect the rate of a clock as measured by an observer moving with it? Does motion affect how an observer moving relative to a clock measures its rate?
To whom does the elapsed time for a process seem to be longer, an observer moving relative to the process or an observer moving with the process? Which observer measures proper time?
How could you travel far into the future without aging significantly? Could this method also allow you to travel into the past?
Problems & Exercises
(a) What is
if v=0.250c? (b) If v =0.500c?
(a) 1.0328
(b) 1.15
(a) What is 
Particles called π-mesons are produced by accelerator beams. If these particles travel at 2.70108 m/s and live 2.6010-8s when at rest relative to an observer, how long do they live as viewed in the laboratory?
5.9610-8 s
Suppose a particle called a kaon is created by cosmic radiation striking the atmosphere. It moves by you at 0.980c, and it lives 1.2410-8s when at rest relative to an observer. How long does it live as you observe it?
A neutral π-meson is a particle that can be created by accelerator beams. If one such particle lives 1.4010-16s as measured in the laboratory, and
0.84010-16s when at rest relative to an observer, what is its velocity relative to the laboratory?
0.800c
A neutron lives 900 s when at rest relative to an observer. How fast is the neutron moving relative to an observer who measures its life span to be 2065 s?
If relativistic effects are to be less than 1%, then
must be less than 1.01. At what relative velocity is 
0.140c
If relativistic effects are to be less than 3%, then
must be less than 1.03. At what relative velocity is 
(a) At what relative velocity is
(b) At what relative velocity is
?
(a) 0.745c
(b) 0.99995c (to five digits to show effect)
(a) At what relative velocity is
(b) At what relative velocity is 
Unreasonable Results
(a) Find the value of
for the following situation. An Earth-bound observer measures 23.9 h to have passed while signals from a high-velocity space probe indicate that 24.0 h have passed on board. (b) What is unreasonable about this result? (c) Which assumptions are unreasonable or inconsistent?
(a) 0.996
(b)
cannot be less than 1.
(c) Assumption that time is longer in moving ship is unreasonable.
214 videos|171 docs|94 tests |
| 1. What is simultaneity in physics? | ![]() |
| 2. How does time dilation occur in physics? | ![]() |
| 3. Can you provide an example of simultaneity and time dilation in everyday life? | ![]() |
| 4. How is simultaneity and time dilation related to Einstein's theory of relativity? | ![]() |
| 5. Are simultaneity and time dilation observable phenomena? | ![]() |