Q1: A concrete column section of size 300 mm × 500 mm as shown in the figure is subjected to both axial compression and bending along the major axis. The depth of the neutral axis (xu) is 1.1 times the depth of the column, as shown.”
The maximum compressive strain (εc) at highly compressive extreme fiber in concrete, where there is no tension in the section, is _______ x10-3 (rounded off to 2 decimal places) [2024, Set-2]
Ans: 3.2 to 3.4
Sol: The minimum compressive strain in the column
εc1 max = 0.0035 − 0.75 εc1 min
εc1 min = strain in the least compressed fibre
In the strain diagram,
From triangle △OAD and △OBC

⇒ εc1 max = 3.276 × 10-3 = 3.28 × 10-3
Hence, the correct answer is 3.28
Q2: Various stresses in jointed plain concrete pavement with slab size of 3.5 m × 4.5 m are denoted as follows: [2024, Set-2]
Wheel load stress at interior =
Wheel load stress at edge =
Wheel load stress at corner =
Warping stress at interior =
Warping stress at edge =
Warping stress at corner =
Frictional stress between slab and supporting layer = Sf
The critical stress combination in the concrete slab during a summer midnight is
(a)
(b) 
(c) 
(d) 
Ans: (a)
Q3: A simply supported, uniformly loaded, two-way slab panel is torsionally unrestrained. The effective span lengths along the short span (x) and long span (y) directions of the panel are lx and ly respectively. The design moments for the reinforcements along the x and y directions are Mux and Muy respectively. By using Rankine-Grashoff method, the ratio Mux ' Muy is proportional to [2024, Set-2]
(a) lx/ly
(b) ly/lx
(c) (lx/ly)2
(d) (ly/lx)2
Ans: (d)
Sol: As per Rankine Grashoff method
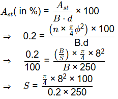
Q4: A slab panel with an effective depth of 250 mm is reinforced with 0.2% main reinforcement using 8 mm diameter steel bars. The uniform center-to-center spacing (in mm ) at which the 8 mm diameter bars are placed in the slab panel is (rounded off to the nearest integer). [2024, Set-1]
Ans: 99 to 102
Sol:
Effective depth, d = 250 m
Reinforcement, Ast = 0.2%
Diameter of bar, Ф = 8 mm
S = ?
S = 100.53 mm
Provide spacing 100 mm.
Q5: The following figure shows the arrangement of formwork for casting a cantilever RC beam. [2024, Set-1]
The correct sequence of removing the Shores/Props is
(a) S1→S2→S3→S4→S4
(b) S5→S4→S3→S2→S1
(c) S3→S2→S4→S1→S5
(d) S3→S4→S2→S5→S1
Ans: (b)
Sol: While removing the props, we need to ensure that the beam type does not change i.e. if it is a cantilever beam then the props shall be
removed in such a manner that the beam at the intermediate stage also shows cantilever behaviour.
If we remove prop 'S1' first then tensile stress will be generated at the bottom and no structural reinforcement is there to take care of this tension.
So, correct order is S5→S4→S3→S2→S1
Q1: With regard to the shear design of RCC beams, which of the following statements is/are TRUE? [2023, Set-2]
(a) Excessive shear reinforcement can lead to compression failure in concrete
(b) Beams without shear reinforcement, even if adequately designed for flexure, can have brittle failure
(c) The main (longitudinal) reinforcement plays no role in the shear resistance of beam
(d) As per IS456:2000, the nominal shear stress in the beams of varying depth depends on both the design shear force as well as the design bending moment
Ans: (a, b and d)
Sol: Option A is true, because when the area of shear reinforcement is large i.e. in case of excessive shear reinforcement, concrete becomes stronger is diagonal tension on failure compared to diagonal compression failure and compression failure may occur before the shear reinforcement has yielded.
Option ' B ' is true because for beams without shear reinforcement, once the flexural crack crosses the longitudinal reinforcement, the propagation of crack will be sudden and there can be brittle failure.
Option ' C ' is not true, as main reinforcement increases the shear resitance by providing dowel action, limiting crack width and by increasing the depth of concrete. Design shear strength of concrete is a function of grade of concree and percentage tensile reinforcement.
Option 'D' is true, as for beams with varying depth, nominal shear stress, 
it is dependent on both the design shear force and design bending moment.
Hence, options (A), (B) and (D) are true
Q1: Read the following statements relating to flexure of reinforced concrete beams:
I. In over-reinforced sections, the failure strain in concrete reaches earlier than the yield strain in steel.
II. In under-reinforced sections, steel reaches yielding at a load lower than the load at which the concrete reaches failure strain.
III. Over-reinforced beams are recommended in practice as compared to the under-reinforced beams
IV. In balanced sections, the concrete reaches failure strain earlier than the yield strain in tensile steel.
Each of the above statements is either True or False.
Which one of the following combinations is correct? [2022, Set-2]
(a) I (True), II (True), III (False), IV (False)
(b) I (True), II (True), III (False), IV (True)
(c) I (False), II (False), III (True), IV (False)
(d) I (False), II (True), III (True), IV (False)
Ans: (a)
Sol: The question is based on LSM design principle as it is describing different conditions related to strain
Depending on amount of reinforcement in a cross-section, here ca be three types of sections viz. balanced, under reinforced and over reinforced.
Balanced section is a section that is expected to result in a balanced failure. It means at the ultimate limit state in flexure, the concrete will attain a limiting compressive strain of 0.0035 and steel will attain minimum specified tensile strain of 
Under reinforced section is a section in which steel yield before collapse. Over reinforced section is a section in which crushing of concrete
in compression i.e. attainment of compressive strain of 0.0035 occurs prior to yielding of steel.
In case of over reinforced section the deflection, crack width remain relatively low and failure occurs without any sign of warning and hence
over reinforced flexural members are not recommended by IS code.
Based on the above information:
Statement I is true.
Statement II is true.
Statement III is false.
Statement IV is false.
Q1: A rectangular cross-section of a reinforced concrete beam is shown in the figure. The diameter of each reinforcing bar is 16 mm. The values of modulus of elasticity of concrete and steel are 2.0 × 104MPa and 2.1 × 105MPa, respectively. [2021, Set-2]
The distance of the centroidal axis from the centerline of the reinforcement ( x ) for the uncracked section (in mm, round off to one decimal place) is ________
Ans: 129 to 130
Sol: 

Distance of N-A from reinforcement
y2 = d -
= 315 - 185.59 = 129.41 mm
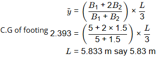
Q2: A combined trapezoidal footing of length L supports two identical square columns ( P1 and P2 ) of size 0.5 m × 0.5 m, as shown in the figure. The columns P1 and P2 carry loads of 2000 kN and 1500 kN, respectively. [2021, Set-1]
If the stress beneath the footing is uniform, the length of the combined footing L (in m, round off to two decimal places) is _____
Ans: 5.7 to 5.9
Sol: C.G. of load from P1

Distance of C.G. of footing from face of P1


Q1: The cross-section of the reinforced concrete beam having an effective depth of 500 mm is shown in the figure (not drawn to the scale). The grades of concrete and steel used are M35 and Fe550, respectively. The area of tension reinforcement is 400 mm2. It is given that corresponding to 0.2% proof stress, the material safety factor is 1.15 and the yield strain of Fe550 steel is 0.0044 .
As per IS 456:2000, the limiting depth (in mm, round off to the nearest integer) of the neutral axis measured from the extreme compression fiber, is _______. [2020, Set-2]
Ans: 220 to 224
Sol:

For a RCC T-Beam
(For limiting depth of neutral axis)
Considering d = 500mm
Limiting depth of neutral axis
x0,lim = 221.52mm
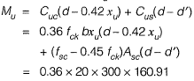
Q2: The singly reinforced concrete beam section shown in the figure (not drawn to the scale) is made of M25 grade concrete and Fe500 grade reinforcing steel. The total crosssectional area of the tension steel is 942 mm2. [2020, Set-1]
As per Limit State Design of IS 456 : 2000, the design moment capacity (in kNm round off to two decimal places) of the beam section, is __________
Ans: 158 to 158.8
Sol:
B = 300 mm
d = 450 mm
Ast = 942 mm2
Mu = ?
(i) xulim = 0.46 × d
= 0.46 × 450 = 207 mm 
(iii) xy < xulim It is under reinforcement section
(iv) Mu = 0.36 fck Bxu (d - 0.42xu)
= 0.36 × 25 × 300 × 151.77 × (450 - 0.42 × 151.77)/106
= 158.28kN - m
Q1: A singly-reinforced rectangular concrete beam of width 300 mm and effective depth 400 mm is to be designed using M25 grade concrete and Fe500 grade reinforcing steel. For the beam to be under-reinforced, the maximum number of 16 mm diameter reinforcing bars that can be provided is [2018, Set-2]
(a) 3
(b) 4
(c) 5
(d) 6
Ans: (c)
Sol:
B = 300 mm
d = 400 mm (effective depth)
M25 and Fe500
Number of 16 mm ϕ
For Ast < Ast lim, maximum number of bars to be provided is 5.
Q2: A structural member subjected to compression, has both translation and rotation restrained at one end, while only translation is restrained at the other end. As per IS 456 : 2000, the effective length factor recommended for design is [2018, Set-2]
(a) 0.50
(b) 0.65
(c) 0.70
(d) 0.80
Ans. (d)
Sol: One end is fixed
Other end is pin jointed
Effective length of column (as per IS:456- 2000)
= 0.80 L
Q3: A reinforced-concrete slab with effective depth of 80 mm is simply supported at two opposite ends on 230 mm thick masonry walls. The centre-to- centre distance between the walls is 3.3 m. As per IS 456 : 2000, the effective span of the slab (in m, up to two decimal places) is __________ . [2018, Set-2]
Ans: 3.15
Sol:
Effective depth
d = 80mm
Width of support = 230 mm
c/c distance between walls = 3.30 m
Clear span of slab = 3.30 - 0.23 = 3.07 m
Effective span

So, Left = 3.15m
Q4: An RCC short column (with lateral ties) of rectangular cross-section of 250 mm x 300 mm in reinforced with four members of 16 mm diameter longitudinal bars. The grades of steel and concrete are Fe415 and M20, respectively. Neglect eccentricity effect. Considering limit state of collapse in compression (IS 456 : 2000), the axial load carrying capacity of the column (in kN, up to one decimal place) is _____. [2018, Set-1]
Ans: 905 to 920
Sol: Since eccentricity effect is being neglected so column can be considered as concentrically loaded. Ultimate axial load carrying capacity of column.

Q5: Two rectangular under-reinforced concrete beam sections X and Yare similar in all aspects except that the longitudinal compression reinforcement in section Y is 10% more. Which one of the following is the correct statement? [2018, Set-1]
(a) Section X has less flexural strength and is less ductile than section Y
(b) Section X has less flexural strength but is more ductile than section Y
(c) Sections X and Y have equal flexural strength but different ductility
(d) Sections X and Y have equal flexural strength and ductility.
Ans: (a)
Sol:

Due to presence ot more compression steel in section Y, NA of section of Xis above than as of X. It means Yis more under-reinforced than X so ductility of Y is more.
Since compression steel of Yis more so flexure resistance of X is less than as of Y.
Q1: A reinforced concrete (RC) beam with width of 250 mm and effective depth of 400 mm is reinforced with Fe 415 steel. Consider 50 mm effective cover. As per the provisions of IS 456 : 2000, the minimum and maximum amount of tensile reinforcement (expressed in mm2) for the section are, respectively [2016, Set-1]
(a) 250 and 3500
(b) 205 and 4500
(c) 270 and 2000
(d) 300 and 2500
Ans: (b)
Sol: Minimum tension reinforcement is given by,


Maximum compression reinforcement = 0.04 bD
= 0.04 x 250 x 450
= 4500 mm2
Q2: A haunched (varying depth) reinforced concrete beam is simply supported at both ends, as shown in the figure. The beam is subjected to a uniformly distributed factored load of intensity 10 kN/m. The design shear force (expressed in kN) at the section X-X of the beam is_______ . (Neglect variation of load due to change in section) [2016, Set-2]
Sol:

Shear force at section X-X,
Vu = 100 - 5 x 10 = 50 kN
Depth at section X-X,

Moment at section X-X,
MU = 100 x 5 - 10 x 2.5 x 5 = 375 kNm
Design shear force at section X-X,


Q.8 A column of size 450 mm x 600 mm has unsupported length of 3.0 m and is braced against side sway in both directions. According to IS 456: 2000, the minimum eccentricities (in mm) with respect to major and minor principle axes are [2015 : 1 Mark, Set-Il]
(a) 20.0 and 20.0
(b) 26.0 and 21.0
(c) 26.0 and 20.0
(d) 21.0 and 15.0
Ans. (B)
Solution:


x-x will be major axis and y-y will be minor axis.

Q.9 For a beam of cross-section, width = 230 mm and effective depth = 500 mm, the number of rebars of 12 mm diameter required to satisfy minimum tension reinforcement requirement specified by IS 456 : 2000 (assuming grade of steel reinforcement as Fe500) is ________ . [2014 : 2 Marks, Set-I]
Solution:

or


Q.10 The cross-section at mid-span of a beam at the edge of a slab is shown in the sketch. A portion of the slab is considered as the effective flange width for the beam. The grades of concrete and reinforcing steel are M25 and Fe415 respectively. The total area of reinforcing bars (As) is 4000 mm2. At the ultimate limit sate, xu denotes the depth of the neutral axis from the top fibre. Treat the section as under-reinforced and flanged (xu >100 mm).
The ultimate moment capacity (in kNm) of the sections as per the Limit State Method of IS 456 : 2000 is [2012 : 2 Marks]
(a) 475.2
(b) 717.0
(c) 756.4
(d) 762.5
Ans. (B)
Solution:

or,

Take 717.00 kNm
Q.11 The cross-section at mid-span of a beam at the edge of a slab is shown in the sketch. A portion of the slab is considered as the effective flange width for the beam. The grades of concrete and reinforcing steel are M25 and Fe415 respectively. The total area of reinforcing bars (As) is 4000 mm2. At the ultimate limit sate, xu denotes the depth of the neutral axis from the top fibre. Treat the section as under-reinforced and flanged (xu >100 mm).

The value of xu(in mm) computed as per the Limit State Method of IS 456 : 2000 is [2012 : 2 Marks]
(a) 200.0
(b) 223.3
(c) 236.3
(d) 273.6
Ans. (C)
Solution:
Given, Xu > 100 mm and section as under reinforced as per IS 456 : 2000
Effective width of flange of L-beam:

Where l0 = Distance between point of zero moment in beam
Df = Depth of flange
bw = Width of web
Taking bf = 1000 mm
∴ Length of beam is not given


∴ Equating compressive force and tensile force
C = T

It shows our assumption was correct.
So, xu = 234.13 mm
(Nearest match = 236 mm)
Q.12 A doubly reinforced rectangular concrete beam has a width of 300 mm and an effective depth of 500 mm. The beam is reinforced with 2200 mm2 of steel in tension and 628 mm2 of steel in compression. The effective cover for compression steel is 50 mm. Assume that both tension and compression steel yield. The grades of concrete and steel used are M20 and Fe250, respectively. The stress block parameters (rounded off to first two decimal places) for concrete shall be as per IS 456 : 2000.
A 16 mm thick plate measuring 650 mm x 420 mm is used as a base plate for an ISHB 300 column subjected to a factored axial compressive load of 2000 kN. As per IS 456 : 2000, the minimum grade of concrete that should be used below the base plate for safely carrying the load is [2011 : 1 Mark]
(a) M15
(b) M20
(c) M30
(d) M40
Ans. (B)
Solution:
Working axial load

The developed bearing pressure on concrete is given as,

The developed stress in direct compression in various grades of concrete as per IS 456 : 2000 are tabulated below = 0.25 fck (WSM)

The permissible stress in concrete should be more than the developed bearing pressure. Thus the minimum grade of concrete which should be used is M 20.
Q.13 A doubly reinforced rectangular concrete beam has a width of 300 mm and an effective depth of 500 mm. The beam is reinforced with 2200 mm2 of steel in tension and 628 mm2 of steel in compression. The effective cover for compression steel is 50 mm. Assume that both tension and compression steel yield. The grades of concrete and steel used are M20 and Fe250, respectively. The stress block parameters (rounded off to first two decimal places) for concrete shall be as per IS 456 : 2000.
The moment of resistance of the section is
(a) 206.00 kN-m
(b) 209.20 kN-m
(c) 237.80 kN-m
(d) 251.90 kN-m
Ans. (B)
Solution:
Moment of resistance Mu is given by,


Q.14 A doubly reinforced rectangular concrete beam has a width of 300 mm and an effective depth of 500 mm. The beam is reinforced with 2200 mm2 of steel in tension and 628 mm2 of steel in compression. The effective cover for compression steel is 50 mm. Assume that both tension and compression steel yield. The grades of concrete and steel used are M20 and Fe250, respectively. The stress block parameters (rounded off to first two decimal places) for concrete shall be as per IS 456 : 2000. [2010 : 2 Marks]
The depth of neutral axis is
(a) 205.30 mm
(b) 184.56 mm
(c) 160.91mm
(d) 145.30 mm
Ans. (C)
Solution:

The resultant compressive force in the concrete is given by,

The resultant compressive force in the compression steel is given by,

The resultant tensile force in the tensile steel is given by,

we know that,



| 1. What is the purpose of footings in construction? | ![]() |
| 2. How do columns contribute to the overall stability of a structure? | ![]() |
| 3. What are the different types of beams used in construction? | ![]() |
| 4. What factors should be considered when designing slabs? | ![]() |
| 5. What is the significance of reinforcement in concrete beams and slabs? | ![]() |