Class 10 Exam  >  Class 10 Notes  >  Mathematics (Maths) Class 10  >  Previous Year Questions: Surface Areas & Volumes

Class 10 Maths Chapter 12 Previous Year Questions - Surface Area and Volumes

Previous Year Questions 2025

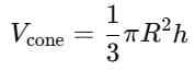
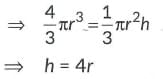
Q1: The radii 'r' of a sphere and that of the base of a cone are same. If their volumes are also same, then the height of the cone is:
(a) r
(b) 2r
(c) 3r
(d) 4r

Class 10 Maths Chapter 12 Previous Year Questions - Surface Area and VolumesView Answer  Class 10 Maths Chapter 12 Previous Year Questions - Surface Area and Volumes

Ans: (d)
Given, radius of sphere= radius of cone= r 
Also, volume of sphere= volume of cone
Class 10 Maths Chapter 12 Previous Year Questions - Surface Area and Volumes


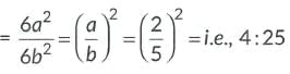
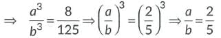
Q2: If the volumes of two cubes are in the ratio 8 : 125, then the ratio of their surface areas is :
(a) 8 : 125
(b) 4 : 25
(c) 2 : 5
(d) 16 : 25

Class 10 Maths Chapter 12 Previous Year Questions - Surface Area and VolumesView Answer  Class 10 Maths Chapter 12 Previous Year Questions - Surface Area and Volumes

Ans: Let a be side of one cube and b be side of another cube. 
Given, ratio of their volumes= 8:125
Class 10 Maths Chapter 12 Previous Year Questions - Surface Area and Volumes
Ratio of their surface are 
Class 10 Maths Chapter 12 Previous Year Questions - Surface Area and Volumes


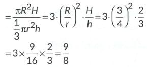
Q3: If the radii of the bases of a cylinder and a cone are in the ratio 3: 4 and their heights are in the ratio 2 : 3, find the ratio of their volumes.  (3 Marks)

Class 10 Maths Chapter 12 Previous Year Questions - Surface Area and VolumesView Answer  Class 10 Maths Chapter 12 Previous Year Questions - Surface Area and Volumes

Ans: Let r and R be the radius of cone and cylinder respectively and h and H be the height of cone and cylinder respectively. 
The volume of cylinder (V1) = πR2H
Volume of cone (V2) = Class 10 Maths Chapter 12 Previous Year Questions - Surface Area and Volumes

Given,
Class 10 Maths Chapter 12 Previous Year Questions - Surface Area and Volumes

∴  Ratio of their volumes is given by V1/V2

Class 10 Maths Chapter 12 Previous Year Questions - Surface Area and Volumes

∴ Ratio of their volumes= 9: 8


Q4: Assertion (A) : If we join two hemispheres of same radius along their bases, then we get a sphere. 
Reason (R) : Total surface area of a sphere of radius r is 3πr2.
(a) Both Assertion (A) and Reason (R) are true and Reason (R) is the correct explanation of the Assertion (A). 
(b) Both Assertion (A) and Reason (R) are true, but Reason (R) is not the correct explanation of the Assertion (A). 
(c) Assertion (A) is true, but Reason (R) is false. 
(d) Assertion (A) is false, but Reason (R) 

Class 10 Maths Chapter 12 Previous Year Questions - Surface Area and VolumesView Answer  Class 10 Maths Chapter 12 Previous Year Questions - Surface Area and Volumes

Ans: (c)
Also, total surface area of a sphere of radius r is 4πr2
So, Assertion is true, but Reason is false. 

Q5: If a cone of greatest possible volume is hollowed out from a solid wooden cylinder, then the ratio of the volume of remaining wood to the volume of cone hollowed out is 
(a) 1: 1 
(b) 1: 3
(c) 2: 1 
 (d) 3: 1

Class 10 Maths Chapter 12 Previous Year Questions - Surface Area and VolumesView Answer  Class 10 Maths Chapter 12 Previous Year Questions - Surface Area and Volumes

Ans: (c)
Let rand h be the radius and height of cylinder respectively. 
Class 10 Maths Chapter 12 Previous Year Questions - Surface Area and Volumes

Volume of cone hollowed out = 1/3πr2h
Volume of remaining wood = Volume of cylinder - Volume of cone
Class 10 Maths Chapter 12 Previous Year Questions - Surface Area and Volumes


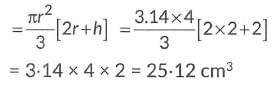
Q6: A solid toy is in the form of a hemisphere surmounted by a right circular cone. The height of the cone is 2 cm and the diameter of the base is 4 cm. Determine the volume of the toy. Also, find the a surface area of the toy. (Take π = 3.14)

Class 10 Maths Chapter 12 Previous Year Questions - Surface Area and VolumesView Answer  Class 10 Maths Chapter 12 Previous Year Questions - Surface Area and Volumes

Ans: Given, diameter of conical part = Diameter of hemispherical part= 4 cm 
Radius of conical part (r) = radius of hemispherical part (r) = 4/2 = 2 cm.
Class 10 Maths Chapter 12 Previous Year Questions - Surface Area and Volumes
∴ Volume of toy= Volume of hemisphere+ Volume of cone = Class 10 Maths Chapter 12 Previous Year Questions - Surface Area and Volumes
Class 10 Maths Chapter 12 Previous Year Questions - Surface Area and Volumes
∴ Surface area of toy= Curved surface area of cone+ Curved surface area of hemisphere
Class 10 Maths Chapter 12 Previous Year Questions - Surface Area and Volumes


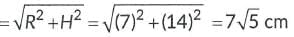
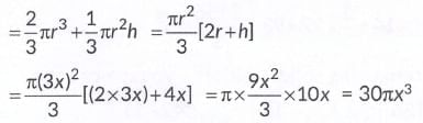
Q7: A vessel is in the form of an inverted cone. Its height is 8 cm and the radius of its top, which is open, is 5 cm. It is filled with water up to the brim. When lead shots, each of which is a sphere of radius 0.5 cm, are dropped into the vessel, one-fourth of the water flows out. Find the number of lead shots dropped in the vessel.

Class 10 Maths Chapter 12 Previous Year Questions - Surface Area and VolumesView Answer  Class 10 Maths Chapter 12 Previous Year Questions - Surface Area and Volumes

Ans: 
Let the radius and slant height of the cone be 3x and 5x respectively 
∴ Radius (OB)= 3x and slant height (AB)= 5x
Class 10 Maths Chapter 12 Previous Year Questions - Surface Area and VolumesIn ΔAOB,
AB2 = OA2 + 0B2 [By Pythagoras theorem] 
⇒ (5x)2 = (OA)2 + (3x)2
⇒ 25x2 = (OA)2 + 9x2
⇒ OA2 = 25x2 - 9x2 = 16x2
⇒ OA = 4x [Height of cone] 
Volume of toy = Volume of hemi-sphere + Volume of right circular cone.
Class 10 Maths Chapter 12 Previous Year Questions - Surface Area and Volumes
As, 30πx3 = 240π [Given] 
⇒ x3 = 8 
⇒ x= 2 
∴ Total height of the toy = Height of cone + Radius of hemi-sphere 
= 4x + 3x = 7x = 7 x 2 = 14 cm


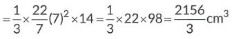
Q8: From one face of a solid cube of side 14 cm, the largest possible cone is carved out. Find the volume and surface area of the remaining solid. (use π = 22/7, √5 = 2.2)

Class 10 Maths Chapter 12 Previous Year Questions - Surface Area and VolumesView Answer  Class 10 Maths Chapter 12 Previous Year Questions - Surface Area and Volumes

Ans: Height of largest cone= Side of cube 
H = 14 cm 
Diameter of largest cone= Side of cube 
∴ 2R = 14cm 
R=7cm 
∴ Volume of the largest cone = 1/3πR2H

Class 10 Maths Chapter 12 Previous Year Questions - Surface Area and Volumes
Volume of remaining solid = (side)3 - Volume of cone 
Class 10 Maths Chapter 12 Previous Year Questions - Surface Area and Volumes
Slant height of cone
Class 10 Maths Chapter 12 Previous Year Questions - Surface Area and Volumes
L = 15.4 cm 
Surface area of remaining solid= 6(side)2 - πR2 + πRL 
Class 10 Maths Chapter 12 Previous Year Questions - Surface Area and Volumes

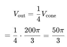
Q9: (a) A toy is in the form of a cone surmounted on a hemisphere. The cone and hemisphere have the same radii. The height of the conical part of the toy is equal to the diameter of its base. If the radius of the conical part is 5 cm, find the volume of the toy.
OR
(b) A cubical block is surmounted by a hemisphere of radius 3·5 cm. What is the smallest possible length of the edge of the cube so that the hemisphere can totally lie on the cube ? Find the total surface area of the solid so formed.
(5 Marks) (CBSE 2025)

Class 10 Maths Chapter 12 Previous Year Questions - Surface Area and VolumesView Answer  Class 10 Maths Chapter 12 Previous Year Questions - Surface Area and Volumes

Ans:(a)

Class 10 Maths Chapter 12 Previous Year Questions - Surface Area and Volumes
(b)Class 10 Maths Chapter 12 Previous Year Questions - Surface Area and Volumes

Previous Year Questions 2024

Q3: A solid iron pole consists of a solid cylinder of height 200 cm and base diameter 28 cm, which is surmounted by another cylinder of height 50 cm and radius 7 cm. Find the mass of the pole, given that 1 cm3 of iron has approximately 8 g mass.   

(4 & 5 Marks) (CBSE 2024)

Class 10 Maths Chapter 12 Previous Year Questions - Surface Area and VolumesView Answer  Class 10 Maths Chapter 12 Previous Year Questions - Surface Area and Volumes

Ans:
Here, the height of small cylinder (h1) = 50 cm
Radius of small cylinder r =  7 cm
Height of longer cylinder (h2) = 200 cm
Radius of longer cylinder (R) = 14 cm
Class 10 Maths Chapter 12 Previous Year Questions - Surface Area and VolumesVolume of figure = Volume of small cylinder + volume of big cylinder

= πr²h₁ + πr²h₂
= π[r²h₁ + R²h₂]

= 227 [7 × 7 × 50 + 14 × 14 × 200]

= 227 × 49 × 50 [1 + 4]

= 22 × 7 × 50 × 171

= 1,30,900 cm3
Mass = Volume × Density
= 10,47,200 g
≈ 1047.2 kg 


Q4: A medicine capsule is in the shape of a cylinder with two hemispheres stuck to each of its ends. The length of the entire capsule is 14 mm and the diameter of the capsule is 4 mm, find its surface area. Also, find its volume.        (4 & 5 Marks) (CBSE 2024)

Class 10 Maths Chapter 12 Previous Year Questions - Surface Area and VolumesView Answer  Class 10 Maths Chapter 12 Previous Year Questions - Surface Area and Volumes

Ans:
Here, two figures are combined, 2 hemisphere and cylinder.
Class 10 Maths Chapter 12 Previous Year Questions - Surface Area and VolumesRadius of cylinder = radius of hemisphere
= 4/2 = 2 mm
Height of cylinder (h) = 14 – (2 + 2)
= 14 – 4 = 10 mm.
Surface area of capsule = curved surface area of two hemispheres + curved surface area of cylinder

= 2 × 2 πr² + 2πrh
= 2πr [2r + h]
= 2 × 227 × 2[4 + 10]

= 887 × 14

= 176 mm²

Volume of capsule = volume of 2 hemispheres + volume of cylinder

= 43 πr³ + πr²h

∴ Volume of 2 hemispheres = volume of a sphere

= πr² 43 (r + h)

= 227 × 2 × 2 × 43 × 2 + 10

= 227 × 4 × 83 + 10

= 227 × 4 × 38

= 88 × 3821 = 334421

= 159.24 mm³

Previous Year Questions 2023

Q5: The curved surface area of a cone having a height of 24 cm and a radius 7 cm, is     (1 Mark) (2023)
(a) 528 cm2 
(b) 1056 cm2
(c) 550 cm2
(d) 500 cm

Class 10 Maths Chapter 12 Previous Year Questions - Surface Area and VolumesView Answer  Class 10 Maths Chapter 12 Previous Year Questions - Surface Area and Volumes

Ans: (c)
We have, the height of cone. h = 24 cm and radius, r = 7 cm.
Class 10 Maths Chapter 12 Previous Year Questions - Surface Area and Volumes
We know that,
Class 10 Maths Chapter 12 Previous Year Questions - Surface Area and Volumes= Class 10 Maths Chapter 12 Previous Year Questions - Surface Area and Volumes
= √625

= 25
Now. curved surface area = πrl
= 22/7 x 7 x 25
= 550 cm2


Q6: The curved surface area of a cylinder of height 5 cm is 94.2 cm2. The radius of the cylinder is (Take π = 3.14) (1 Mark) (2023)
(a) 2 cm
(b) 3 cm
(c) 2.9 cm
(d) 6 cm

Class 10 Maths Chapter 12 Previous Year Questions - Surface Area and VolumesView Answer  Class 10 Maths Chapter 12 Previous Year Questions - Surface Area and Volumes

Ans: (b)
Curved surface area of cylinder = 2πrh
⇒ 94.2 = 2 x 3 .14 x r x 5
⇒ r = 94.22x3.14x5
⇒ r = 3 cm


Q7: A wooden article was made by scooping out a hemisphere from each end of a solid cylinder, as shown in the figure. If the height of the cylinder is 10 cm and its base is of radius 3.5 cm. 

Class 10 Maths Chapter 12 Previous Year Questions - Surface Area and VolumesFind the total surface area of the article.      (4/5/6 Marks) (CBSE 2023)

Class 10 Maths Chapter 12 Previous Year Questions - Surface Area and VolumesView Answer  Class 10 Maths Chapter 12 Previous Year Questions - Surface Area and Volumes

Ans: 
Class 10 Maths Chapter 12 Previous Year Questions - Surface Area and Volumes
Radius of the cylinder (r) = 3.5 cm
Height of the cylinder (h) = 10 cm

Curved surface area = 2πrh

= ( 2 × 227 × 3510 × 10 ) cm2

= 220 cm2

Curved surface area of a hemisphere = 2πr2

∴ Curved surface area of both hemispheres
2 × 2πr2 = 4πr2 = ( 4 × 227 × 3510 × 3510 ) cm2

= 154 cm2

Total surface area of the Article

= (220 + 154) cm2

= 374 cm2


Q8: A room is in the form of a cylinder surmounted by a hemispherical dome. The base radius of the hemisphere is one-half the height of the cylindrical part. Find the total height of the room if it contains ( 140821 ) m3 of air. (Take π = 227 ) (3 Marks) (2023)

Class 10 Maths Chapter 12 Previous Year Questions - Surface Area and VolumesView Answer  Class 10 Maths Chapter 12 Previous Year Questions - Surface Area and Volumes

Ans: Class 10 Maths Chapter 12 Previous Year Questions - Surface Area and VolumesGiven, volume of the room = 140821 m3,

π = 227

Radius of the hemisphere = r,

Height of the cylindrical part = h = 2r.

Volume of the room = Volume of the cylinder + Volume of the hemisphere

Volume of the cylinder = πr2h = πr2(2r) = 2πr3

Volume of the hemisphere = 23 πr3

Total volume = 2πr3 + 23 πr3 = 83 πr3

Equating total volume to 140821:

83 πr3 = 140821

83 × 227 × r3 = 140821

176r3 = 1408

r3 = 1408176

r3 = 8

r = 2

Total height = h + r = 2r + r = 3r = 3 × 2 = 6 meters

Final Answer:

The total height of the room is 6 meters.


Q9: An empty cone is of radius 3 cm and height 12 cm. Ice cream is filled in it so that the lower part of the cone which is (1/6)th of the volume of the cone is unfilled but the hemisphere is formed on the top. Class 10 Maths Chapter 12 Previous Year Questions - Surface Area and VolumesFind the volume of the ice cream. Take (π = 3.14)     (3 Marks) (2023)

Class 10 Maths Chapter 12 Previous Year Questions - Surface Area and VolumesView Answer  Class 10 Maths Chapter 12 Previous Year Questions - Surface Area and Volumes

Ans: Radius of cone, r = 3 cm 
Height of cone, h = 12 cm 
Let x be the volume of unfilled part of cone.

Now, volume of cone, =

13 πr2h = 13 × 3.14 × (3)2 × 12

Volume of filled part of cone = Volume of cone - Volume of unfilled part of cone

= 13 × 3.14 × (3)2 × 12 − 16 × 13 × 3.14 × (3)2 × 12

= 13 × 3.14 × (3)2 × 12 × (1 - 16)

= 56 × 3.14 × (3)2 × 12 = 94.2 cm3

Now, volume of ice-cream = volume of filled part of cone + volume of hemisphere

= 94.2 + 23 × 3.14 × (3)3

= 150.72 cm3

Previous Year Questions 2022


Q10: The radius of the base and the height of a solid right circular cylinder are in the ratio 2:3 and its volume is 1617 cm3. Find the total surface area of the cylinder. Take [π = 22/7] (2022)

Class 10 Maths Chapter 12 Previous Year Questions - Surface Area and VolumesView Answer  Class 10 Maths Chapter 12 Previous Year Questions - Surface Area and Volumes

Ans: Given ratio of radius and height of the right circular cylinder = 2:3
Let radius (r) of the base be 2x and height(h) be 3x.
Volume of cylinder, V = πr2h

1617 = 227 × (2)2 × 3 × 3

⇒ 1617 = 227 × 4x2 × 3 × 3

1617 × 7

22 × 4 × 3 = x3

x3 = 7 × 7 × 72 × 2 × 2 = 72 cm.

Radius r = 2x = 2 × 72 = 7 cm

and height h = 3x = 3 × 72 = 212 cm

Total surface area of cylinder = 2πr (h + r)

= 2 × 22 × 77 × 212 + 7)

= 44 × 352 cm2

= 770 cm2


Q11: Case Study : John planned a birthday party for his younger sister with his friends. They decided to make some birthday caps by themselves and to buy a cake from a bakery shop. For these two items they decided on the following dimensions:
Cap : Conical shape with base circumference 44 cm and height 24 cm.
Cake : Cylindrical shape with diameter 24 cm and height 14 cm.
Class 10 Maths Chapter 12 Previous Year Questions - Surface Area and Volumes

Based on the above information answer the following questions.
(a) How many square cm paper would be used to make 4 such caps?
(b) The bakery shop sells cakes by weight (0.5 kg, 1 kg, 1.5 kg. etc..}. To have the required dimensions how much cake should they order if 650 cm3 equals 100 g of cake?    
   (2022)

Class 10 Maths Chapter 12 Previous Year Questions - Surface Area and VolumesView Answer  Class 10 Maths Chapter 12 Previous Year Questions - Surface Area and Volumes

Ans: Paper required to make four caps is 2,200 sq.cm.
Weight of the cake for required dimensions is 1kg.
Step-by-step explanation:
(a) Given the base circumference of the cone, c = 44 cm
Height of a cone, h = 24 cm.
Base circumference of the cone, c = 2πr = 44 cm
Thus, the radius of the cone is

r = 442 × 227 = 7 cm

The curved surface area of the cone is given by

CSA = πr h2 + r2

Substituting the values of h and r,

CSA = 227 × 7 × (24)2 + 72

= 22 × 576 + 49 = 22 × 625

= 22 × 25 = 550 sq. cm
Thus, to make one cap, 550 sq.cm of paper is required.
Then to make four caps, the required paper is
550 x 4 = 2200 sq. cm
Therefore, 2,200 sq.cm of paper is required to make four caps.
(b) Given the diameter of cylindrical shape cake, d = 24 cm
Height of cylindrical shape cake, h = 14 cm.
Radius of the cylindrical shape cake,

r = d2 = 242 = 12 cm

Volume of the cylinder is given by V = πr2h

Substituting the values of h and r,

V = 227 × (12)2 × 14

V = 227 × 144 × 14

= 22 × 144 × 2 = 6,336 cm3

The required volume of the cylindrical shape cake is 6,336 cm3.

Given 650 cm3 equals 100 g of cake.

Then the required weight of the cake is

6336650 × 100 = 974.76 g

Given the bakery shop sells cakes by weight of 0.5 kg, 1 kg, 1.5 kg, etc.

Since, 974.76 g ≈ 1 kg, therefore, the cake of 1 kg should be ordered for required dimensions.


Q12: Three cubes of side 6 cm each, are joined as shown in given figure. Find the total surface area of the resulting cuboid.     (2022)Class 10 Maths Chapter 12 Previous Year Questions - Surface Area and Volumes

Class 10 Maths Chapter 12 Previous Year Questions - Surface Area and VolumesView Answer  Class 10 Maths Chapter 12 Previous Year Questions - Surface Area and Volumes

Ans: The dimension of the cuboids so formed are
length = 18 cm
breath = 6 cm and height = 6 cm.
Surface area of cuboids = 2 (l× b + b × h + l × h)
= 2 × (18 × 6 + 6 × 6+ 18 × 6)
= 504 cm2


Q13: Case Study : A 'circus' is a company of performers who put on shows of acrobats, downs etc to entertain people started around 250 years back, in open fields, now generally performed in tents. One such 'Circus Tent is shown below.Class 10 Maths Chapter 12 Previous Year Questions - Surface Area and VolumesThe tent is in the shape of a cylinder surmounted by a conical top. If the height and diameter of cylindrical part are 9 m and 30 m respectively and height of conical part is 8 m with same diameter as that of the cylindrical part, then
find  
(i) the area of the canvas used in making the tent.
(ii) the cost of the canvas bought for the tent at the rate Rs. 200 per sq. m. if 30 sq. m canvas was wasted during stitching.    (CBSE Term-2 2022)

Class 10 Maths Chapter 12 Previous Year Questions - Surface Area and VolumesView Answer  Class 10 Maths Chapter 12 Previous Year Questions - Surface Area and Volumes

Ans: According to given information, we have the following figure.
Class 10 Maths Chapter 12 Previous Year Questions - Surface Area and Volumes

Clearly, the radius of conical part = radius of cylindrical part = 30/2 = 15 m = r  ...(say)
Let h and H be the height of conical and cylindrical part respectively.
Then h = 8 m and H = 9 m
Class 10 Maths Chapter 12 Previous Year Questions - Surface Area and Volumes
= 17 m

(i) The area of the canvas used in making the tent
= Curved surface area of cone + Curved surface area of cylinder
= πrl + 2πrH
= πr(l + 2H)
Class 10 Maths Chapter 12 Previous Year Questions - Surface Area and Volumes
= 1650 m2
(ii) Area of canvas bought for the tent
= (1650 + 30) m2
= 1680 m2
Now, this cost of the canvas height for the tent
= ₹ (1680 × 200)
= ₹ 3,36,000

Previous Year Questions 2021

Q14: Water is being pumped out through a circular pipe whose internal diameter is 8 cm. If the rate of flow of water is 80 cm/s. then how many litres of water is being pumped out through this pipe in one hour?    (2021)

Class 10 Maths Chapter 12 Previous Year Questions - Surface Area and VolumesView Answer  Class 10 Maths Chapter 12 Previous Year Questions - Surface Area and Volumes

Ans: Given diameter of circular pipe = 8 cm
So, radius of circular pipe = 4cm
Length of flow of water in one sec = 80 cm
length of flow of water in one hour =  80 x 60 x 60 cm=288000 cm=h
Volume of cylinderical pipe in one hour = πr2h
Class 10 Maths Chapter 12 Previous Year Questions - Surface Area and Volumes
= 14482.28 litre [approx.]
14482.28 litres of water being pumped out through this pipe in 1 hr.

Previous Year Questions 2020


Q15: A solid spherical ball fits exactly inside the cubical box of side 2a. The volume of the ball is      (2020)
(a) 163 πr3
(b) 
16 πr3
(c) 
323 πr3
(d) 
43 πr3

Class 10 Maths Chapter 12 Previous Year Questions - Surface Area and VolumesView Answer  Class 10 Maths Chapter 12 Previous Year Questions - Surface Area and Volumes

Ans: (d)

Diameter of sphere = Distance between opposite faces of cube = 2a
Radius of sphere = a
So, volume of spherical ball = 43 πr3
= 43 πr3


Q16: The radius of a sphere (in cm) whose volume is 12 πcm3, is      (2020)
(a) 3
(b) 3√3
(c) 32/3
(d) 3
1/3

Class 10 Maths Chapter 12 Previous Year Questions - Surface Area and VolumesView Answer  Class 10 Maths Chapter 12 Previous Year Questions - Surface Area and Volumes

Ans: (c)
Let radius of the sphere be r.
According to the question,Class 10 Maths Chapter 12 Previous Year Questions - Surface Area and Volumes
Class 10 Maths Chapter 12 Previous Year Questions - Surface Area and Volumes


Q17: Two cones have their heights in the ratio 1: 3 and radii in the ratio 3 : 1 . What is the ratio of their volumes?      (2020)

Class 10 Maths Chapter 12 Previous Year Questions - Surface Area and VolumesView Answer  Class 10 Maths Chapter 12 Previous Year Questions - Surface Area and Volumes

Ans: Let height of one cone be h and height of another cone be 3h. Radius, of one cone is 3r and radius of another cone is r.
∴ Ratio o f their volumes = Class 10 Maths Chapter 12 Previous Year Questions - Surface Area and Volumes
= 3 : 1


Q18: How many cubes of side 2 cm can be made from a solid cube of side 10 cm?          (2020)

Class 10 Maths Chapter 12 Previous Year Questions - Surface Area and VolumesView Answer  Class 10 Maths Chapter 12 Previous Year Questions - Surface Area and Volumes

Ans: Let n be the number of solid cubes of  2cm made from a solid cube of side 10 cm.

∴ n x Volume of one small cube = Volume of big cube
⇒ n x (2)3 = (10)3
⇒ 8n = 1000
⇒ n = 1000/8
= 125
Thus, the number of solid cubes formed of side 2 cm each is 125.


Q19: A cone and a cylinder have the same radii but the height of the cone is 3 times that of the cylinder. Find the ratio of their volumes.          (CBSE 2020)

Class 10 Maths Chapter 12 Previous Year Questions - Surface Area and VolumesView Answer  Class 10 Maths Chapter 12 Previous Year Questions - Surface Area and Volumes

Ans: Let the radius and the height of the cylinder are r and h respectively.
So, radios of t he cone is r and height of the cone is 3h.
∴ Volume of the cylinder = πr2h
So Volume of cone = Class 10 Maths Chapter 12 Previous Year Questions - Surface Area and Volumes
So, require ratio = Class 10 Maths Chapter 12 Previous Year Questions - Surface Area and Volumes
= 1 : 1


Q20: A well of diameter 3 m is dug 14 m deep. The earth taken out of it has been spread evenly all around it in the shape of a circular ring of width 4 m to form a platform. Find the height of the platform. (Take π = 22/7)      (2020)

Class 10 Maths Chapter 12 Previous Year Questions - Surface Area and VolumesView Answer  Class 10 Maths Chapter 12 Previous Year Questions - Surface Area and Volumes

Ans: Given that, the depth of the well is 14 m and the diameter is 3 m.
The width of the circular ring of the embankment is 4 m.
A figure is drawn below to visualize the shapes.
Class 10 Maths Chapter 12 Previous Year Questions - Surface Area and Volumes
From the above figure, we can observe that the shape of the well will be cylindrical, and earth evenly spread out to form an embankment around the well in a circular ring will be cylindrical in shape (Hollow cylinder) having outer and inner radius.

Volume of the earth taken out from well = Volume of the earth used to form the embankment

Hence, Volume of the cylindrical well = Volume of the hollow cylindrical embankment

Let us find the volume of the hollow cylindrical embankment by subtracting volume of inner cylinder from volume of the outer cylinder.

Volume of the cylinder = πr2h where r and h are the radius and height of the cylinder respectively.

Depth of the cylindrical well, = h₁ = 14 m

Radius of the cylindrical well, = r = 3/2 m = 1.5 m

Width of embankment = 4 m

Inner radius of the embankment, r = 3/2 m = 1.5 m

Outer radius of the embankment, R = Inner radius + Width

R = 1.5 m + 4 m

= 5.5 m

Let the height of embankment be h

Volume of the cylindrical well = Volume of the hollow cylindrical embankment

πr2h1 = πR2h - πr2h

πr2h1 = πh (R2 - r2)

r2h1 = h (R - r )(R + r)

h = [(r2h1)/(R - r)(R + r)]

h = [((1.5 m)2 × 14 m)/(5.5 m - 1.5 m)(5.5 m + 1.5 m)]

= (2.25 m2 × 14 m)/(4m × 7 m)

= 1.125 m

Therefore, the height of the embankment will be 1.125 m.


Q21: In Figure, a solid toy is in the form of a hemisphere surmounted by a right circular cone. The height of the cone is 2 cm and the diameter of the base is 4 cm. Determine the volume of the toy. [Take π = 3.14]      (2020)
Class 10 Maths Chapter 12 Previous Year Questions - Surface Area and Volumes

Class 10 Maths Chapter 12 Previous Year Questions - Surface Area and VolumesView Answer  Class 10 Maths Chapter 12 Previous Year Questions - Surface Area and Volumes

Ans: Given diameter of conical part = Diameter of hemispherical part = 4cm
∴ Radios of conical part (r) = Radius of hemispherical part (r) = 4/2 = 2 cm
Height of conical part (h) = 2 cm
∴ Volume of toy = Volume of hemisphere + volume of cone
Class 10 Maths Chapter 12 Previous Year Questions - Surface Area and Volumes
= 3 .14 x 4(1.33 + 0.66)= 3.14 x 4 x 1.99 cm3
Volume of the toy = 24.99 cm3


Q22: A solid toy is in the form of a hemisphere surmounted by a right circular cone of same radius. The height of the cone is 10 cm and the radius of the base is 7 cm. Determine the volume of the toy. Also find the area of the coloured sheet required to cover the toy. (Use π = 22/7 and √149 = 12.2)       (2020)

Class 10 Maths Chapter 12 Previous Year Questions - Surface Area and VolumesView Answer  Class 10 Maths Chapter 12 Previous Year Questions - Surface Area and Volumes

Ans: Radius of the cone = Radius of the hemisphere = r = 7cm 
Height of the cone, h = 10 cm 
Now, volume of the toy = volume of hemisphere + volume of cone
Class 10 Maths Chapter 12 Previous Year Questions - Surface Area and Volumes

23 πr3 + 13 πr2 h = πr23 (2r + h)

= 13 × 227 × 7 × 7 (2×7 + 10)

= 22 × 7 × 243

= 1232 cm3

Curved surface area of the toy = Curved surface area of cone + Curved surface area of hemisphere

= πrl + 2πr2

= πr h2 + r2 + 2πr2

= 227 × 7 × (10)2 + 72 + 2πr2

= 22 × 100 + 49 + 14

= 22 × 149 + 14

= 22(12.2 + 14)
= 22 x 26.2
= 576.4 cm3


Q23: From a solid right circular cylinder of height 14 cm and base radius 6 cm, a right circular cone of same height and same base radius is removed. Find the volume of the remaining solid. (CBSE 2020)

Class 10 Maths Chapter 12 Previous Year Questions - Surface Area and VolumesView Answer  Class 10 Maths Chapter 12 Previous Year Questions - Surface Area and Volumes

Ans: Radius of cylinder = Radius of cone = r = 6 cm. 
Height of cylinder = Height of cone = h = 14 cm
Volume of remaining solid = πr2h – 1/3πr2h
= 2/3πr2h
= 2/3 x 22/7 x 6 x 6 x 14
= 2 x 22 x 2 x 6 x 2
= 1056cm2
Hence, the volume of the remaining solid is 1056 cm2.

Previous Year Questions 2019

Q24: A solid is in the form of a cylinder with hemispherical ends. The total height of the solid is 20 cm and the diameter of the cylinder is 7 cm. Find the total volume of the solid. (Use π = 22/7).       (2019)

Class 10 Maths Chapter 12 Previous Year Questions - Surface Area and VolumesView Answer  Class 10 Maths Chapter 12 Previous Year Questions - Surface Area and Volumes

Ans: Radius of cylinderical part (r) = Radius of each spherical part(r) = 7/2 cm
Height of cylinderical part (h) = 20 - 7/2 - 7/2 = 13 cm
Class 10 Maths Chapter 12 Previous Year Questions - Surface Area and Volumes
Now. Volume of the solid = Volume of cylinderical part + Volume of two hemispherical endsVolume of the solid = Class 10 Maths Chapter 12 Previous Year Questions - Surface Area and Volumes
Class 10 Maths Chapter 12 Previous Year Questions - Surface Area and Volumes
Volume of the solid = 680.17 cm3.


Q25: A juice seller was serving his customers using glasses as shown in the given figure. The inner diameter of the cylindrical glass was 5 cm but bottom of the glass had a hemispherical raised portion which reduced the capacity of the glass. lf the height of the glass was 10 cm, find the apparent and actual capacity of the glass {Use π = 3.14)      (2019)

Class 10 Maths Chapter 12 Previous Year Questions - Surface Area and Volumes

Class 10 Maths Chapter 12 Previous Year Questions - Surface Area and VolumesView Answer  Class 10 Maths Chapter 12 Previous Year Questions - Surface Area and Volumes

Ans: Base radius = 5/2 = 2.5 cm
Apparent capacity of glass = Volume of cylindrical portion
= πr2h
= 3.14 x (2.5)2 x 10
= 196.25 cm3
Actual capacity of the glass = Volume of cylinder - Volume of hemisphere
Class 10 Maths Chapter 12 Previous Year Questions - Surface Area and Volumes
= 196.25 - 32.71
= 163.54 cm  

Q26: A bucket open at the top is in the form of a frustum of a cone with a capacity of 12308.8 cm3. The radii of the top and bottom of circular ends of the bucket are 20 cm and 12 cm respectively. Find the height of the bucket and also the area of the metal sheet used in making it. (Use π = 3.14)    [CBSE 2019 (30/1/2)]

Class 10 Maths Chapter 12 Previous Year Questions - Surface Area and VolumesView Answer  Class 10 Maths Chapter 12 Previous Year Questions - Surface Area and Volumes

Ans: r = 12 cm, R = 20 cm, V = 12308.8 cm

Volume of frustum = 13 πh (r2 + R2 + rR)

12308810 = 13 × 314100 × (144 + 400 + 240) × h

h = 123088 × 3 × 10314 × 784

h = 15 cm

l = √(h2 + r2) = √(225 + 64) = √289 = 17 cm
Area of metal sheet used = π(R + r)l + πr
= π(20 + 12) x 17 + π x 144
Class 10 Maths Chapter 12 Previous Year Questions - Surface Area and Volumes
Hence, the height of the bucket is 15 cm and the area of the metal sheet used is 2160.32 cm2.
Class 10 Maths Chapter 12 Previous Year Questions - Surface Area and Volumes

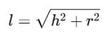
Q27:  An open metal bucket is in the shape of a frustum of a cone, mounted on a hollow cylindrical base made of the same metallic sheet (Fig). The diameters of the two circular ends of the bucket are 45 cm and 25 cm, the total vertical height of the bucket is 40 cm and that of the cylindrical base is 6 cm. Find the area of the metallic sheet used to make the bucket, where we do not take into account the handle of the bucket. Also, find the volume of water the bucket can hold.  Class 10 Maths Chapter 12 Previous Year Questions - Surface Area and Volumes[CBSE 2019(30/5/1)]Class 10 Maths Chapter 12 Previous Year Questions - Surface Area and Volumes

Class 10 Maths Chapter 12 Previous Year Questions - Surface Area and VolumesView Answer  Class 10 Maths Chapter 12 Previous Year Questions - Surface Area and Volumes

Ans: The total height of the bucket = 40 cm, which includes the height of the base. So, the height of the frustum of the cone = (40 - 6) cm = 34 cm.
Therefore, the slant height of the frustum,

l = √(R2 + (r1 - r2)2)

where, r1 = 452 cm = 22.5 cm

r2 = 252 cm = 12.5 cm and h = 34 cm

So, l = √(342 + (22.5 - 12.5)2) = √(342 + 102) = 35.44 cm

Area of the metallic sheet used

Curved surface area of frustum of cone + Area of circular base + Curved surface area of cylinder

= [π × 35.44 (22.5 + 12.5) + π × (12.5)2 + 2π × 12.5 × 6] cm2

= 227 × (1240.4 + 156.25 + 150) cm2

= 4860.9 cm2

Now, the volume of water that the bucket can hold (also, known as the capacity of the bucket)

Volume of frustum:

= 13 π × h (r12 + r22 + r1r2)

= 13 × 227 × 34 × (22.52 + 12.52 + 22.5 × 12.5) cm3

= 13 × 227 × 34 × 943.75 = 33615.48 cm3

= 33.62 litres (approx.)


Q28: A cylindrical bucket, 32 cm high and with a radius of base 18 cm, is filled with sand. This bucket is emptied on the ground and a conical heap of sand is formed. If the height of the conical heap is 24 cm, find the radius and slant height of the heap.
OR
A girl empties a cylindrical bucket, full of sand, of base radius 18 cm and height 32 cm, on the floor to form a conical heap of sand. If the height of this conical heap is 24 cm, then find its slant height correct up to one place of decimal.    
[CBSE (E) 2014, 2019 (30/5/1)] 

Class 10 Maths Chapter 12 Previous Year Questions - Surface Area and VolumesView Answer  Class 10 Maths Chapter 12 Previous Year Questions - Surface Area and Volumes

Ans: Class 10 Maths Chapter 12 Previous Year Questions - Surface Area and VolumesWe have,
Radius of cylindrical bucket =18 cm
Height of cylindrical bucket = 32 cm
And the height of conical heap = 24 cm
Let the radius of the conical heap be r cm
Volume of the sand = volume of the cylindrical bucket
= πr2h = π x (18)2 x 32
Now, volume of conical heap Class 10 Maths Chapter 12 Previous Year Questions - Surface Area and Volumes
Here, volume of the conical heap will be equal to the volume of sand
∴ 8πr2 = π x (18)2 x 32
⇒ r2 = 18 x 18 x 4 = (18)2 x (2)2
⇒ r2 = (36)2 or r = 36 cm
Class 10 Maths Chapter 12 Previous Year Questions - Surface Area and Volumes
Class 10 Maths Chapter 12 Previous Year Questions - Surface Area and Volumes

Previous Year Questions 2018

Q29: The diameters of the lower and upper ends of a bucket in the form of a frustum of a cone are 10 cm and 30 cm respectively. If its height is 24 cm, find the area of the metal sheet used to make the bucket. [Use π = 3.14]     [CBSE 2018]

Class 10 Maths Chapter 12 Previous Year Questions - Surface Area and VolumesView Answer  Class 10 Maths Chapter 12 Previous Year Questions - Surface Area and Volumes

Ans: Class 10 Maths Chapter 12 Previous Year Questions - Surface Area and Volumes

For bucket,

Upper diameter (D) = 30 cm

∴ Radius (R) = 302 = 15 cm

Lower diameter (d) = 10 cm

Radius (r) = 102 = 5 cm

Height of bucket (h) = 24 cm

The area of the metal sheet used = CSA of the frustum (bucket) + Area of bottom part (base)

= π(R + r)l + πr2

= π(R + r) × √(h2 + (R - r)2) + πr2

[∵ Slant height (l) = √(h2 + (R - r)2)]

= 3.14 × (15 + 5) × √(242 + (15 - 5)2) + 3.14 × (5)2

= 3.14 × 20 × √(576 + 100) + 3.14 × 25

= 62.8 × √676 + 78.5

= 62.8 × 26 + 78.5

= 1632.8 + 78.5 = 1711.3 cm2

Previous Year Questions 2017

Q30: A metallic right circular cone 20 cm high whose vertical angle is 60° which is cut into two parts at the middle of its height by a plane parallel to its base. If the frustum so obtained be drawn into a wire of diameter 1/16 cm, find the length of the wire.    [NCERT, CBSE (F) 2017]

Class 10 Maths Chapter 12 Previous Year Questions - Surface Area and VolumesView Answer  Class 10 Maths Chapter 12 Previous Year Questions - Surface Area and Volumes

Ans: Let VAB be the metallic right circular cone of height 20 cm. Suppose this cone is cut by a plane parallel to its base at a point O' such that VO' = O' O i.e., O' is the midpoint of VO.
Let r1 and r2 be the radii of circular ends of the frustum ABB' A'.
Now, in ΔVOA and VO' A', we have

⇒ tan 30° = OAVO and tan 30° = O'A'V'O'

1√3 = r120 and 1√3 = r210

⇒ r1 = 20√3 and r2 = 10√3

∴ Volume of the frustum = 13 πh (r12 + r22 + r1r2)

= 13 × π × 10 × [ (20/√3)2 + (10/√3)2 + (20/√3 × 10/√3) ]

= 10π3 × [400/3 + 100/3 + 200/3]

= 10π3 × 7003 cm3

Let the length of wire of diameter 1/16 cm be l cm. Then,

Volume of metal used in wire

= π × (1/32)2× l = πl/1024 cm3

Since the frustum is recast into a wire of length l cm and diameter 1/16 cm,

∴ Volume of the metal used in wire = volume of the frustum

πl1024 = 7000π9

⇒ l = 7000 × 10249

= 796144.4 cm = 7964.444 m


Q31: A solid metallic cylinder of diameter 12 cm and height 15 cm is melted and recast into toys each in the shape of a cone of radius 3 cm and height 9 cm. Find the number of toys so formed.     [AI 2017 (C)]

Class 10 Maths Chapter 12 Previous Year Questions - Surface Area and VolumesView Answer  Class 10 Maths Chapter 12 Previous Year Questions - Surface Area and Volumes

Ans:  Diameter of metallic cylinder = 12 cm
∴ Radius of metallic cylinder (r) = 6 cm
Height (h) = 15 cm
Volume of cylinder = πr2h = π(6)2 x 15 cm3
Radius of cone = 3 cm
Height of cone = 9 cm
Volume of cone = 1/3 π(3)2 x 9 = 3 x 9π cm3
Number of toys so formed = Class 10 Maths Chapter 12 Previous Year Questions - Surface Area and Volumes
If the question is “A tent is in the form of a cylinder surmounted by a cone. Find the capacity of the tent and the cost of canvas for making the tent at Rs 100 per sq.m.”, then the solution is given as “Tent is a combination of a cylinder and a cone. For capacity
∴ Volume (capacity) of the tent = Volume of the cylindrical part + Volume of the conical part
For the cost of the canvas, we find the total surface area.
Total surface area = Curved area of the cylindrical part + Curved surface area of the conical part
Now, proceed to find its cost.”
Note: Don’t solve as “Total surface area of canvas = Total surface area of cylinder + Total surface area of a cone and proceed further"
This is the wrong solution.


Q32: The 3/4th part of a conical vessel of internal radius 5 cm and height 24 cm is full of water. The water is emptied into a cylindrical vessel with an internal radius of 10 cm. Find the height of water in a cylindrical vessel.    [Delhi 2017]

Class 10 Maths Chapter 12 Previous Year Questions - Surface Area and VolumesView Answer  Class 10 Maths Chapter 12 Previous Year Questions - Surface Area and Volumes

Ans: Radius of conical vessel (r) = 5 cm
Height of conical vessel (h) = 24 cm
Radius of cylindrical vessel (R) = 10 cm
Class 10 Maths Chapter 12 Previous Year Questions - Surface Area and Volumes

Let H be the height of water in the cylindrical vessel.

Now, the total volume of the conical vessel

= 13 πr2h = 13 × 227 × (5)2 × 24 cm3

= 22 × 25 × 247 × 3 cm3

According to the question,

3/4 of the volume of water from the conical vessel is emptied into the cylindrical vessel.

34 × Volume of conical vessel = Volume of water in the cylindrical vessel

34 × 22 × 25 × 247 × 3 = πR2H

3 × 22 × 25 × 244 × 7 × 3 = 227 × (10)2 × H

⇒ 25 × 6 = 10 × 10 × H

H1 = 25 × 610 × 10

⇒ H = 1.5 cm

∴ Height of water in the cylindrical vessel = 1.5 cm


Q33: In a rain-water harvesting system, the rainwater from a roof of 22 m x 20 m drains into a cylindrical tank having a diameter of base 2 m and height of 3.5 m. If the tank is full, find the rainfall in cm.    [AI 2017]

Class 10 Maths Chapter 12 Previous Year Questions - Surface Area and VolumesView Answer  Class 10 Maths Chapter 12 Previous Year Questions - Surface Area and Volumes

Ans: Class 10 Maths Chapter 12 Previous Year Questions - Surface Area and VolumesLength of roof (l) = 22 m
Breadth of roof (b) = 20 m
Let the height of water column collected on roof= hm
∴ Volume of standing water on rooftop = lbh
= (22 x 20 x h) m3 
This water is taken into a cylindrical tank of diameter of base 2 m and height 3.5 m.
Tank gets completely filled with this amount of water.
⇒ Volume of water from roof-top = Volume of cylinder
Diameter of tank = 2 m
∴ Radius of tank = 2/2 = 1 m

⇒ Volume of tank = πr2h

= 227 × (1)2 × 3.5 m3

A.T.Q.

(22 × 20 × h) m3 = 227 × 1 × 3.5 m3

⇒ h = 22 × 3.57 × 22 × 20

⇒ h = 777 × 22 × 30

= 0.025 m = 2.5 cm
Hence rainfall is 2.5 cm.


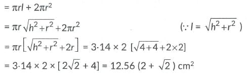
Q34: From a solid cylinder whose height is 2.4 cm and diameter 1.4 cm, a conical cavity of the same height and same diameter is hollowed out. Find the total surface area of the remaining solid to the nearest cm2.    [CBSE (AI) 2017]

Class 10 Maths Chapter 12 Previous Year Questions - Surface Area and VolumesView Answer  Class 10 Maths Chapter 12 Previous Year Questions - Surface Area and Volumes

Ans: We have,
Radius of the cylinder = Class 10 Maths Chapter 12 Previous Year Questions - Surface Area and VolumesHeight of the cylinder = 2.4 cm
Also, radius of the cone = 0.7 cm and height of the cone = 2.4 cm
Now, slant height of the cone =Class 10 Maths Chapter 12 Previous Year Questions - Surface Area and Volumes

Class 10 Maths Chapter 12 Previous Year Questions - Surface Area and Volumes
∴ Total surface area of the remaining solid
= curved surface area of cylinder + curved surface area of the cone + area of upper circular base of the cylinder.
Class 10 Maths Chapter 12 Previous Year Questions - Surface Area and Volumes
Class 10 Maths Chapter 12 Previous Year Questions - Surface Area and Volumes


Q35: A circus tent is in the shape of a cylinder surmounted by a conical top of the same diameter. If their common diameter is 56 m, the height of the cylindrical part is 6 m and the total height of the tent above the ground is 27 m, find the area of canvas used in making the tent. (CBSE 2017)

Class 10 Maths Chapter 12 Previous Year Questions - Surface Area and VolumesView Answer  Class 10 Maths Chapter 12 Previous Year Questions - Surface Area and Volumes

Ans: 
Class 10 Maths Chapter 12 Previous Year Questions - Surface Area and Volumes

Total height of the tent above the ground = 27 m

Height of the cylindrical part,

h1 = 6 m

Height of the conical part,

h2 = 21 m

Diameter = 56 m

Radius = 28 m

Curved surface area of the cylinder, CSA1

= 2πrh = 2π × 28 × 6 = 336π

Curved surface area of the cone, CSA2

= πrl = π × 28 × h22 + r2

= π × 28 × 212 + 282

= 28π × 441 + 784

= 28π × 35

= 980π

Total curved surface area = CSA of cylinder + CSA of cone

= CSA1 + CSA2

= 336π + 980π

= 1316π

= 4136 m2

Previous Year Questions 2016

Q36: A sphere of diameter 12 cm, is dropped in a right circular cylindrical vessel, partly filled with water. If the sphere is completely submerged in water, the water level in the cylindrical vessel rises by Class 10 Maths Chapter 12 Previous Year Questions - Surface Area and Volumes Find the diameter of the cylindrical vessel. [CBSE (AI) 2016]

Class 10 Maths Chapter 12 Previous Year Questions - Surface Area and VolumesView Answer  Class 10 Maths Chapter 12 Previous Year Questions - Surface Area and Volumes

Ans: Volume of sphere = 43 π(6)3 cm3

Volume of water rise in cylinder

= πr2 329 cm3

∴ πr2 329 = 43 π(6)3

⇒ r2 = 4 × 2 × 36 × 932 = 81

⇒ r = 9 cm

Previous Year Questions 2015

Q37: Two spheres of the same metal weigh 1 kg and 7 kg. The radius of the smaller sphere is 3 cm. The two spheres are melted to form a single big sphere. Find the diameter of the new sphere.    [CBSE (F) 2015]

Class 10 Maths Chapter 12 Previous Year Questions - Surface Area and VolumesView Answer  Class 10 Maths Chapter 12 Previous Year Questions - Surface Area and Volumes

Ans: Volume of the smaller sphere

= 43 πr3 = 43 π(3)3 = 43 π(27) = 36π

Volume of smaller sphere × density = mass

∴ 36π (density of metal) = 1

Density of metal = 136π

∴ Volume of bigger sphere × density = mass

= 43 π (R)3 × 136π = 7

R3 = 7 × 36 × 34 = 7 × 9 × 3

(i) Volume of new sphere = volume of smaller sphere + volume of bigger sphere

= 43 π(R')3 = 43 πr3 + 43 πR3 (where R' is the radius of the new sphere)

= 43 π(3)3 + 43 π(7 × 9 × 3) [using (i)]

= 43 π [33 + 7 × 9 × 3]


(R')3 = [33 + 7 x 33]
(R')3 = 33(l + 7)
(R')3 = 33 x 8
(R')3 =  33 x 23
R' =3 x 2
R' = 6 cm
∴ Diameter of new sphere =12 cm.

Q38: A hemispherical bowl of internal diameter 36 cm contains liquid. This liquid is filled into 72 cylindrical bottles of diameter 6 cm. Find the height of each bottle, if 10% liquid is wasted in this transfer.   [CBSE (AI) 2015]

Class 10 Maths Chapter 12 Previous Year Questions - Surface Area and VolumesView Answer  Class 10 Maths Chapter 12 Previous Year Questions - Surface Area and Volumes

Ans: Radius of hemispherical bowl, R = 36/2 = 18 cm
Radius of cylindrical bottle, r = 6/2 = 3 cm
Let height of cylindrical bottle = h
Since 10% liquid is wasted, therefore only 90% liquid is filled into 72 cylindrical bottles.
∴ The volume of 72 cylindrical bottles = 90% of the volume in the bowl

⇒ 72 × πr2h = 90% of 23 πR3

72 × π × 3 × 3 × h = 90100 × 23 × π × 18 × 18 × 18

h = 90 × 2 × π × 18 × 18 × 18100 × 3 × π × 72 × 3 × 3

h = 275 = 5.4 cm

Q38: A cone with radius 10 cm is divided into two parts by drawing a plane through the mid-point of its axis, parallel to its base. Compare the volumes of the two parts.    [CBSE (AI) 2015]Class 10 Maths Chapter 12 Previous Year Questions - Surface Area and Volumes

Class 10 Maths Chapter 12 Previous Year Questions - Surface Area and VolumesView Answer  Class 10 Maths Chapter 12 Previous Year Questions - Surface Area and Volumes

Ans: Let.BC = r cm, DE = 10 cm
Since B is the mid-point of AD and BC is parallel to DE, therefore C is the mid-point of AE.
∴ AC = CE
Also, ΔABC ~ ΔADE
Class 10 Maths Chapter 12 Previous Year Questions - Surface Area and Volumes
Class 10 Maths Chapter 12 Previous Year Questions - Surface Area and Volumes
Class 10 Maths Chapter 12 Previous Year Questions - Surface Area and Volumes
Class 10 Maths Chapter 12 Previous Year Questions - Surface Area and Volumes
∴ The required ratio = 1 : 7.
Class 10 Maths Chapter 12 Previous Year Questions - Surface Area and Volumes

The document Class 10 Maths Chapter 12 Previous Year Questions - Surface Area and Volumes is a part of the Class 10 Course Mathematics (Maths) Class 10.
All you need of Class 10 at this link: Class 10
127 videos|584 docs|79 tests

FAQs on Class 10 Maths Chapter 12 Previous Year Questions - Surface Area and Volumes

1. What are surface areas and volumes, and why are they important in mathematics?
Ans.Surface areas and volumes are fundamental concepts in geometry that represent the amount of space an object occupies (volume) and the area that covers the surface of an object (surface area). They are important because they have practical applications in various fields such as engineering, architecture, and manufacturing, allowing for the calculation of materials needed, space utilization, and design specifications.
2. How do I calculate the surface area of a cube?
Ans.To calculate the surface area of a cube, you can use the formula: Surface Area = 6 × (side length)². This is because a cube has six equal square faces. For example, if the side length of a cube is 4 cm, the surface area would be 6 × (4 cm)² = 96 cm².
3. What is the formula for the volume of a cylinder?
Ans.The formula for the volume of a cylinder is: Volume = π × (radius)² × height. This formula calculates the amount of space inside the cylinder. For instance, if the radius is 3 cm and the height is 5 cm, the volume would be π × (3 cm)² × 5 cm = 45π cm³, approximately 141.37 cm³.
4. Can you explain how to find the surface area of a sphere?
Ans.The surface area of a sphere can be calculated using the formula: Surface Area = 4 × π × (radius)². This formula accounts for the entire outer surface of the sphere. For example, if the radius is 7 cm, the surface area would be 4 × π × (7 cm)² = 196π cm², which is approximately 615.75 cm².
5. What role do surface areas and volumes play in real-life applications?
Ans.Surface areas and volumes are crucial in real-life applications such as determining the amount of paint needed to cover a surface (surface area) or the capacity of a tank (volume). They are also used in shipping to calculate space utilization and in manufacturing to minimize material waste. Understanding these concepts helps in making informed decisions in both personal and professional projects.
Related Searches

Viva Questions

,

Class 10 Maths Chapter 12 Previous Year Questions - Surface Area and Volumes

,

practice quizzes

,

study material

,

Objective type Questions

,

shortcuts and tricks

,

Previous Year Questions with Solutions

,

Important questions

,

past year papers

,

Sample Paper

,

Exam

,

mock tests for examination

,

pdf

,

Summary

,

ppt

,

video lectures

,

Free

,

MCQs

,

Extra Questions

,

Class 10 Maths Chapter 12 Previous Year Questions - Surface Area and Volumes

,

Semester Notes

,

Class 10 Maths Chapter 12 Previous Year Questions - Surface Area and Volumes

;