Class 10 Exam  >  Class 10 Notes  >  Mathematics (Maths) Class 10  >  Previous Year Questions: Triangles

Previous Year Questions: Triangles | Mathematics (Maths) Class 10 PDF Download

Previous Year Questions 2025

Q1: The perimeter of an isosceles triangle is 32 cm. If each equal side is 5th/6  of the base, find the area of the triangle. 

Previous Year Questions: Triangles | Mathematics (Maths) Class 10View Answer  Previous Year Questions: Triangles | Mathematics (Maths) Class 10

Ans: Let ABC be an isosceles triangle with length of base BC = a 
Previous Year Questions: Triangles | Mathematics (Maths) Class 10
⇒ 16a = 32 × 6 ⇒ a = 12 cm 
∴ BC = 12 cm, AB = 10 cm, AC= 10 cm 
Previous Year Questions: Triangles | Mathematics (Maths) Class 10

Draw AD ⊥ BC so that BD = DC =  12/2 = 6 cm
ln Δ ABD, 
AD2 = AB2 - BD2 (By Pythagoras theorem) 
⇒ AD2 = 102 - 62 = 100 - 36 
⇒ AD2 = 64 ⇒ AD = 8 cm 
So, height of ΔABD, h = 8 cm 
Previous Year Questions: Triangles | Mathematics (Maths) Class 10
Previous Year Questions: Triangles | Mathematics (Maths) Class 10

Q2: The perimeter of a right triangle is 60 cm and its hypotenuse is 25 cm. Find the lengths of other two sides of the triangle.

Previous Year Questions: Triangles | Mathematics (Maths) Class 10View Answer  Previous Year Questions: Triangles | Mathematics (Maths) Class 10

Ans: 
Let ABC be a right angled triangle. 
Since, the perimeter the right triangle is 60 cm, 
AB + BC+ CA = 60 
⇒ AB + BC+ 25 = 60    {∵ AC = 25 cm}
⇒ AB + BC = 35    ... (i) 
ln ΔABC, 
AC2 = AB2 + BC2 {By using Pythagoras theorem} 
⇒ (25)2 = (AB + BC)2 - 2(AB)(BC) 
⇒ 2(AB)(BC) = (35)2 - (25)2   { Using(i)} 
⇒ (AB)(BC) = 300    ... (ii) 
Now, 
(AB - BC)2 = (AB + BC)2 - 4(AB)(BC) 
⇒ (AB - BC)2 = (35)2 - 4 × 300 {∵ Using(i)} 
⇒  AB - BC = √25 = 5    ...(iii)
Previous Year Questions: Triangles | Mathematics (Maths) Class 10

Adding eqn (i) & (iii), we get 
2AB = 40  ⇒ AB = 20 cm 
From (i), AB+ BC= 35 
⇒ BC = 35 - 20 = 15 cm 
Hence, lengths of other two sides of the triangle are 20 cm and 15cm. 

Q3: In the adjoining figure, PQ||XY||BC, AP = 2 cm, PX = 1.5 cm and BX = 4 cm. If QY = 0.75 cm, then AQ + CY = 
Previous Year Questions: Triangles | Mathematics (Maths) Class 10(a) 6 cm
(b) 4.5 cm
(c) 3 cm
(d) 5.25 cm

Previous Year Questions: Triangles | Mathematics (Maths) Class 10View Answer  Previous Year Questions: Triangles | Mathematics (Maths) Class 10

Ans: (c) 
Given, PQ ||XY || BC, AP = 2 cm, PX = 1.5 cm, BX = 4 cm and QY = 0.75 cm. 
Previous Year Questions: Triangles | Mathematics (Maths) Class 10
Similarly, AQ = AP/2 = 1cm and CY BX/2 = 4/2 cm 
So, AQ + CY= 1 + 2 = 3 cm

Q4:  Given ΔABC ∼ ΔPQR, ∠A = 30° and ΔQ = 90°. The value of (∠R +∠B) is 
(a) 90° 
(b) 120° 
(c) 150° 
(d) 180° 

Previous Year Questions: Triangles | Mathematics (Maths) Class 10View Answer  Previous Year Questions: Triangles | Mathematics (Maths) Class 10

Ans: (c)
Given, ΔABC  ΔPQR, ∠A = 30°, ∠Q = 90° 
Since , ΔABC  ΔPQR 
∠A = ∠P = 30°, ∠B = ∠Q = 90° 
So, ∠C = ∠R = 180° - 90° - 30° = 60° 
⇒ (LR + LB) = (60° + 90°) = 150° 

Q5: In the given figure, in ΔABC, DE||BC. If AD = 2.4 cm, DB = 4 cm and AE = 2 cm, then the length of AC is
Previous Year Questions: Triangles | Mathematics (Maths) Class 10

(a) 10/3 cm
(b) 3/10 cm
(c) 16/3 cm
(d) 1.2 cm

Previous Year Questions: Triangles | Mathematics (Maths) Class 10View Answer  Previous Year Questions: Triangles | Mathematics (Maths) Class 10

Ans: (c) 
In ΔABC, DE||BC
Previous Year Questions: Triangles | Mathematics (Maths) Class 10By Basic Proportionality Theorem, 
Previous Year Questions: Triangles | Mathematics (Maths) Class 10

Q6: If a line drawn parallel to one side of triangle intersecting the other two sides in distinct points divides the two sides in the same ratio, then it is parallel to third side. State and prove the converse of the above statement.

Previous Year Questions: Triangles | Mathematics (Maths) Class 10View Answer  Previous Year Questions: Triangles | Mathematics (Maths) Class 10

Ans: Statement: If a line is drawn parallel to one side of a triangle, then it divides the other two sides in the same ratio. 
Previous Year Questions: Triangles | Mathematics (Maths) Class 10Given: In ΔABC, ∵ IIBC, which intersects AB and AC at 'D' and 'E' respectively.
To prove:  AD/DB = AE/EC 
Construction: Draw OM ⊥ AC and EN ⊥ AB. Also, join B to E and C to D. 
Previous Year Questions: Triangles | Mathematics (Maths) Class 10

Q7: If in two triangles ΔDEF and ΔPQR, ∠D = Q and ∠R = E, then which of the following is not true?
(a) DE/QR = DF/PQ
(b) EF/PR = DF/PQ
(c) EF/RP = DE/QR
(d) DE/PQ = EF/RP

Previous Year Questions: Triangles | Mathematics (Maths) Class 10View Answer  Previous Year Questions: Triangles | Mathematics (Maths) Class 10

Ans: (d)
Previous Year Questions: Triangles | Mathematics (Maths) Class 10Given, in triangles 
ΔDEF and ΔPQR 
∠D = ∠Q 
∠R =∠E 
ΔDEF ∼ ΔPQR
Previous Year Questions: Triangles | Mathematics (Maths) Class 10

(If triangles are similar then corresponding sides are proportional) 
Hence, option (d) is not true. 

Q8: The measurements of ΔLMN and ΔABC are shown in the figure given below. The length of side AC is: 
Previous Year Questions: Triangles | Mathematics (Maths) Class 10(a) 16cm 
(b) 7cm
(c) 8cm  
(d) 4cm 

Previous Year Questions: Triangles | Mathematics (Maths) Class 10View Answer  Previous Year Questions: Triangles | Mathematics (Maths) Class 10

Ans: (c) 
In ΔLMN, ∠L + ∠M + ∠N = 180°
∠L + 130° + 28° = 180° ⇒ ∠L + 158° = 180°
⇒ ∠L = 22°
In ΔLMN and ΔABC, ∠L = ∠A, ∠M = ∠B
∴ ΔLMN ∼ ΔABC [By AA similarity criterion]
Previous Year Questions: Triangles | Mathematics (Maths) Class 10

Q9: In the given figure, in ΔABC, AD ⊥ BC and ∠BAC = 90°. If BC = 16 cm and DC = 4 cm, then the value of x is: 
Previous Year Questions: Triangles | Mathematics (Maths) Class 10(a) 4 cm 
(b) 5 cm 
(c) 8 cm 
(d) 3 cm

Previous Year Questions: Triangles | Mathematics (Maths) Class 10View Answer  Previous Year Questions: Triangles | Mathematics (Maths) Class 10

Ans: (c)
In ΔABC and ΔDAC
∠BAC = ∠ADC = 90°
∠C = ∠C (Common)
So, ΔABC ∼ ΔADC (By AA similarity)
Previous Year Questions: Triangles | Mathematics (Maths) Class 10Previous Year Questions: Triangles | Mathematics (Maths) Class 10
⇒ x2 = 16 × 4 = 64 
⇒ x = 8 cm

Q10: In triangles ABC and DEF, ∠B = ∠E , ∠F = ∠C and AB = 3DE. Then, the two triangles are: 
(a) congruent but not similar 
(b) congruent as well as similar 
(c) neither congruent nor similar 
(d) similar but not congruent 

Previous Year Questions: Triangles | Mathematics (Maths) Class 10View Answer  Previous Year Questions: Triangles | Mathematics (Maths) Class 10

Ans: (d) 
In ΔABC and ΔDEF
∠B = ∠E (Given)
∠C = ∠F (Given)
∴ ΔABC ~ ΔDEF [By AA similarity criterion]

Q11: If ΔABC ~ ΔPQR in which AB = 6 cm, BC = 4 cm, AC = 8 cm and PR = 6 cm, then find the length of (PQ + QR).

Previous Year Questions: Triangles | Mathematics (Maths) Class 10View Answer  Previous Year Questions: Triangles | Mathematics (Maths) Class 10

Ans: 
Since, ΔABC ~ ΔPQR 
Previous Year Questions: Triangles | Mathematics (Maths) Class 10

Q12:  In the given figure, QR/QS = QT/PR and  ∠1 = ∠2, show that ΔPQs ~ ΔTQR.
Previous Year Questions: Triangles | Mathematics (Maths) Class 10

Previous Year Questions: Triangles | Mathematics (Maths) Class 10View Answer  Previous Year Questions: Triangles | Mathematics (Maths) Class 10

Ans:
Given,  QR/QS = QT/PQ
and ∠1 = ∠2 ... (i)
Since, ∠1 = ∠2 ... (ii)
∴ PQ = PR ... (iii)
∴ QR/QS = QT/PQ [Using (i) and (iii)]
∴ PS || RT    [By converse of Basic Proportionality Theorem]
∴ ∠QPS = ∠QTR    [Corresponding angles]
and ∠QSP = ∠QRT    [Corresponding angles]
∴ △PQS ~ △TQR    [By AA similarity criterion]
Hence, proved.

Q13: P is a point on the side BC of ΔABC such that ∠APC = ∠BAC. Prove that AC² = BC · CP.

Previous Year Questions: Triangles | Mathematics (Maths) Class 10View Answer  Previous Year Questions: Triangles | Mathematics (Maths) Class 10

Ans: 
Previous Year Questions: Triangles | Mathematics (Maths) Class 10Given: ∠APC = ∠BAC
In ΔABC and ΔPAC,
∠BAC = ∠APC    (Given)
∠ACB = ∠ACP    (Common)
∴ By AA criterion, ΔABC ~ ΔPAC.
Thus, corresponding sides are proportional.
∴ AC/CP = BC/AC
∴ AC² = BC·CP
Hence, proved.

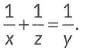
Q14: In the given figure, PA, QB and RC are perpendicular to AC. If PA = x units, QB = y units and RC= z units, prove that Previous Year Questions: Triangles | Mathematics (Maths) Class 10
Previous Year Questions: Triangles | Mathematics (Maths) Class 10

OR
In the given figure, PA, QB and RC are each perpendicular to AC. If AP = x, BQ = y and CR = z, then prove that 1/x + 1/z = 1/y.
Previous Year Questions: Triangles | Mathematics (Maths) Class 10

Previous Year Questions: Triangles | Mathematics (Maths) Class 10View Answer  Previous Year Questions: Triangles | Mathematics (Maths) Class 10

Ans: 
In ΔAPC and ΔBQC, we have
∠PAC = ∠QBC     (Each 90°)
ΔACP = ΔBCQ     (Common)
∴ ΔAPC ~ ΔBQC     (By AA similarity)
⇒ AP/BQ = AC/BC
⇒ x/y = AC/BC     ...(i)
Again, in ΔACR and ΔABQ, we have
∠ACR = ∠ABQ     (Each 90°)
∠CAR = ∠BAQ (Common)
∴ ΔACR ~ ΔABQ     (By AA similarity)
⇒ AC/AB = CR/BQ
⇒ AC/AB = Z/Y   ...(ii)
From (i) and (ii), we have
Previous Year Questions: Triangles | Mathematics (Maths) Class 10

Previous Year Questions: Triangles | Mathematics (Maths) Class 10

Hence, proved.

Q15: Sides AB and BC and median AD of a triangle ABC are respectively proportional to sides PQ and QR and median PM of ΔPQR. Show that ΔABC ~ ΔPQR.

Previous Year Questions: Triangles | Mathematics (Maths) Class 10View Answer  Previous Year Questions: Triangles | Mathematics (Maths) Class 10

Ans: Given, ΔABC and ΔPQR in which AD and PM are the medians such that Previous Year Questions: Triangles | Mathematics (Maths) Class 10
Previous Year Questions: Triangles | Mathematics (Maths) Class 10Previous Year Questions: Triangles | Mathematics (Maths) Class 10
∴ ΔABD ~ ΔPQM     [By SSS similarity]
⇒ ∠B = ∠Q
Now, in ΔABC and ΔPQR,
AB/PQ = BC/QR    [Given]
∠B = ∠Q (Proved above)
∴ ΔABC ~ ΔPQR     (By SAS similarity)

Q16: The diagonal BD of a parallelogram ABCD intersects the line segment AE at the point F, where E is any point on the side BC. Prove that DF × EF = FB × FA. 

Previous Year Questions: Triangles | Mathematics (Maths) Class 10View Answer  Previous Year Questions: Triangles | Mathematics (Maths) Class 10

Ans: 
In ΔDAF and ΔBEF,
∠DAF = ∠BEF     [Alternate interior angles]
∠AFD = ∠EFB     [Vertically opposite angles] ∴ ΔDAF ~ ΔBEF     [By AAA similarity criterion]
Previous Year Questions: Triangles | Mathematics (Maths) Class 10∴ DF/BF = AF/EF [Corresponding sides of similar triangles] 
⇒ DF ×  EF = AF × BF 

Q17: In ΔABC, if AD ⊥ BC and AD2 = BD × DC, then prove that ∠BAC = 90°. 

Previous Year Questions: Triangles | Mathematics (Maths) Class 10View Answer  Previous Year Questions: Triangles | Mathematics (Maths) Class 10

Ans: 

Previous Year Questions: Triangles | Mathematics (Maths) Class 10Given, In ΔABC, AD ⊥ BC
and AD² = BD × DC
⇒ AD × AD = BD × DC
⇒ AD/BD = DC/AD
In ΔABD and ΔCAD,
AD/BD = DC/AD and ∠ADB = ∠ADC = 90° 
⇒ ΔABD ~ ΔCAD
⇒ ∠BAD = ∠ACD and ∠ABD = ∠CAD
Now, in ΔABD, ∠BAD + ∠CAD = 90°
⇒ ∠BAD + ∠BAD = 90°    [∵ ∠ABD = ∠CAD]
⇒ ∠BAC = 90°

Q18: In the adjoining figure, ΔCAB is a right triangle, right angled at A and AD ⊥ BC. Prove that ΔADB ~ ΔCDA. Further, if BC = 10 cm and CD = 2 cm, find the length of AD.
Previous Year Questions: Triangles | Mathematics (Maths) Class 10

Previous Year Questions: Triangles | Mathematics (Maths) Class 10View Answer  Previous Year Questions: Triangles | Mathematics (Maths) Class 10

Ans:
Previous Year Questions: Triangles | Mathematics (Maths) Class 10

In ΔADB and ΔCDA,
∠ADB = ∠CDA     [Each 90°]
∠DAB = ∠DCA     [Each (90° - B)]
∴ ΔADB ~ ΔCDA     [By AA similarity]
Also, AD/CD = BD/AD
⇒ AD² = BD × CD
⇒ AD² = 8 × 2        [∵ BO = BC - CD] 
⇒ AD = 4 cm

Previous Year Questions 2024

Q1: In ΔABC, DE || BC (as shown in the figure). If AD = 2 cm, BD = 3 cm, BC = 7.5 cm, then the length of DE (in cm) is:     (CBSE 2024)
Previous Year Questions: Triangles | Mathematics (Maths) Class 10(a) 2.5
(b) 3
(c) 5
(d) 6

Previous Year Questions: Triangles | Mathematics (Maths) Class 10View Answer  Previous Year Questions: Triangles | Mathematics (Maths) Class 10

Ans: (b) 
Previous Year Questions: Triangles | Mathematics (Maths) Class 10

Consider the triangles ΔADE and ΔABC.

Since DE || BC, the corresponding angles are equal.

Hence, 
∠ADE = ∠ABC

∠AED = ∠ACB

Thus, by AA similarity, we find that ΔADE and ΔABC are similar.

So, ΔADE ~ ΔABC.

When two triangles are similar, their corresponding sides are proportional.

This gives the equation:
AE/AC = DE/BC = AD/AB

From this, we write:
AD/AB = DE/BC

We know that:
AB = AD + BD = 2 + 3 = 5 cm

Substituting values:
2/5 = DE/7.5

Using cross multiplication:
2 × 7.5 = 5 × DE
DE = (15/5)
DE = 3 cm

Q2: In ΔABC, if AD ⊥ BC and AD2 = BD × DC, then prove that ∠BAC = 90º. (CBSE 2024)Previous Year Questions: Triangles | Mathematics (Maths) Class 10

Q3: The greater of two supplementary angles exceeds the smaller by 18°. Find the measures of these two angles. (2024)

Previous Year Questions: Triangles | Mathematics (Maths) Class 10View Answer  Previous Year Questions: Triangles | Mathematics (Maths) Class 10

Ans:
Let the measures of the two angles be x° and y° (x > y).
Given:
x + y = 180° ........ (i)     (Sum of Supplementary angles are 180°)
Also, 
x - y = 18°   ........ (ii)      (Given)

Adding both the equations, we get:
2x = 198°
x = 99°
By putting value of x in equation (i)
we get,
 99° + y = 180°
y = 180° - 99° = 81°
Hence, y = 81° and x = 99°.

Q4: If a line is drawn parallel to one side of a triangle to intersect the other two sides in distinct points, then prove that the other two sides are divided in the same ratio. (2024)

Previous Year Questions: Triangles | Mathematics (Maths) Class 10View Answer  Previous Year Questions: Triangles | Mathematics (Maths) Class 10

Ans:

Previous Year Questions: Triangles | Mathematics (Maths) Class 10Given: In ΔABC, DE || BC
To Prove: DB/AD =EC/AE

Proof:
In ΔABC and ΔADE

∠AED = ∠ACB (Corresponding angles)
∠ADE = ∠ABC (Corresponding angles)
∠EAD is common to both the triangles 

∴ ΔAED ~ ΔACB by AAA similarity

⇒ AC / AE = AB / AD   ( ∴ corresponding sides of similar triangles are proportional) ...............(i)
⇒ Also, AC = AE + EC and AB = AD + BD
Putting these values in (i), we get

⇒ (AE + EC) / AE = (AD + BD) / AD

⇒ EC / AE = BD / AD

Hence proved.

Q5: Sides AB and BC and median AD of a ΔABC are respectively proportional to sides PQ and QR and median PM of ΔPQR. Show that ΔABC ∼ ΔPQR. (2024)

Previous Year Questions: Triangles | Mathematics (Maths) Class 10View Answer  Previous Year Questions: Triangles | Mathematics (Maths) Class 10

Ans:Previous Year Questions: Triangles | Mathematics (Maths) Class 10

Since AD and PM are medians of ΔABC and ΔPQR,
∴ BD = 1/2 BC and QM = 1/2 QR ……….(1)

Given that,
AB / PQ = BC / QR = AD / PM ……….(2)

From (1) and (2),
AB / PQ = BD / QM = AD / PM ……….(3)

In ΔABD and ΔPQM,
AB / PQ = BD / QM
By SSS criterion of proportionality,
ΔABD ~ ΔPQM
∴ ∠B = ∠Q (Corresponding Sides of Similar Triangles) ……….(4)

In ΔABC and ΔPQR,
AB / PQ = BC / QR (From 2)
∠B = ∠Q (From 4)
By SAS criterion of proportionality,
ΔABC ~ ΔPQR

Q6: In the given figure, ABCD is a quadrilateral. Diagonal BD bisects ∠B and ∠D both. (2024)
Prove that:
(i) ΔABD ∼ ΔCBD
(ii) AB = BC

Previous Year Questions: Triangles | Mathematics (Maths) Class 10

Previous Year Questions: Triangles | Mathematics (Maths) Class 10View Answer  Previous Year Questions: Triangles | Mathematics (Maths) Class 10

Ans:Previous Year Questions: Triangles | Mathematics (Maths) Class 10

i. Given: diagonal BD bisects ∠B and ∠D

To prove: ΔABD ~ ΔCBD

Proof: In ΔABD and ΔCBD

∠ABD = ∠CBD … (BD bisects ∠B)

∠ADB = ∠CDB … (BD bisects ∠D)

Therefore, ΔABD ~ ΔCBD … (by AA rule)

Hence proved

ii. Since, ΔABD ~ ΔCBD

Therefore, ABBD = BCBD … (by cpst)

Hence, AB = BC

Hence proved.

Q7: In the given figure, PA, QB, and RC are each perpendicular to AC. If AP = x, BQ = y, and CR = z, then prove that (1/x) + (1/z) = (1/y). (CBSE 2024) 

Previous Year Questions: Triangles | Mathematics (Maths) Class 10

Previous Year Questions: Triangles | Mathematics (Maths) Class 10View Answer  Previous Year Questions: Triangles | Mathematics (Maths) Class 10

Ans:

In ΔCAP and ΔCBQ

∠CAP = ∠CBQ = 90°

∠PCA = ∠QCB (common angle)

So, ΔCAP ~ ΔCBQ ... (By AA similarity Rule)

Hence, BQAP = BCACyx = BCAC  ... (i)  (Corresponding part of similar triangle)

Now, in ΔACR and ΔABQ

∠ACR = ∠ABQ = 90°

∠QAB = ∠RAC (common angle)

So, ΔACR ~ ΔABQ (By AA similarity Rule)

Hence, BQCR = ABACyz = ABAC ... (ii)  (Corresponding part of similar triangle)

On adding eq. (i) and (ii), we get

yx + yz = BCAC + ABAC

y(1/x + 1/z) = BC + ABAC

y(1/x + 1/z) = 1

1/x + 1/z = 1/y

Hence proved.

Previous Year Questions 2023

Q1: In ΔABC, PQ || BC If PB = 6 cm, AP = 4 cm, AQ = 8 cm. find the length of AC.   (2023)
Previous Year Questions: Triangles | Mathematics (Maths) Class 10(a ) 12 cm 
(b) 20 cm 
(c) 6 cm 
(d) 14 cm

Previous Year Questions: Triangles | Mathematics (Maths) Class 10View Answer  Previous Year Questions: Triangles | Mathematics (Maths) Class 10

Ans: (b)
Sol: Since, PQ || BC

APPBAQQC .......... (By Proportionality Theorem)
46 = 8QC

QC4 = 8 × 64

= 12 cm
Now length of AC = AQ+QC = 12+8 = 20 cm

Q2: In the given figure, XZ is parallel to BC. AZ = 3 cm, ZC = 2 cm, BM = 3 cm and MC = 5 cm. Find the length of XY.   (2023)
Previous Year Questions: Triangles | Mathematics (Maths) Class 10

Previous Year Questions: Triangles | Mathematics (Maths) Class 10View Answer  Previous Year Questions: Triangles | Mathematics (Maths) Class 10

Ans:

Given: AZ = 3 cm, ZC = 2 cm, BM = 3 cm, and MC = 5 cm.

Proof

We can calculate the lengths of AC and BC:

  • AC = AZ + ZC = 3 + 2 = 5 cm,
  • BC = BM + MC = 3 + 5 = 8 cm.

Next, in triangles AXY and ABM, we know that:

  • ∠AXY = ∠ABM (corresponding angles since XZ is parallel to BC),
  • ∠XAY = ∠BAM (common angle).

∴ By the AA similarity criterion (Angle-Angle similarity):
ΔAXY ~ ΔABM.

Since these triangles are similar, their corresponding sides are proportional:
AX / AB = XY / BM = AZ / AC.

From the proportionality, we substitute the known values:
AX / AB = AZ / AC, which simplifies to:
XY / BM = AZ / AC.

Substituting the known values of AZ = 3 cm and AC = 5 cm, we get:
XY / 3 = 3 / 5.

Now, solving for XY, we multiply both sides by 3:
XY = (3 × 3) / 5 = 9 / 5 = 1.8 cm.

Thus, the length of XY is 1.8 cm.

Q3: Assertion (A): The perimeter of ΔABC is a rational number.
Reason (R): The sum of the squares of two rational numbers is always rational.   (2023)
Previous Year Questions: Triangles | Mathematics (Maths) Class 10

(a) Both Assertion (A) and Reason (R) are true and Reason (R) is the correct explanation of Assertion (A).
(b) Both Assertion (A) and Reason (R) are true, but Reason (R) is not the correct explanation of the Assertion (A).
(c) Assertion (A) is true, but Reason (R) is false.
(d) Assertion (A) is false but Reason (R) is true. 

Previous Year Questions: Triangles | Mathematics (Maths) Class 10View Answer  Previous Year Questions: Triangles | Mathematics (Maths) Class 10

Ans: (d)

Previous Year Questions: Triangles | Mathematics (Maths) Class 10
In ΔABC, AC2 = AB2 + BC2  (Using Pythagoras Theorem)
⇒ AC2 = 22 + 32
⇒ AC2 = 4 + 9
⇒ AC= √13 cm
So, perimeter is (2 + 3 + √13)cm = (5 + √13), which is irrational.
Hence, Assertion in false but Reason is true.

Q4: In a ΔPQR, N is a point on PR, such that QN ⊥ PR. If PN × NR = QN2, prove that ∠PQR = 90°.  (CBSE 2023)

Previous Year Questions: Triangles | Mathematics (Maths) Class 10View Answer  Previous Year Questions: Triangles | Mathematics (Maths) Class 10

Ans:Previous Year Questions: Triangles | Mathematics (Maths) Class 10

We have, PN . NR = QN²
∴ PN / QN = QN / NR …(i)

In ΔQNP and ΔRNQ,
PN / QN = QN / NR  (from (i))

And ∠PNQ = ∠RNQ (Each equal to 90°)

∴ ΔQNP ~ ΔRNQ [By SAS similarity criterion]
Then, ΔQNP and ΔRNQ are equiangular,
i.e., ∠PQN = ∠QRN
⇒ ∠QRN = ∠QPN

On adding both sides, we get:
∠PQN + ∠QRN = ∠QRN + ∠QPN
⇒ ∠PQR = ∠QRN + ∠QPN …(ii)

We know that the sum of angles of a triangle is 180°.

In ΔPQR,
∠PQR + ∠PQR + ∠QR = 180°
⇒ ∠PQR + ∠QRN + ∠QRN = 180° [∴ ∠PQR = ∠QPN and ∠QRN = ∠QRN]
⇒ 2∠PQR = 180° [Using equation (ii)]

⇒ ∠PQR = 180° / 2 = 90°
∴ ∠PQR = 90°

Hence proved.

Q5: In the given figure, ΔABC and ΔDBC are on the same base BC. If AD intersects BC at O, prove that ar(ΔABC)ar(ΔDBC)= AODO. (CBSE 2023)

Previous Year Questions: Triangles | Mathematics (Maths) Class 10

Previous Year Questions: Triangles | Mathematics (Maths) Class 10View Answer  Previous Year Questions: Triangles | Mathematics (Maths) Class 10

Ans: Given: ΔABC and ΔDBC are on the same base BC. AD and BC intersect at O. 
To Prove:
ar(ΔABC)ar(ΔDBC)= AODO
Previous Year Questions: Triangles | Mathematics (Maths) Class 10
Construction: Draw AL ⊥ BC and DM ⊥ BC
Previous Year Questions: Triangles | Mathematics (Maths) Class 10

Proof:
Now, in ΔALO and ΔDMO, we have 
∠ALO = ∠DMO = 90° 
∠AOL = ∠DOM (Vertically opposite angles) 
Therefore, ΔALO ~ ΔDMO (By AA criterion)

ALDM = AODO (Corresponding sides of similar triangles are proportional)

ar(ΔABC)ar(ΔDBC) = 1/2 × BC × AL1/2 × BC × DM

ALDM = AODO

Hence, proved.

Q6: In the given figure, PQ || AC. If BP = 4 cm, AP = 2.4 cm, and BQ = 5 cm, then the length of BC is ______.
Previous Year Questions: Triangles | Mathematics (Maths) Class 10

(a) 8 cm
(b) 3 cm
(c) 0.3 cm
(d) 25/3 cm    (CBSE 2023)

Previous Year Questions: Triangles | Mathematics (Maths) Class 10View Answer  Previous Year Questions: Triangles | Mathematics (Maths) Class 10

Ans: (a)
As PQ || AC by using basic proportionality theorem

BPPA = BQQC

42.4 = 5QC

QC = 5 × 2.44

⇒ QC = 5 × 0.6

QC = 3 cm
∴ BC = BQ + QC
= 5 + 3
= 8 cm

Previous Year Questions 2022

Q1: In the figure given below, what value of x will make PQ || AB?    (2022)

Previous Year Questions: Triangles | Mathematics (Maths) Class 10(a) 2
(b) 3
(c) 4
(d) 5

Previous Year Questions: Triangles | Mathematics (Maths) Class 10View Answer  Previous Year Questions: Triangles | Mathematics (Maths) Class 10

Ans: (a)
Sol: Suppose PQ || AB
By using Proportionality theorem we have

CPPA = CQQB

x + 33x + 19 = x3x + 4

⇒ 3x² + 19x = 3x² + 9x + 4x + 12

⇒ 6x = 12
⇒ x = 2

Q2: If Δ ABC and Δ PQR are similar triangles such that ∠A = 31° and ∠R = 69°, then ∠Q is :    (2022)
(a) 70°
(b) 100°
(c) 90°
(d) 80°

Previous Year Questions: Triangles | Mathematics (Maths) Class 10View Answer  Previous Year Questions: Triangles | Mathematics (Maths) Class 10

Ans: (d)
Sol: Given Δ ABC and Δ PQR are similar.
Hence, ∠A = ∠P, ∠B = ∠Q and ∠C = ∠R 
We know that, 
∠P + ∠Q + ∠R = 180° 
31° + ∠Q + 69° = 180° 
100° + ∠Q = 180° 
∠Q = 180° - 100° 
∠Q = 80°

Q3: A vertical pole of length 19 m casts a shadow 57 m long on the ground and at the same time a tower casts a shadow 51m long. The height of the tower is    (2022)
(a) 171m
(b) 13 m
(c) 17 m
(d) 117 m

Previous Year Questions: Triangles | Mathematics (Maths) Class 10View Answer  Previous Year Questions: Triangles | Mathematics (Maths) Class 10

Ans: (c)
Sol: Let AB be the pole and PQ be the tower
Let height of tower be h m
Now, ΔABC ∼ ΔPQR

ABPQ = BCQR

19h = 5751

⇒ h =  19 x 5157

Previous Year Questions: Triangles | Mathematics (Maths) Class 10

⇒ h = 17m

Previous Year Questions 2021

Q1: Aman goes 5 metres due west and then 12 metres due North. How far is he from the starting point?    (2021)

Previous Year Questions: Triangles | Mathematics (Maths) Class 10View Answer  Previous Year Questions: Triangles | Mathematics (Maths) Class 10

Ans: 13 m
Let Aman starts from A point and continues 5 m towards west and readied at B point, from which he goes 12 m towards North reached at C point finally.
In ΔABC, we have
Previous Year Questions: Triangles | Mathematics (Maths) Class 10

AC2 = AB2 + BC2  ............ [By Pythagoras theorem]
AC2 = 52 + 122
AC2 = 25 + 144 = 169
AC = 13m
So, Aman is 13 m away from his starting point.

Previous Year Questions 2020

Q1: All concentric circles are ___________ to each other.    (2020)

Previous Year Questions: Triangles | Mathematics (Maths) Class 10View Answer  Previous Year Questions: Triangles | Mathematics (Maths) Class 10

Ans: All concentric circles are similar to each other.

Q2: In figure, PQ || BC, PQ = 3 cm, BC = 9 cm and AC = 7.5 cm. Find the length of AQ.    (2020)
Previous Year Questions: Triangles | Mathematics (Maths) Class 10

Previous Year Questions: Triangles | Mathematics (Maths) Class 10View Answer  Previous Year Questions: Triangles | Mathematics (Maths) Class 10

Ans: Given, PQIIBC
PQ = 3 cm, BC = 9 cm and AC = 7.5 cm
Since. PQ || BC
∴ ∠APQ = ∠ABC (Corresponding angles are equal)
Now,  in ΔAPQ and ΔABC
∠APQ =∠ABC        (Corresponding angles are equal)
∠A = ∠A                  (Common)
ΔAPQ ∼ ΔABC    (AA similarity)

APAB = AQAC = PQBC

AQAC = 39

AQ7.5 = 13

⇒ AQ = 7.53 = 2.5 cm

Q3: In the given figure, EA/EC = EB/ED, prove that ΔEAB ~ ΔECD. (CBSE 2020)
Previous Year Questions: Triangles | Mathematics (Maths) Class 10

Previous Year Questions: Triangles | Mathematics (Maths) Class 10View Answer  Previous Year Questions: Triangles | Mathematics (Maths) Class 10

Ans: In ΔEAB and  ΔECD

Previous Year Questions: Triangles | Mathematics (Maths) Class 10

Acc to Converse of basic proportionality theorem, It states that if any line divides any two sides of a triangle in the same ratio, then the line is parallel to the third side.

It is given that

Since, EA/EC = EB/ED 
∠1 = ∠2 [Vertically opposite angles] 
So, by SAS similarity criterion ΔEAB ~ ΔECD 
Hence, proved.

Previous Year Questions 2019

Q1: In the figure, GC||BD and GE||BF. If AC = 3cm and CD = 7 cm, then find the value of AE / AF.    (2019)

Previous Year Questions: Triangles | Mathematics (Maths) Class 10 

Previous Year Questions: Triangles | Mathematics (Maths) Class 10View Answer  Previous Year Questions: Triangles | Mathematics (Maths) Class 10

Ans: 3/10
Here in the given figure.
GC || BD and GE || BF
AC = 3 cm and CD = 7 cm
By Basic Proportionality theorem.

Previous Year Questions: Triangles | Mathematics (Maths) Class 10

We get, ACCD = AEEF

∴ AE / EF = 3 / 7
⇒ AF / AE = 7 / 3
⇒ AE + EF / AE = 3 + 7 / 3

⇒ AF / AE = 10 / 3

Thus, AE / AF = 3 / 10.

Q2: The perpendicular from A on the side BC of a ΔABC intersects BC at D, such that DB = 3CD. Prove that 2AB2 = 2AC2 + BC2.    (2019)
Previous Year Questions: Triangles | Mathematics (Maths) Class 10

Previous Year Questions: Triangles | Mathematics (Maths) Class 10View Answer  Previous Year Questions: Triangles | Mathematics (Maths) Class 10

Ans: 

In ΔABC, AD ⟂ BC and BD = 3CD

BD + CD = BC
3CD + CD = BC
4CD = BC
CD = (1/4) BC …… (1)

and, BD = (3/4) BC …… (2)

In ΔADC, ∠ADC = 90°

AC² = AD² + CD² [Using Pythagoras theorem]
AD² = AC² - CD² ….. (3)

In ΔADB, ∠ADB = 90°

AB² = AD² + BD² [Using Pythagoras theorem]
AB² = AC² - CD² + BD² [from equation (3)]
AB² = AC² + (3/4 BC)² - (1/4 BC)² [from equations (1) and (2)]
AB² = AC² + (9BC² - BC²)/16
AB² = AC² + 8BC²/16
AB² = AC² + 1/2 BC²

Thus, 2AB² = 2AC² + BC²

The document Previous Year Questions: Triangles | Mathematics (Maths) Class 10 is a part of the Class 10 Course Mathematics (Maths) Class 10.
All you need of Class 10 at this link: Class 10
127 videos|584 docs|79 tests

FAQs on Previous Year Questions: Triangles - Mathematics (Maths) Class 10

1. What are the different types of triangles based on their sides and angles?
Ans. Triangles can be classified based on their sides and angles. By sides, they can be equilateral (all sides equal), isosceles (two sides equal), and scalene (all sides different). By angles, they can be acute (all angles less than 90 degrees), right (one angle equal to 90 degrees), and obtuse (one angle greater than 90 degrees).
2. How do you calculate the area of a triangle?
Ans. The area of a triangle can be calculated using the formula: Area = (base × height) / 2. You need to know the length of the base and the height perpendicular to that base.
3. What is the Pythagorean theorem and how does it relate to right triangles?
Ans. The Pythagorean theorem states that in a right triangle, the square of the length of the hypotenuse (the side opposite the right angle) is equal to the sum of the squares of the lengths of the other two sides. This is expressed as a² + b² = c², where c is the length of the hypotenuse.
4. How can you determine if a triangle is congruent to another triangle?
Ans. Triangles can be determined to be congruent through several criteria: Side-Side-Side (SSS) means all three sides are equal; Side-Angle-Side (SAS) means two sides and the included angle are equal; Angle-Side-Angle (ASA) means two angles and the included side are equal; and Angle-Angle-Side (AAS) means two angles and a non-included side are equal.
5. What are the properties of the angles in a triangle?
Ans. The sum of the interior angles in a triangle is always 180 degrees. This means that if one angle is known, the other two can be found by subtracting the known angle from 180 degrees. Additionally, in an isosceles triangle, the angles opposite the equal sides are also equal.
Related Searches

study material

,

video lectures

,

Previous Year Questions: Triangles | Mathematics (Maths) Class 10

,

Previous Year Questions: Triangles | Mathematics (Maths) Class 10

,

Sample Paper

,

Free

,

shortcuts and tricks

,

practice quizzes

,

Viva Questions

,

Objective type Questions

,

Previous Year Questions with Solutions

,

Extra Questions

,

ppt

,

Summary

,

Previous Year Questions: Triangles | Mathematics (Maths) Class 10

,

pdf

,

MCQs

,

Exam

,

Semester Notes

,

mock tests for examination

,

Important questions

,

past year papers

;