The Periodic functions are the functions which can define by relation f(t + P) = f(t) for all t. For example, if f(t) is the amount of time between sunrise and sunset at a certain latitude, as a function of time t, and P is the length of the year, then f(t + P) = f(t) for all t, since the Earth and Sun are in the same position after one full revolution of the Earth around the Sun.
f(t + P) = f(t) for all t
Any arbitrary continuous-time signal x(t) which is periodic with a fundamental period To, can be expressed as a series of harmonically related sinusoids whose frequencies are multiples of fundamental frequency or first harmonic.
In other words, any periodic function of (t) can be represented by an infinite series of sinusoids called as Fourier Series.
Try yourself: What is Fourier series?
Periodic waveform expressed in the form of Fourier series, while non-periodic waveform may be expressed by the Fourier transform.
The different forms of Fourier series are given as follows:
(i) Trigonometric Fourier series
(ii) Complex exponential Fourier series
(iii) Polar or harmonic form Fourier series
Try yourself: What are the two types of Fourier series?
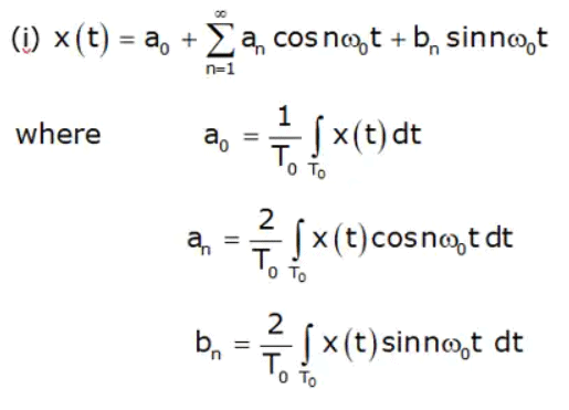
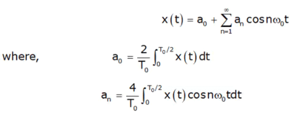
Any arbitrary periodic function x(t) with fundamental period T0 can be expressed as follows:
...(i)
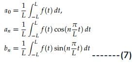
This is referred to as trigonometric Fourier series representation of signal x(t). Here, ω0 = 2π/T0 is the fundamental frequency of x(t) and coefficients a0, an, and bn are referred to as the trigonometric continuous-time Fourier series (CTFS) coefficients. The coefficients are calculated as follows:

From equation (i), it is clear that coefficient a0 represents the average or mean value (also referred to as the dc component) of signal x(t).
In these formulas, the limits of integration are either (-T0/2 to +T0/2) or (0 to T0). In general, the limit of integration is any period of the signal and so the limits can be from (t1 to t2 + T0), where t1 is any time instant.
If the periodic signal x(t) possesses some symmetry, then the continuous-time Fourier series (CTFS) coefficients become easy to obtain. The various types of symmetry and simplification of Fourier series coefficients are discussed as below.
Consider the Fourier series representation of a periodic signals x(t) defined in the equation:
I. Even Symmetry: x(t) = x(-t)
If x(t) is an even function, then product x(t) sinωot is odd and integration in equation (iv)
becomes zero. That is bn = 0 for all n and the Fourier series representation expressed as:
For example, the signal x(t) shown in below figure has even symmetry so bn = 0 and the
Fourier series expansion of x(t) is given as:

The trigonometric Fourier series representation even signals contains cosine terms only. The constant a0 may or may not be zero.
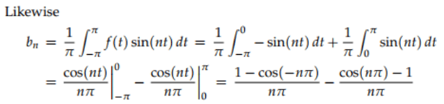
II. Odd Symmetry: x(t) = -x(-t)

If x(t) is an odd function, then product x(t) cosωot is also odd and integration in equation (iii) becomes zero i.e. an = 0 for all n. Also, a0 = 0 because an odd symmetric function has a zero average value. The Fourier series representation is expressed as:

Try yourself: How is a trigonometric Fourier series represented?
-------(1)

(a) Fourier Sine Series
The Fourier Sine series can be written as:
S(x) = b1 sinx + b2 sin 2x + b3 sin 3x +
........(2)
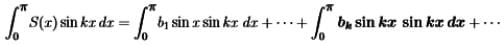
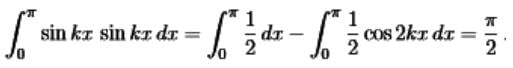
Suppose S(x) = ∑ bn sinnx. Multiply both sides by sin kx. Integrate from 0 to π in Sine Series in equation (2)
.........(3)


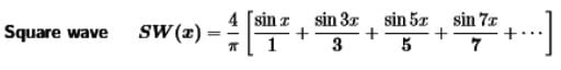
Example: Finding the Fourier sine coefficients bk of the square wave SW(x) as given above .
Solution:
For k =1 ,2,...using the formula of sine coefficient with S(x)=1 between 0 and π:

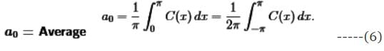
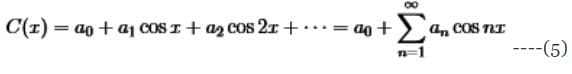
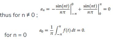
The cosine series applies to even functions with C(-x) = C(x) as

Cosine has period 2π shown as above in the figure two even functions, the repeating ramp RR(x) and the up-down train UD(x) of delta functions.


Since from the Fourier Series Representation we concluded that for a periodic Signal it can be written as:
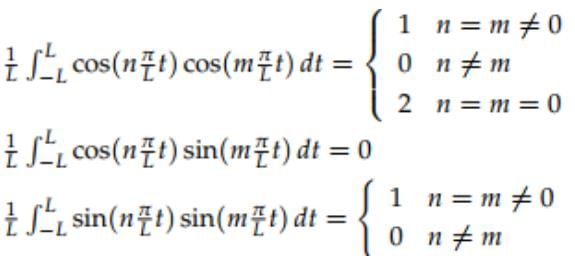
The condition of orthogonality as follow:
Proof of the orthogonality relations: This is just a straightforward calculation using the periodicity of sine and cosine and either (or both) of these two methods:

and the similar trig identies for cos(α) sin(β) and sin(α) sin(β).There is also another important equation (the energy identity) that comes from integrating (F(x))2. When we square the Fourier series of F(x), and integrate from -π to π, all the "cross terms" drop out. The only nonzero integrals come from 12 and cos2 kx and sin2 kx, multiplied by a02,ak2 bk2.

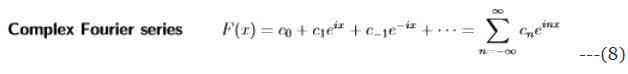
Here we practice in advance with the complex infinite series for a 2π-periodic function:


Try yourself: How is the exponential Fourier series represented?
Example: Compute the Fourier series of f(t), where f(t) is the square wave with period 2π. which is defined over one period by.
The graph over several periods is shown below.
Solution: Computing a Fourier series means computing its Fourier coefficients. We do this using the integral formulas for the coefficients given with Fourier's theorem in the previous note. For convenience we repeat the theorem here.

By applying these formulas to the above waveform we have to split the integrals into two pieces corresponding to where f(t) is +1 and where it is -1.


We have used the simplification cos nπ = (-1)n to get a nice formula for the coefficients bn.
This then gives the Fourier series for f(t)
| 1. What is the Fourier series representation? | ![]() |
| 2. What is the Fourier theorem? | ![]() |
| 3. What is the difference between trigonometric and complex Fourier series? | ![]() |
| 4. What are the orthogonality relations of Fourier series? | ![]() |
| 5. How does the energy in a function relate to the energy in its Fourier coefficients? | ![]() |
![]() | Explore Courses for Electrical Engineering (EE) exam |
![]() | Get EduRev Notes directly in your Google search |