Anyone who has used a microwave oven knows there is energy in electromagnetic waves. Sometimes this energy is obvious, such as in the warmth of the summer sun. Other times it is subtle, such as the unfelt energy of gamma rays, which can destroy living cells.
Electromagnetic waves can bring energy into a system by virtue of their electric and magnetic fields. These fields can exert forces and move charges in the system and, thus, do work on them. If the frequency of the electromagnetic wave is the same as the natural frequencies of the system (such as microwaves at the resonant frequency of water molecules), the transfer of energy is much more efficient.
Connections: Waves and Particles
The behavior of electromagnetic radiation clearly exhibits wave characteristics. But we shall find in later modules that at high frequencies, electromagnetic radiation also exhibits particle characteristics. These particle characteristics will be used to explain more of the properties of the electromagnetic spectrum and to introduce the formal study of modern physics.
Another startling discovery of modern physics is that particles, such as electrons and protons, exhibit wave characteristics. This simultaneous sharing of wave and particle properties for all submicroscopic entities is one of the great symmetries in nature.
Energy carried by a wave is proportional to its amplitude squared. With electromagnetic waves, larger E-fields and B-fields exert larger forces and can do more work.
The propagation of two electromagnetic waves is shown in three dimensional planes. The first wave shows with the variation of two components E and B. E is a sine wave in one plane with small arrows showing the vibrations of particles in the plane. B is a sine wave in a plane perpendicular to the E wave. The B wave has arrows to show the vibrations of particles in the plane. The waves are shown intersecting each other at the junction of the planes because E and B are perpendicular to each other. The direction of propagation of wave is shown perpendicular to E and B waves. The energy carried is given as E sub u. The second wave shows with the variation of the components two E and two B, that is, E and B waves with double the amplitude of the first case. Two E is a sine wave in one plane with small arrows showing the vibrations of particles in the plane. Two B is a sine wave in a plane perpendicular to the two E wave. The two B wave has arrows to show the vibrations of particles in the plane. The waves are shown intersecting each other at the junction of the planes because two E and two B waves are perpendicular to each other. The direction of propagation of wave is shown perpendicular to two E and two B waves. The energy carried is given as four E sub u.
But there is energy in an electromagnetic wave, whether it is absorbed or not. Once created, the fields carry energy away from a source. If absorbed, the field strengths are diminished and anything left travels on. Clearly, the larger the strength of the electric and magnetic fields, the more work they can do and the greater the energy the electromagnetic wave carries.
A wave’s energy is proportional to its amplitude squared (E2 or B2). This is true for waves on guitar strings, for water waves, and for sound waves, where amplitude is proportional to pressure. In electromagnetic waves, the amplitude is the maximum field strength of the electric and magnetic fields.
Thus the energy carried and the intensity I of an electromagnetic wave is proportional to E2 and B2. In fact, for a continuous sinusoidal electromagnetic wave, the average intensity Iave is given by
where c is the speed of light, ϵ0 is the permittivity of free space, and E0 is the maximum electric field strength; intensity, as always, is power per unit area (here in W/m2).
The average intensity of an electromagnetic wave Iave can also be expressed in terms of the magnetic field strength by using the relationship B=E/c, and the fact that ϵ0 = 1/μ0c2, where μ0 is the permeability of free space. Algebraic manipulation produces the relationship
where B0 is the maximum magnetic field strength.
One more expression for Iave in terms of both electric and magnetic field strengths is useful. Substituting the fact that c.B0 = E0, the previous expression becomes
Whichever of the three preceding equations is most convenient can be used, since they are really just different versions of the same principle: Energy in a wave is related to amplitude squared. Furthermore, since these equations are based on the assumption that the electromagnetic waves are sinusoidal, peak intensity is twice the average; that is, I0 = 2Iave .
Calculate Microwave Intensities and Fields
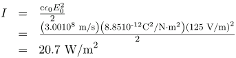
On its highest power setting, a certain microwave oven projects 1.00 kW of microwaves onto a 30.0 by 40.0 cm area.
(a) What is the intensity in W/m2?
(b) Calculate the peak electric field strength E0 in these waves.
(c) What is the peak magnetic field strength B0
Strategy
In part (a), we can find intensity from its definition as power per unit area. Once the intensity is known, we can use the equations below to find the field strengths asked for in parts (b) and (c).
Solution for (a)
Entering the given power into the definition of intensity, and noting the area is 0.300 by 0.400 m, yields
Here I = Iave, so that
Note that the peak intensity is twice the average:
Io = 2Iave to give
Entering known values gives
Solution for (c)
Perhaps the easiest way to find magnetic field strength, now that the electric field strength is known, is to use the relationship given by
Entering known values gives
Discussion
As before, a relatively strong electric field is accompanied by a relatively weak magnetic field in an electromagnetic wave, since B=E/c, and c is a large number.
Section Summary

and in terms of both electric and magnetic fields as
Problems & Exercises
What is the intensity of an electromagnetic wave with a peak electric field strength of 125 V/m?
Find the intensity of an electromagnetic wave having a peak magnetic field strength of 4.0010-9 T.
Assume the helium-neon lasers commonly used in student physics laboratories have power outputs of 0.250 mW.
(a) If such a laser beam is projected onto a circular spot 1.00 mm in diameter, what is its intensity?
(b) Find the peak magnetic field strength.
(c) Find the peak electric field strength.
An AM radio transmitter broadcasts 50.0 kW of power uniformly in all directions.
(a) Assuming all of the radio waves that strike the ground are completely absorbed, and that there is no absorption by the atmosphere or other objects, what is the intensity 30.0 km away? (Hint: Half the power will be spread over the area of a hemisphere).
(b) What is the maximum electric field strength at this distance?
Suppose the maximum safe intensity of microwaves for human exposure is taken to be 1.00 W/m2.
(a) If a radar unit leaks 10.0 W of microwaves (other than those sent by its antenna) uniformly in all directions, how far away must you be to be exposed to an intensity considered to be safe? Assume that the power spreads uniformly over the area of a sphere with no complications from absorption or reflection.
(b) What is the maximum electric field strength at the safe intensity? (Note that early radar units leaked more than modern ones do. This caused identifiable health problems, such as cataracts, for people who worked near them).
(a) 89.2 cm
(b) 27.4 V/m
A 2.50-m-diameter university communications satellite dish receives TV signals that have a maximum electric field strength (for one channel) of 7.50 μV/m.
(a) What is the intensity of this wave?
(b) What is the power received by the antenna?
(c) If the orbiting satellite broadcasts uniformly over an area of 1.501013 (a large fraction of North America), how much power does it radiate?
Satellite dishes receive TV signals sent from orbit. Although the signals are quite weak, the receiver can detect them by being tuned to resonate at their frequency.
A large, round dish antenna looking like a giant white saucer is shown. It rests on a pillar like structure based on the ground. It is shown to receive TV signals in the form of electromagnetic waves shown as wavy arrows.
Lasers can be constructed that produce an extremely high intensity electromagnetic wave for a brief time—called pulsed lasers. They are used to ignite nuclear fusion, for example. Such a laser may produce an electromagnetic wave with a maximum electric field strength of 1. 1001011 for a time of 1.00 ns.
(a) What is the maximum magnetic field strength in the wave?
(b) What is the intensity of the beam?
(c) What energy does it deliver on a 1.0-mm2 area?
(a) 333 T
(b) 1.331019 W/m2
(c) 13.3 kJ
Show that for a continuous sinusoidal electromagnetic wave, the peak intensity is twice the average intensity (I0 = 2Iave), using either the fact that E0 = √2Erms, or B0 = √2Brms, where rms means average (actually root mean square, a type of average).
Suppose a source of electromagnetic waves radiates uniformly in all directions in empty space where there are no absorption or interference effects.
(a) Show that the intensity is inversely proportional to r2, the distance from the source squared.
(b) Show that the magnitudes of the electric and magnetic fields are inversely proportional to r.
(a)
(b)
Integrated Concepts
An LC circuit with a 5.00-pF capacitor oscillates in such a manner as to radiate at a wavelength of 3.30 m.(a) What is the resonant frequency?
(b) What inductance is in series with the capacitor?
Integrated Concepts
What capacitance is needed in series with an 800-μH inductor to form a circuit that radiates a wavelength of 196 m?
13.5 pF
Integrated Concepts
Police radar determines the speed of motor vehicles using the same Doppler-shift technique employed for ultrasound in medical diagnostics. Beats are produced by mixing the double Doppler-shifted echo with the original frequency. If 1.50109 -Hz microwaves are used and a beat frequency of 150 Hz is produced, what is the speed of the vehicle? (Assume the same Doppler-shift formulas are valid with the speed of sound replaced by the speed of light.)
Integrated Concepts
Assume the mostly infrared radiation from a heat lamp acts like a continuous wave with wavelength 1.50 μm.
(a) If the lamp’s 200-W output is focused on a person’s shoulder, over a circular area 25.0 cm in diameter, what is the intensity in W/m2?
(b) What is the peak electric field strength?
(c) Find the peak magnetic field strength.
(d) How long will it take to increase the temperature of the 4.00-kg shoulder by 2.00º C, assuming no other heat transfer and given that its specific heat is 3.47103 J/kg.C?
(a) 4.07 kW/m2
(b) 1.75 kV/m
(c) 5.84 μT
(d) 2 min 19 s
Integrated Concepts
On its highest power setting, a microwave oven increases the temperature of 0.400 kg of spaghetti by 45.0C in 120 s.
(a) What was the rate of power absorption by the spaghetti, given that its specific heat is C?
(b) Find the average intensity of the microwaves, given that they are absorbed over a circular area 20.0 cm in diameter.
(c) What is the peak electric field strength of the microwave?
(d) What is its peak magnetic field strength?
Integrated Concepts
Electromagnetic radiation from a 5.00-mW laser is concentrated on a 1.00-mm2 area.
(a) What is the intensity in W/m2?
(b) Suppose a 2.00-nC static charge is in the beam. What is the maximum electric force it experiences?
(c) If the static charge moves at 400 m/s, what maximum magnetic force can it feel?
(a) 5.00103 W/m2
(b) 3.8810-6 N
(c) 5.1810-12 N
Integrated Concepts
A 200-turn flat coil of wire 30.0 cm in diameter acts as an antenna for FM radio at a frequency of 100 MHz. The magnetic field of the incoming electromagnetic wave is perpendicular to the coil and has a maximum strength of 1.0010-12 T.
(a) What power is incident on the coil?
(b) What average emf is induced in the coil over one-fourth of a cycle?
(c) If the radio receiver has an inductance of 2.50 μH, what capacitance must it have to resonate at 100 MHz?
Integrated Concepts
If electric and magnetic field strengths vary sinusoidally in time, being zero at t=0, then E = Eo sin 2πft.Let f = 1.00 GHz here.
(a) When are the field strengths first zero?
(b) When do they reach their most negative value?
(c) How much time is needed for them to complete one cycle?
(a) t=0
(b) 7.5010-10 s
(c) 1.0010-9 s
Unreasonable Results
A researcher measures the wavelength of a 1.20-GHz electromagnetic wave to be 0.500 m.
(a) Calculate the speed at which this wave propagates. (b) What is unreasonable about this result?
(c) Which assumptions are unreasonable or inconsistent?
Unreasonable Results
The peak magnetic field strength in a residential microwave oven is 9.2010-5 T.
(a) What is the intensity of the microwave?
(b) What is unreasonable about this result?
(c) What is wrong about the premise?
(a) 1.011106 W/m2
(b) Much too great for an oven.
(c) The assumed magnetic field is unreasonably large.
Unreasonable Results
An LC circuit containing a 2.00-H inductor oscillates at such a frequency that it radiates at a 1.00-m wavelength.
(a) What is the capacitance of the circuit?
(b) What is unreasonable about this result?
(c) Which assumptions are unreasonable or inconsistent?
Unreasonable Results
An LC circuit containing a 1.00-pF capacitor oscillates at such a frequency that it radiates at a 300-nm wavelength.
(a) What is the inductance of the circuit?
(b) What is unreasonable about this result?
(c) Which assumptions are unreasonable or inconsistent?
(a) 2.5310-20 H
(b) L is much too small.
(c) The wavelength is unreasonably small.
214 videos|171 docs|94 tests |