JEE Exam  >  JEE Notes  >  NCERT Exemplar: Motion in a Plane- 1

NCERT Exemplar: Motion in a Plane- 1

MULTIPLE CHOICE QUESTIONS 

Q.1. The angle between NCERT Exemplar: Motion in a Plane- 1
(a) 45°
(b) 90°
(c) -45°
(d) 180°

Ans. (b)
Solution.
GivenNCERT Exemplar: Motion in a Plane- 1
NCERT Exemplar: Motion in a Plane- 1
NCERT Exemplar: Motion in a Plane- 1

∴ θ = 90º

Q.2. Which one of the following statements is true?
(a) A scalar quantity is the one that is conserved in a process.
(b) A scalar quantity is the one that can never take negative values.
(c) A scalar quantity is the one that does not vary from one point to another in space.
(d) A scalar quantity has the same value for observers with different orientations of the axes.

Ans. (d)
Solution.
A scalar quantity is independent of direction hence has the same value for observers with different orientations of the axes.
For example, a car is traveling along +x axis, it travels 10 m. If the same car is moving with the same speed for the same time interval along -x axis, then the distance meter of car shows the same travelled distance. The path length is same in both the cases.

Q.3. Figure shows the orientation of two vectors u and v in the XY plane.
NCERT Exemplar: Motion in a Plane- 1
NCERT Exemplar: Motion in a Plane- 1
Which of the following is correct?
(a) a and p are positive while b and q are negative.
(b) a, p and b are positive while q is negative.
(c) a, q and b are positive while p is negative.
(d) a, b, p and q are all positive.

Ans.
Solution.
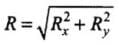
Key concept: Resolution of Vector into Components:
Consider a vector NCERT Exemplar: Motion in a Plane- 1 plane as shown in figure. If we draw orthogonal vectors 

NCERT Exemplar: Motion in a Plane- 1 along x and y axes respectively, by law of vector addition, NCERT Exemplar: Motion in a Plane- 1
NCERT Exemplar: Motion in a Plane- 1Now as for any vector NCERT Exemplar: Motion in a Plane- 1  is the direction of NCERT Exemplar: Motion in a Plane- 1
NCERT Exemplar: Motion in a Plane- 1
NCERT Exemplar: Motion in a Plane- 1    ...(i)
But from figure, Rx = R cos θ     ..(ii)
and Ry = R sin θ     ....(ii)
Since R and θ are usually known, equations (ii) and (iii) give the magnitude o f the components ofNCERT Exemplar: Motion in a Plane- 1along x- and y-axes respectively.
Here it is worthy to note once a vector is resolved into its components, the components themselves can be used to specify the vector as:
(1) The magnitude of the vectorNCERT Exemplar: Motion in a Plane- 1is obtained by squaring and adding equations (ii) and (iii), i.e.
NCERT Exemplar: Motion in a Plane- 1
(2) The direction of the vector NCERT Exemplar: Motion in a Plane- 1 is obtained by dividing equation (iii) by (ii), i.e.
tan θ = (Ry/Rx) or θ = tan-1(Ry/Rx)
In such type of problems we have to resolve the rectangular components according to the diagram.
Clearly from the diagram NCERT Exemplar: Motion in a Plane- 1
As u is in the first quadrant, hence both of its components a and b will be positive and as v is in fourth quadrant. ForNCERT Exemplar: Motion in a Plane- 1 as it is in positive x-direction and located downward hence x-component p will be positive and y-component q will be negative.
NCERT Exemplar: Motion in a Plane- 1


Q.4. The component of a vector r along X-axis will have maximum value if
(a) r is along positive Y-axis
(b) r is along positive X-axis
(c) r makes an angle of 45° with the X-axis
(d) r is along negative Y-axis

Ans. (b)
Solution.
Consider a vector NCERT Exemplar: Motion in a Plane- 1 plane as shown in figure. If we draw orthogonal vectors 

NCERT Exemplar: Motion in a Plane- 1 along x and y axes respectively, by law of vector addition,NCERT Exemplar: Motion in a Plane- 1
NCERT Exemplar: Motion in a Plane- 1The magnitude of component of r along A-axis
NCERT Exemplar: Motion in a Plane- 1
NCERT Exemplar: Motion in a Plane- 1       (∵ cos θ is maximum if θ = 0°)
As θ = 0°, r is along positive x-axis.

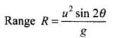
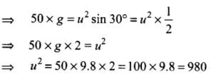
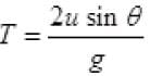
Q.5. The horizontal range of a projectile fired at an angle of 15° is 50 m. If it is fired with the same speed at an angle of 45°, its range will be
(a) 60 m
(b) 71 m
(c) 100 m
(d) 141 m
Ans. 
(c)
Solution.

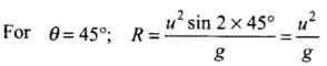
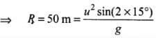
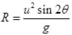
The horizontal range of the projectile fired at an angle is given by
NCERT Exemplar: Motion in a Plane- 1
Where, θ is the angle of projection, u is the initial velocity with which the projectile is fired, and g is the gravitational acceleration.
NCERT Exemplar: Motion in a Plane- 1

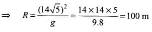
According to the problem the angle of projection, θ = 15° and horizontal range, R = 50 m By substituting the values in the above relation, we get
NCERT Exemplar: Motion in a Plane- 1
NCERT Exemplar: Motion in a Plane- 1
NCERT Exemplar: Motion in a Plane- 1
NCERT Exemplar: Motion in a Plane- 1     (∵ sin 90º = 1)
NCERT Exemplar: Motion in a Plane- 1

Q.6. Consider the quantities, pressure, power, energy, impulse, gravitational potential, electrical charge, temperature, area. Out of these, the only vector quantities are
(a) Impulse, pressure and area
(b) Impulse and area
(c) Area and gravitational potential
(d) Impulse and pressure
Ans. 
(b)
Solution.
We know that impulse J = F. ∆t = ∆p, where F is force, At is time duration and Ap is change in momentum. As ∆p is a vector quantity, hence impulse is also a vector quantity. Sometimes area can also be treated as vector direction of area vector is perpendicular to its plane.

Q.7. In a two dimensional motion, instantaneous speed v0 is a positive constant. Then which of the following are necessarily true?
(a) The average velocity is not zero at any time.
(b) Average acceleration must always vanish.
(c) Displacements in equal time intervals are equal.
(d) Equal path lengths are traversed in equal intervals.
Ans. (d)
Solution.
Speed (Instantaneous Speed): The magnitude of the velocity at any instant of time is known as Instantaneous Speed or simply speed at that instant of time. It is denoted by v.
Quantitatively: Speed = distance/time

Mathematically, it is the time rate at which distance is being travelled by the particle.

  • Speed is a scalar quantity. It can never be negative (as shown by speedometer of our vehicle).
  • Instantaneous speed is the speed of a particle at a particular instant of time.

Hence, Total distance travelled = Path length = (speed) x time taken Important point: We should be very careful with the fact that speed is related with total distance covered not with displacement.

Q.8. In a two dimensional motion, instantaneous speed v0 is a positive constant. Then which of the following are necessarily true?
(a) The acceleration of the particle is zero.
(b) The acceleration of the particle is bounded.
(c) The acceleration of the particle is necessarily in the plane of motion.
(d) The particle must be undergoing a uniform circular motion.

Ans. (c)
Solution.
This motion is two dimensional and given that instantaneous speed v0 is positive constant. Acceleration is defined as the rate of change of velocity (instantaneous speed), hence it will also be in the plane of motion.

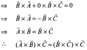
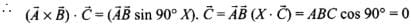
Q.9. Three vectors A,B and C add up to zero. Find which is false.
(a) (A×B) × C is not zero unless B,C are parallel
(b) (A×B).C is not zero unless B,C are parallel
(c) If A,B,C define a plane, (A×B)×C is in that plane
(d) (A×B).C=|A||B||C|→ C2 = A2 + B
2
Ans. (c)
Solution.
These types of problems can be solved by hit and trial method by picking up options one by one
Sum of vectors is given as NCERT Exemplar: Motion in a Plane- 1
Hence, we can say that A, B and C are in one plane and are represented by the three sides of a triangle taken in one order. Let us discuss all the options one by one.
(a) We can write
NCERT Exemplar: Motion in a Plane- 1
NCERT Exemplar: Motion in a Plane- 1
NCERT Exemplar: Motion in a Plane- 1
It cannot be zero.
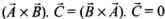
NCERT Exemplar: Motion in a Plane- 1 then NCERT Exemplar: Motion in a Plane- 1 Even if NCERT Exemplar: Motion in a Plane- 1 then also the cross product in any manner will be zero. So, option (a) is not false.
(b) NCERT Exemplar: Motion in a Plane- 1 whatever be the positions ofNCERT Exemplar: Motion in a Plane- 1 then NCERT Exemplar: Motion in a Plane- 1 So, option (b) is not false.
(c) NCERT Exemplar: Motion in a Plane- 1 and the direction of X is perpendicular to the plane containing NCERT Exemplar: Motion in a Plane- 1 Its direction is in the plane of NCERT Exemplar: Motion in a Plane- 1NCERT Exemplar: Motion in a Plane- 1 So, option (c) is false.
(d) NCERT Exemplar: Motion in a Plane- 1 then angle between NCERT Exemplar: Motion in a Plane- 1
NCERT Exemplar: Motion in a Plane- 1
Hence, option (d) is not false.

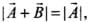
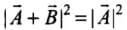
Q.10. It is found that |A+B|=|A|.This necessarily implies,
(a) B = 0
(b) A,B are antiparallel
(c) A,B are perpendicular
(d) A.B ≤ 0

Ans. (b)
Solution.
According to the problem,
NCERT Exemplar: Motion in a Plane- 1
By squaring both sides, we get
NCERT Exemplar: Motion in a Plane- 1
NCERT Exemplar: Motion in a Plane- 1
where θ is the angle between NCERT Exemplar: Motion in a Plane- 1
NCERT Exemplar: Motion in a Plane- 1
NCERT Exemplar: Motion in a Plane- 1
NCERT Exemplar: Motion in a Plane- 1
If A and B are antiparallel, then θ = 180°
Hence from Eq. (i),
NCERT Exemplar: Motion in a Plane- 1
Hence, correct answer will be NCERT Exemplar: Motion in a Plane- 1 are antiparallel provided NCERT Exemplar: Motion in a Plane- 1
It seems like option (a) is also correct but it is not forNCERT Exemplar: Motion in a Plane- 1 either NCERT Exemplar: Motion in a Plane- 1 so this option will be false.

Q.11. Two particles are projected in air with speed vo at angles θ1 and θ(both acute) to the horizontal, respectively. If the height reached by the first particle is greater than that of the second, then tick the right choices
(a) Angle of projection : q1 > q2
(b) Time of flight : T1 > T2
(c) Horizontal range : R1 > R2
(d) Total energy : U1 > U
2
Ans. (a, b)
Solution.

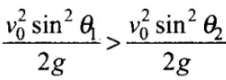
Maximum height H of projectile
NCERT Exemplar: Motion in a Plane- 1
From here H ∝ Sin2θ
For Projectile 1, θ = θ1 
For Projectile 2,θ = θ2
u1 = vo u2 = vo
(a) H1 > H2  (Given)
NCERT Exemplar: Motion in a Plane- 1
NCERT Exemplar: Motion in a Plane- 1
NCERT Exemplar: Motion in a Plane- 1
NCERT Exemplar: Motion in a Plane- 1
NCERT Exemplar: Motion in a Plane- 1
⇒ θ1 and θ2 lies between sin θ1 > θ2
0° to 90° i.e., acute as given θ1 > θ2   ...(i)
So option (a) is correct.
(b) we know time of flight:
NCERT Exemplar: Motion in a Plane- 1
NCERT Exemplar: Motion in a Plane- 1
NCERT Exemplar: Motion in a Plane- 1
As sin θ1 > sin θ2
∴ T1 > T2
So, Option (b) is also correct.
(c) we know that range, NCERT Exemplar: Motion in a Plane- 1
R1 is the range of the first particle. R2 is the range of the second particle.
NCERT Exemplar: Motion in a Plane- 1
NCERT Exemplar: Motion in a Plane- 1
But if θ1 + θ2 = 90°,then R1 = R2
Hence option (c) is incorrect.
(d) we know that total energy(U) = P.E+K.E
For particle 1,
NCERT Exemplar: Motion in a Plane- 1
For particle 2,
NCERT Exemplar: Motion in a Plane- 1
if m1 = m2 = m & as H1 > H2
We know at the highest point the total energy is equal to the P.E.
∴ PE1 > PE2 or U1 > U2
So it does not verify option (d).
Hence Option(a,b) is correct.

Q.12. A particle slides down a frictionless parabolic(y = x2) track (A - B - C) starting from rest at point A (Fig.). Point B is at the vertex of parabola and point C is at a height less than that of point A. After C, the particle moves freely in air as a projectile. If the particle reaches highest point at P, then
NCERT Exemplar: Motion in a Plane- 1(a) KE at P = KE at B
(b) Height at P = height at A
(c) Total energy at P = total energy at A
(d) Time of travel from A to B = time of travel from B to P

Ans. (c)
Solution.
Key concept: In such type of problems, we have to observe the nature of track that if there is a friction or not, as friction is not present in this track, total energy of the particle will remain constant throughout the journey.
According to the problem, the path traversed by the particle on a frictionless track is parabolic, is given by the equation y = x2, thus total energy (KE + PE) will be same throughout the journey.
Hence, total energy at A = total energy at P
At B the particle is having only KE but at P some KE is converted to PE.
So, (KE)B > (KE)P
Total energy at A = PE = Total energy at B = KE = Total energy at P = PE + KE
The potential energy at A is converted to KE and PE at P, hence (PE)P < (PE)A
Hence, (Height) P < (Height) A
As, Height of P < Height of A
Hence, path length AB > path length BP
Hence, time of travel from A to B ≠ Time of travel from B to P.

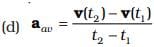
Q.13. Following are four differrent relations about displacement, velocity and acceleration for the motion of a particle in general. Choose the incorrect one (s):
NCERT Exemplar: Motion in a Plane- 1
NCERT Exemplar: Motion in a Plane- 1
NCERT Exemplar: Motion in a Plane- 1
NCERT Exemplar: Motion in a Plane- 1
Ans. (a, c)
Solution.
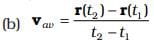
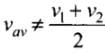
When an object covers a displacement Δr in time Δt, its average velocity is given by NCERT Exemplar: Motion in a Plane- 1 where r1 and r2 are position vectors corresponding to time t1, and t2.
If the velocity of an object changes from v1 to v2 in time Δt, average acceleration is given by
NCERT Exemplar: Motion in a Plane- 1
But, when acceleration is non-uniform,
NCERT Exemplar: Motion in a Plane- 1
Option (c) is similar to the relation NCERT Exemplar: Motion in a Plane- 1 which is not correct if initial velocity is given.
So (b) and (d) are the correct relations for the uniform acceleration.

Q.14. For a particle performing uniform circular motion, choose the correct statement(s) from the following:
(a) Magnitude of particle velocity (speed) remains constant.
(b) Particle velocity remains directed perpendicular to radius vector.
(c) Direction of acceleration keeps changing as particle moves.
(d) Angular momentum is constant in magnitude but direction keeps changing.
Ans. 
(a, b, c)
Solution.

While a particle is in uniform circular motion. Then the following statements are true.
(i) speed will be always constant throughout.
(ii) velocity will be always tangential in the direction of motion at a particular point.
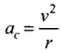
(iii) the centripetal acceleration a = v2/r and its direction will always towards centre of the circular trajectory.
(iv) angular momentum (mvr) is constant in magnitude and direction. And its direction is perpendicular to the plane containing r and v.

Important point: In uniform circular motion, magnitude of linear velocity and centripetal acceleration is constant but direction changes continuously.

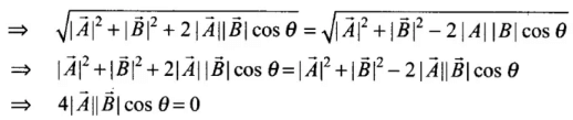
Q.15. For two vectors A and B, |A + B| = |A - B| is always true when
(a) |A| = |B| ≠ 0
(b) A ⊥ B
(c) |A| = |B| ≠ 0 and A and B are parallel or anti parallel
(d) when either |A| or |B| is zero

Ans. (b, d)
Solution. According to the problem,NCERT Exemplar: Motion in a Plane- 1
NCERT Exemplar: Motion in a Plane- 1
NCERT Exemplar: Motion in a Plane- 1
NCERT Exemplar: Motion in a Plane- 1
i.e. θ = 90°
When θ = 90°, we can say that NCERT Exemplar: Motion in a Plane- 1
Hence options (b) and (d) are correct.

VERY SHORT ANSWER TYPE QUESTIONS 

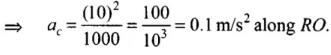
Q.1. A cyclist starts from centre O of a circular park of radius 1km and moves along the path OPRQO as shown Fig. If he maintains constant speed of 10ms-1, what is his acceleration at point R in magnitude and direction?
NCERT Exemplar: Motion in a Plane- 1Ans. According to the problem the path of the cyclist is O-P- R-Q-O.
NCERT Exemplar: Motion in a Plane- 1The cyclist is in uniform circular motion and it is given that linear velocity = 10 m/s, R = 1 km = 1000 m. As we know whenever an object is performing circular motion, acceleration is called centripetal acceleration and is always directed towards the centre. So cyclist experiences a centripetal force (acceleration) at point R towards centre.
The centripetal acceleration at R is given by the relation,NCERT Exemplar: Motion in a Plane- 1
NCERT Exemplar: Motion in a Plane- 1

Q.2. A particle is projected in air at some angle to the horizontal, moves along parabola as shown in Fig, where x and y indicate horizontal and vertical directions, respectively. Show in the diagram, direction of velocity and acceleration at points A, B and C.
NCERT Exemplar: Motion in a Plane- 1Ans. In projectile motion horizontal component of velocity will always be constant and acceleration is always vertically downward and is equal to g. Direction of velocity will always be tangential to the curve in the direction of motion.
As shown in the diagram in which a particle is projected at an angle 0.
NCERT Exemplar: Motion in a Plane- 1vx = Horizontal component of velocity
= v cos θ = constant.
vy = Vertical component of velocity
= v sinθ

Q.3. A ball is thrown from a roof top at an angle of 45° above the horizontal. It hits the ground a few seconds later. At what point during its motion, does the ball have
(a) Greatest speed.
(b) Smallest speed.
(c) Greatest acceleration?

Ans. A ball is projected from O at an angle of 450 with horizontal. From O to A body rises up, height increases so its speed & hence KE (speed) decreases.From A to B it's speed again increases as its height decreases equal to its's initial speed at O, because O and B are on the same horizontal line.
NCERT Exemplar: Motion in a Plane- 1From B to C, its height again decreases so its speed from B to C increases and become maximum at C vy maximum. vx = u cos 450 = u/√2 m/s is always constant at any point.
Hence, (a) greatest speed of ball is at C as vy maximum and vx = u/√2
(b) the smallest speed will be at A where maximum height and the vy = 0 has the only horizontal speed of constant value u/√2
(c) As the force acting on the ball is only due to gravitational force downward and is constant so acceleration is also constant downward and always equal to 'g'.

Q.4. A football is kicked into the air vertically upwards. What is its (a) acceleration, and (b) velocity at the highest point?
Ans. (a) The situation is shown in the diagram below in which a football is kicked into the air vertically upwards. Acceleration of the football will always be vertical downward and is called acceleration due to gravity (g).
(b) When the football reaches the highest point it is momentarily at rest and at that moment its velocity will be zero as it is continuously retarded by acceleration due to gravity (g).

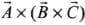
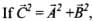
Q.5. A, B and C are three non-collinear, non co-planar vectors. What can you say about direction of A × (B × C)?
Ans. The direction of the vector NCERT Exemplar: Motion in a Plane- 1 will be perpendicular to the plane containing by vectors NCERT Exemplar: Motion in a Plane- 1 by Right-hand thumb or Right-hand grip rule (RHGR).
The direction of the vector NCERT Exemplar: Motion in a Plane- 1 will be perpendicular toNCERT Exemplar: Motion in a Plane- 1and in a plane containing NCERT Exemplar: Motion in a Plane- 1 by Right-hand grip rule.

The document NCERT Exemplar: Motion in a Plane- 1 is a part of JEE category.
All you need of JEE at this link: JEE

FAQs on NCERT Exemplar: Motion in a Plane- 1

1. What is motion in a plane?
Ans. Motion in a plane refers to the movement of an object in a two-dimensional space. It involves both the displacement in a particular direction and the change in direction. In this type of motion, an object can move along the x-axis and y-axis simultaneously.
2. How is motion in a plane different from motion in a straight line?
Ans. Motion in a plane is different from motion in a straight line as it involves movement in two dimensions. In motion in a straight line, an object moves only along a single dimension, either the x-axis or y-axis. However, in motion in a plane, an object can move along both the x-axis and y-axis simultaneously.
3. What are the different types of motion in a plane?
Ans. The different types of motion in a plane include projectile motion, circular motion, and uniform circular motion. In projectile motion, an object is launched into the air and moves in a curved path due to the influence of gravity. In circular motion, an object moves in a circular path around a fixed center. Uniform circular motion refers to the circular motion at a constant speed.
4. How can we analyze motion in a plane mathematically?
Ans. Motion in a plane can be analyzed mathematically using vector quantities. Displacement, velocity, and acceleration are represented as vectors in a plane. The magnitude and direction of these vectors can be used to analyze the motion of an object. Vector addition and subtraction can also be applied to determine the resultant displacement, velocity, or acceleration.
5. How is motion in a plane relevant to JEE (Joint Entrance Exam)?
Ans. Motion in a plane is a fundamental concept in physics and is often tested in the JEE (Joint Entrance Exam). Questions related to projectile motion, circular motion, and other types of motion in a plane are commonly included in the physics section of the JEE. Understanding and solving problems related to motion in a plane is essential for scoring well in the exam.
Download as PDF

Top Courses for JEE

Related Searches
ppt, Previous Year Questions with Solutions, Viva Questions, Summary, Extra Questions, Sample Paper, mock tests for examination, Semester Notes, study material, NCERT Exemplar: Motion in a Plane- 1, Exam, video lectures, Important questions, NCERT Exemplar: Motion in a Plane- 1, shortcuts and tricks, NCERT Exemplar: Motion in a Plane- 1, MCQs, practice quizzes, Free, Objective type Questions, past year papers, pdf ;