Evaluate :
Q.1.
Ans.
Given that
Taking the limit, the expression simplifies to
3 + 3 = 6
Hence, the answer is 6.
Q.2.Ans.Given that:
=
Taking the limit, the terms simplify and we obtain
Hence, the answer is 2.
Q.3.Ans.Given that
[Rationalizing the denominator]
Taking the limits, the simplified form is
Hence, the answer is
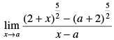
Q.4.Ans.Given that
Put x + 2 = y ⇒ x = y - 2
Hence the answer is
Q.5.Ans.Given that:
Dividing the numerator and denominator by x, we get
Putting 1 + x = y ⇒ x = y - 1
Hence, the required answer is 3.
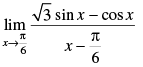
Q.6.Ans.Given that:
Therefore, on taking the limit the result is
Q.7.Ans.Given that:
=
[Dividing the numerator and denominator of x -1]
Hence the required answer is 7.
Q.8.Ans.Given that:
Rationalizing the denominator, we get
Taking the limits, the expression simplifies to
Hence, the required answer is 8.
Q.9.Ans.Given that :
Taking limits we obtain
Hence, the required answer is
Q.10.Ans.Given that:
Dividing the numerator and denominator by (x - 1) we get
Hence, the required answer is 1.
Q.11.Ans.Given that:
Therefore, on taking the limit we obtain 0.
Hence, the required answer is 0.
Q.12.Ans.Given that:
[Dividing the Nr and Den. by x - 3]
Hence, the required answer is
Q.13.Ans.Given that :
Taking limit, the expression reduces to
Hence, the required answer is
Q.14. Find 'n', ifAns.Given that:
= n × (2)
n-1 = 80
= n x 2
n-1 = 5 x (2)
5-1∴ n = 5
Hence, the required answer is n = 5.
Q.15.Ans.Given that:
Therefore, simplifying the terms gives
Hence, the required answer is
Q.16.Ans.Given that:
[sin 2x = 2 sin x cos x]
Taking the limit we obtain
Hence, the required answer is
Q.17.Ans.Given that:
[cos 2x = 1 - 2 sin
2 x]
Therefore, evaluating the limit gives 2.
Hence, the required answer is 2.
Q.18.Ans.Given that:
= 1 × 1 × (1)
2 = 1
Hence, the required answer is 1.
Q.19.Ans.Given that:
On simplification we get
Hence, the required answer is
Q.20.Ans.Given that:
[∴ 1 - cosθ = 2 sin
2 θ/2]
= 3
Hence, the required answer is 3.
Q.21.Ans.Given that:
√2 ×1 = √2
Hence, the required answer is √2 .
Q.22.Ans.Given that:
= 2 × 1 = 2
Hence, the required answer is 2.
Q.23.Ans.Given that:
Therefore, the simplified limit equals 1.
Hence, the required answer is 1.
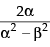
Q.24.Ans.Given that:
Taking the limit we have
Hence, the required answer is 2 √a cos a.
Q.25.Ans.Given that:
Taking the limit we obtain
Hence, the required answer is 4.
Q.26.Ans.Given that:
Taking the limit, we get
Hence, the required answer is
Q.27.Ans.Given that:
= 1 - 6 + 5 = 0
Hence, the required answer is 0.
Q.28. Ifthen find the value of k.Ans.Given that:
Therefore, on simplifying we obtain the value of k as
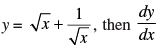
Differentiate each of the functions from Q. 29 to Q. 42Q.29.Ans.Hence, the required answer is
Q.30.Ans.Hence, the required answer is
Q.31. (3x + 5) (1 + tanx)Ans.= (3x + 5) (sec
2x) + (1 + tan x) (3)
= 3x sec
2 x + 5 sec
2 x + 3 + 3 tan x [using product rule]
Hence, the required answer is 3x sec
2 x + 5 sec
2 x + 3 tan x + 3
Q.32. (sec x - 1) (sec x + 1)Ans.[using product rule]
= (sec x - 1) (sec x tan x) + (sec x + 1) (sec x tan x)
= sec x tan x (sec x - 1 + sec x + 1)
= sec x tan x × 2 sec x
= 2 sec
2 x × tan x
Hence, the required answer is 2 tan x sec
2 x.
Q.33.Ans.[Using quotient rule]
Hence, the required answer is
Q.34.Ans.[Using quotient rule]
Hence, the required answer is
Q.35.Ans.[Using quotient rule]
Hence, the required answer is
Q.36. (ax2 + cotx) (p + q cosx)Ans.[Using Product Rule]
= (ax
2 + cot x) (- q sin x) + (p + q cos x) (2ax - cosec
2 x)
Hence, the required answer is
= (ax
2 + cot x) (- q sin x) + (p + q cos x) (2ax - cosec
2 x)
Q.37.Ans.[Using quotient rule]
Q.38. (sin x + cosx)2 Ans.= 2(sin x + cos x) (cos x - sin x) = 2(cos
2 x - sin
2 x) = 2 cos 2x
Hence, the required answer is 2 cos 2x.
Q.39. (2x - 7)2 (3x + 5)3Ans.Using product Rule]
= (2x - 7)
2 × 3(3x + 5)
2 × 3 + (3x + 5)
3 × 2(2x - 7) × 2
= 9(2x - 7)
2 (3x + 5)
2 + 4(3x + 5)
3 (2x - 7)
= (2x - 7) (3x + 5)
2 [9(2x - 7) + 4(3x + 5)]
= (2x - 7) (3x + 5)
2 (18x - 63 + 12x + 20)
= (2x - 7) (3x + 5)
2 (30x - 43)
Hence, the required answer is (2x - 7) (30x - 43) (3x + 5)
2Q.40. x2 sinx + cos2xAns.= (x
2 cos x + sin x × 2 x) + (- 2 sin 2 x)
= x
2 cos x + 2x sin x - 2 sin 2x
Hence, the required answer is x
2 cos x + 2x sin x - 2 sin 2x.
Q.41. sin3x cos3xAns.[Using Product Rule]
= sin
3 x × 3 cos
2 x (- sin x) + cos
3 x × 3 sin
2 x × cos x
= - 3 sin
4 x cos
2 x + 3 cos
4 x sin
2 x
= 3 sin
2 x cos
2 x (- sin
2 x + cos
2 x)
= 3 sin
2 x cos
2 x × cos
2x
Hence, the required answer is
Q.42.Ans.[Using quotient rule]
Hence, the required answer is
LONG ANSWER TYPE QUESTIONS
Differentiate each of the functions with respect to 'x' . Q.43 to Q.46 using first principle.
Q.43. cos (x2 + 1)
Ans.
Let f (x) = cos(x2 + 1) ...(i)
⇒ f (x + Δx) = cos [(x + Δx)2 + 1] ...(ii)
Subtracting eq. (i) from eq. (ii) we get
f (x + Δx) - f (x) = cos [(x + Δx)2 + 1] - cos(x2 + 1)
Dividing both side by Δx we get
[By definitions of differentiations]
Taking limit, we have
= - 2 sin (x
2 + 1) × 1 × (x) = - 2x sin (x
2 + 1)
Hence, the required answer is - 2x sin (x
2 + 1).
Q.44.Ans.Let
....(i)
⇒
....(ii)
Subtracting eq. (i) from eq. (ii) we get
Dividing both sides by Δx and take the limit, we get
[Using definition of differentiation]
Taking limit, we have
Hence, the required answer is
Q.45. x2/3Ans.Let f (x) = x
2/3 ....(i)
f (x + Δx) = (x + Δx)
2/3 ....(ii)
Subtracting eq. (i) from (ii) we get
f (x + Δx) - f (x) = (x + Δx)
2/3 - x
2/3Dividing both sides by Δx and take the limit.
[By definition of differentiation]
[Expanding by Binomial theorem and rejecting the higher powers of Δx as Δx → 0]
Hence, the required answer is
Q.46. x cosxAns.Let y = x cos x ....(i)
y + Δy = (x + Δx) cos (x + Δx) ....(ii)
Subtracting eq. (i) from eq. (ii) we get
y + Δy - y = (x + Δx) cos (x + Δx) - x cos x
⇒ Δy = x cos (x + Δx) + Δx cos (x + Δx) - x cos x
Dividing both sides by Δx and take the limits,
Taking the limits, we have
= x[- sin x] + cos x
= - x sin x + cos x
Hence, the required answer is - x sin x + cos x
Evaluate each of the following limits in Q.47 to Q.53.Q.47.Ans.∴ Taking the limits we have
= x sec x tan x + sec x = sec x (x tan x + 1) Hence, the required answer is sec x (x tan x + 1) Q.48.Ans.Hence, the required answer is
Q.49.Ans.Given, 
(Taking limit)
Hence, the required answer is - 4.
Q.50.Ans.Given,
Taking limits we have
Hence, the required answer is
Q.51. Show thatdoes not existsAns.Given
Since LHL ≠ RHL
Hence, the limit does not exist.
Q.52. Letfind the value of k.Ans.Given,
we are given that
Hence, the required answer is 6.
Q.53. Letexists.Ans.Given,
Since the limits exist.
∴ LHL = RHL
∴ c = 1
Hence, the required answer = 1
OBJECTIVE ANSWER TYPE QUESTIONS
Q.54.
(a) 1
(b) 2
(c) - 1
(d) - 2
Ans. (c)
Solution.
Given,
Therefore, on evaluating the limit we get option (c).
Q.55.(a) 2 (b) 3/2 (c) - 3/2 (d) 1Ans. (a)
Solution. Given
= 2 cos 0 = 2 x 1 = 2
Hence, the correct option is (a).
Q.56.(a) n (b) 1 (c) - n (d) 0Ans. (a)
Solution.Given
Hence, the correct option is (a).
Q.57.(a) 1 (b) m/n (c) - m/n (d) m2/n2Ans. (b)
Solution.Given
Hence, the correct option is (b).
Q.58.(a) 4/9 (b) 1/2 (c) - 1/2 (d) -1Ans. (a)
Solution.Given
Hence, the correct option is (a).
Q.59.(a) - 1/2(b) 1 (c) 1/2(d) - 1Ans. (c)
Solution.Given
[∴ sin 2x = 2 sin x cos x]
Hence, the correct option is (c).
Q.60.(a) 2 (b) 0 (c) 1 (d) - 1Ans. (c)
Solution. Given
Taking limit, we get
Hence, the correct option is (c).
Q.61.(a) 3 (b) 1 (c) 0 (d) 2Ans. (d)
Solution.Given,
Hence, the correct option is (d).
Q.62.(a) 1/10(b) - 1/10(c) 1 (d) None of theseAns. (b)
Solution.Given
Taking limit we have
Hence, the correct option is (b).
Q.63. where [.] denotes the greatest integer function thenis equal to(a) 1(b) 0 (c) - 1 (d) None of theseAns. (d)
Solution.Given,
LHL ≠ RHL
So, the limit does not exist.
Hence, the correct option is (d).
Q.64.(a) 1(b) - 1 (c) Does not exist (d) None of these.Ans. (c)
Solution.Given
LHL ≠ RHL,
so the limit does not exist.
Hence, the correct option is (c).
Q.65. Letthe quadratic equation whose roots are is
(a) x2 - 6x + 9 = 0 (b) x2 - 7x + 8 = 0 (c) x2 - 14x + 49 = 0 (d) x2 - 10x + 21 = 0Ans. (d)
Solution.Given
∴
Therefore, the quadratic equation whose roots are 3 and 7 is
x
2 - (3 + 7)x + 3 x 7 = 0 i.e., x
2 - 10x + 21 = 0.
Hence, the correct option is (d).
Q.66.(a) 2 (b) 1/2(c) - 1/2(d) 1Ans. (b)
Solution.Given
∴ 2x → 0
Hence, the correct option is (b).
Q.67. Let f (x) = x - [x]; ∈ R, then(a) 3/2(b) 1
(c) 0
(d) - 1Ans. (b)
Solution.Given f (x) = x - [x]
we have to first check for differentiability of f (x) at x = 1/2
Since LHD = RHD
∴
Hence, the correct option is (b).
Q.68. If at x = 1 is(a) 1(b) 1/2(c) 1/√2(d) 0Ans. (d)
Solution.Given that
Hence, the correct option is (d).
Q.69. Ifthen f ′(1) is(a) 5/4(b) 4/5(c) 1 (d) 0Ans. (a)
Solution.Given that
∴
Hence, the correct option is (a).
Q.70. If(a) (b)(c)(d)Ans. (a)
Solution.Given
Hence, the correct option is (a).
Q.71. Ifat x = 0 is(a) - 2 (b) 0 (c) 1/2 (d) Does not existAns. (a)
Solution.Given
Hence, the correct option is (a).
Q.72. Ifat x = 0 is(a) cos 9 (b) sin 9 (c) 0 (d) 1Ans. (a)
Solution.Given
Hence, the correct option is (a).
Q.73. Ifthen f ′(1) is equal to(a) 1/100(b) 100 (c) does not exist
(d) 0Ans. (b)
Solution.Given
∴ f '(1) = 1 + 1 + 1 + ..... + 1 (100 times) = 100
Hence, the correct option is (b).
Q.74. Iffor some constant 'a', then f ′(a) is(a) 1(b) 0
(c) does not exist
(d) 1/2Ans. (c)
Solution. Given
∴
So
= does not exist
Hence, the correct option is (c).
Q.75. If f (x) = x100 + x99 + ... + x + 1, then f′(1) is equal to(a) 5050 (b) 5049 (c) 5051 (d) 50051Ans. (a)
Solution.Given, f(x) = x
100 + x
99 + ... + x + 1
∴ f
′(x) = 100x
99 + 99.x
98 + ... + 1
So, f
′ (1) = 100 + 99 + 98 + ... + 1
= 50[200 - 99] = 50 x 101 = 5050
Hence, the correct option is (a).
Q.76. If f (x) = 1 - x + x2 - x3 ... - x99 + x100, then f ′(1) is equal to(a) 150 (b) - 50 (c) - 150 (d) 50Ans. (d)
Solution.Given that f (x) = 1 - x + x
2 - x
3 + ... - x
99 + x
100f
′(x) = - 1 + 2x - 3x
2 + ... - 99x
98 + 100 x
99∴ f
′(1) = - 1 + 2 - 3 + ... - 99 + 100
= (- 1 - 3 - 5 ... - 99) + (2 + 4 + 6 + ... + 100)
= 25[-2 - 98] + 25 [4 + 98]
= 25 x -100 + 25 x 102
= 25[-100 + 102] = 25 x 2 = 50
Hence, the correct option is (d).
FILL IN THE BLANKS
Q.77. If= _______
Ans.
Given
Hence, the value of the filler is 1.
Q.78.then m = _______Ans.Given
Hence, the value of the filler is
Q.79. if= _______Ans. Given that
Hence the value of the filler is y.
Q.80.= _______Ans.Given
Hence, the value of the filler is 1.