Simple Cost Sheet - Overheads | Cost and Management Accounting for CA Intermediate PDF Download

Meaning of Cost Sheet:
Cost Sheet is a statement which presents detailed information relating to the various stages of cost. It also shows the total cost of the product manufactured during a particular period of time. Thus, the cost sheet is prepared for a particular period of time monthly, quarterly, yearly etc.

Objects of Preparing a Cost Sheet:
A cost sheet is prepared for:
(i) The total cost and cost per unit of the product can be ascertained;
(ii) It helps the management to fix up the selling price on the basis of the cost per unit of the product after charging certain percentage of profit on cost;
(iii) It also helps the management presenting a comparative study of current cost with the exis­ting cost per unit;
(iv) After proper comparison the management can take the corrective measures;
(v) It helps the management while formulating suitable production policy;
(vi) It is very helpful to submit a price quotation for tenders; and
(vii) It also helps the management by supplying suitable information for management control.

Method of Preparation of Cost Sheet:
Step I = Prime Cost = Direct Material + Direct Labour + Direct Expenses.
Step II = Works Cost = Prime Cost + Factory/Indirect Expenses.
Step III = Cost of Production = Works Cost + Office and Administration Expenses.
Step IV = Total Cost = Cost of Production + Selling and Distribution Expenses. Profit = Sales – Total Cost.
The above method can better be presented with the help of the following proforma Cost Sheet:
Simple Cost Sheet - Overheads | Cost and Management Accounting for CA Intermediate
Simple Cost Sheet - Overheads | Cost and Management Accounting for CA Intermediate
 Simple Cost Sheet - Overheads | Cost and Management Accounting for CA Intermediate
Simple Cost Sheet - Overheads | Cost and Management Accounting for CA Intermediate

Example and Solution.
Cost Sheet Problem 1:
From the following particulars of a manufacturing concern, ascertain the Prime Cost:
Simple Cost Sheet - Overheads | Cost and Management Accounting for CA Intermediate
Solution.
Simple Cost Sheet - Overheads | Cost and Management Accounting for CA Intermediate

Cost Sheet Problem 2:
From the following figures obtained from the costing records of product A ascertain the PRIME COST for the month of August 1997:
Simple Cost Sheet - Overheads | Cost and Management Accounting for CA Intermediate
Solution.
Simple Cost Sheet - Overheads | Cost and Management Accounting for CA Intermediate
Find out the Works Cost
Works Cost = Prime Cost + Factory Overheads + Opening Stock of Work-in-Progress at Factory Cost-Closing Stock of Work-in-Progress at Factory Cost.

Cost Sheet Problem 3:
From the following information ascertain the Works Cost for the month of August 1997:
Simple Cost Sheet - Overheads | Cost and Management Accounting for CA Intermediate
Simple Cost Sheet - Overheads | Cost and Management Accounting for CA Intermediate
Solution.
Simple Cost Sheet - Overheads | Cost and Management Accounting for CA Intermediate
Simple Cost Sheet - Overheads | Cost and Management Accounting for CA Intermediate
Simple Cost Sheet - Overheads | Cost and Management Accounting for CA Intermediate
Calculation of profit as a percentage of cost price or sales
(v) When profit is to be calculated as a percentage on sales but S.P. is not given.
Simple Cost Sheet - Overheads | Cost and Management Accounting for CA Intermediate

Example: Assume that the cost of sales of a product A is Rs. 4,03,000. Now, the business wants to make profit at 20% on sales. We do not know the sale price. The amount of profit is to be calculted as follows :
Simple Cost Sheet - Overheads | Cost and Management Accounting for CA Intermediate

Cost Sheet Problem 4:
The following particulars have been collected from a manufacturing concern for the year ended 31.3.1998:
Simple Cost Sheet - Overheads | Cost and Management Accounting for CA Intermediate
10% on cost of materials. Factory overhead 50% of wages.
10% of the casting was rejected and a sum of 6,000 was realised on sale as scrap.
10% of finished products was found to be defective and the defective products were rectified at an additional expenditure which is equivalent to 20% of proportionate direct wages.
The total output was 10,000 tonnes during the year.
Ascertain the manufacturing cost per tonne.
Solution.
Statement of cost for the year ended 31st March 1998 – Output 9,000 tonnes.  
Simple Cost Sheet - Overheads | Cost and Management Accounting for CA Intermediate
Simple Cost Sheet - Overheads | Cost and Management Accounting for CA Intermediate

Cost Sheet Problem 5:
The following particulars have been obtained from the cost records for the year 1997:
Simple Cost Sheet - Overheads | Cost and Management Accounting for CA Intermediate
Simple Cost Sheet - Overheads | Cost and Management Accounting for CA Intermediate
Assume that all products manufactured during the year have been sold to earn a profit of 20% on selling price.
Solution.
Simple Cost Sheet - Overheads | Cost and Management Accounting for CA Intermediate
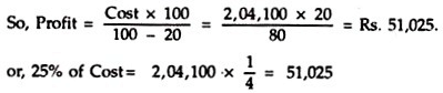
Working Note : When sale price is 100, cost is Rs. 80 and Profit is Rs. 20
Simple Cost Sheet - Overheads | Cost and Management Accounting for CA Intermediate 

The document Simple Cost Sheet - Overheads | Cost and Management Accounting for CA Intermediate is a part of the CA Intermediate Course Cost and Management Accounting for CA Intermediate.
All you need of CA Intermediate at this link: CA Intermediate
24 videos|60 docs|17 tests

FAQs on Simple Cost Sheet - Overheads - Cost and Management Accounting for CA Intermediate

1. What is a cost sheet and how is it used in business?
Ans. A cost sheet is a document that itemizes all the costs involved in producing a product or providing a service. It includes direct costs (such as raw materials and labor) and indirect costs (such as overhead expenses). Businesses use cost sheets to determine the total cost of a product or service, which helps in setting prices, analyzing profitability, and making informed decisions.
2. What are overheads in a cost sheet?
Ans. Overheads in a cost sheet refer to the indirect costs incurred by a business that cannot be directly attributed to a specific product or service. These costs include expenses such as rent, utilities, salaries of support staff, administrative costs, and depreciation of assets. Overheads are allocated to different products or services based on predetermined allocation methods (such as direct labor hours or machine hours) to determine their share of the total overhead costs.
3. How are overheads calculated in a cost sheet?
Ans. Overheads are calculated in a cost sheet by allocating the total overhead costs to different products or services based on a predetermined allocation method. This allocation method can be determined by dividing the total overhead costs by a suitable cost driver, such as direct labor hours or machine hours. The resulting rate is then multiplied by the cost driver for each product or service to determine their share of the overhead costs.
4. Why are cost sheets important in financial analysis?
Ans. Cost sheets are important in financial analysis as they provide crucial information about the costs involved in producing a product or providing a service. By analyzing the cost sheet, businesses can determine the profitability of different products or services, identify areas of cost inefficiencies, and make informed decisions regarding pricing, cost control, and resource allocation. Cost sheets also help in comparing actual costs with budgeted costs, which aids in performance evaluation and variance analysis.
5. What are the benefits of using cost sheets for budgeting purposes?
Ans. Using cost sheets for budgeting purposes offers several benefits. Firstly, it helps in estimating the total cost of production or provision of services, which is essential for setting realistic budgets. Cost sheets also assist in identifying cost drivers and cost centers, allowing businesses to allocate resources effectively. Furthermore, cost sheets provide a basis for monitoring and controlling actual costs against budgeted costs, enabling timely corrective actions and better financial planning.
Related Searches

shortcuts and tricks

,

Viva Questions

,

Summary

,

Simple Cost Sheet - Overheads | Cost and Management Accounting for CA Intermediate

,

mock tests for examination

,

pdf

,

Objective type Questions

,

Previous Year Questions with Solutions

,

practice quizzes

,

Sample Paper

,

Exam

,

Free

,

Simple Cost Sheet - Overheads | Cost and Management Accounting for CA Intermediate

,

study material

,

Extra Questions

,

ppt

,

Semester Notes

,

Important questions

,

past year papers

,

Simple Cost Sheet - Overheads | Cost and Management Accounting for CA Intermediate

,

MCQs

,

video lectures

;