Page No 5.25
Ques.21. Write the expression an- ak for the A.P. a, a + d, a + 2d, ...
Hence, find the common difference of the A.P. for which
(i) 11th term is 5 and 13th term is 79.
(ii) a10 -a5 = 200
(iii) 20th term is 10 more than the 18th term.
Ans. A.P: a, a+d, a+2d ...
Here, we first need to write the expression for an - ak
Now, as we know,
an = a + (n - 1)d
So, for nth term,
an = a + (n - 1)d
Similarly, for kth term
ak = a + (k - 1)d
So,
an - ak = (a + nd - d) - (a + kd - d)
= a + nd - d - a - kd + d
= nd - kd
= (n - k)d
So, an - ak = (n - k)d
(i) In the given problem, we are given 11th and 13th term of an A.P.
We need to find the common difference. Let us take the common difference as d and the first term as a.
Here,
a11 = 5
a13 = 79
Now, we will find a11 and a13 using the formula an = a + (n - 1)d
So,
a11 = a + (11 - 1)d
5 = a + 10d ...(1)
Also,
a13 = a + (13 - 1)d
79 = a + 12d ...(2)
Solving for a and d
On subtracting (1) from (2), we get
79 - 5 = (a + 12d) - (a + 10d)
74 = a + 12d - a - 10d
74 = 2d
d = 74/2
d = 37
Therefore, the common difference for the A.P. is d = 37.
(ii) We are given, a10 - a5 = 200
Here,
Let us take the first term as a and the common difference as d
Now, as we know,
an = a + (n - 1)d
Here, we find a30 and a20.
So, for 10th term,
a10 = a + (10 - 1)d
= a + (9)d
Also, for 5th term,
a5 = a + (5 - 1)d
= a + (4)d
So,
a10 - a5 = (a + 9d) - (a + 4d)
200 = a + 9d - a - 4d
200 = 5d
d = 200/5
d = 40
Therefore, the common difference for the A.P. is d = 4.
(iii) In the given problem, the 20th term is 10 more than the 18th term. So, let us first find the 20th term and 18th term of the A.P.
Here
Let us take the first term as a and the common difference as d
Now, as we know,
an = a + (n - 1)d
So, for 20th term (n = 20),
a20 = a + (20 - 1)d
= a + 19d
Also, for 18th term (n = 18),
a18 = a + (18 - 1)d
= a + 17d
Now, we are given,
a20 = a18 + 10
On substituting the values, we get,
a + 19d = a + 17d + 10
19d - 17d = 10
2d = 10
d = 10/2
d = 5
Therefore, the common difference for the A.P. is d = 5.
Ques.22. Find n if the given value of x is the nth term of the given A.P.
(i) 25, 50, 75, 100, ...; x = 1000
(ii) -1, -3, -5, -7, ...; x = -151
(iii) 5(1/2), 11, 16(1/2), 22, ...; x = 550
(iv) 1, 21/11, 31/11, 41/11,..., x = 171/11
Ans. In the given problem, we need to find the number of terms in an A.P(i) 25, 50, 75, 100 ...
We are given,
a
n = 1000
Let us take the total number of terms as n.
So,
First-term (a) = 25
Last term (a
n) = 1000
Common difference (d) = 50 - 25 = 25
Now, as we know,
a
n = a + (n - 1)d
So, for the last term,
1000 = 25 + (n - 1)25
1000 = 25 + 25n - 25
1000 = 25n
n = 1000/25
n = 40
Therefore, the total number of terms of the given A.P. is n = 40.
(ii) -1, -3, -5, -7 ...
We are given,
a
n = -151
Let us take the total number of terms as n.
So,
First-term (a) = -1
Last term (a
n) = -151
Common difference (d) = -3 - (-1)
= -3 + 1= -2
Now, as we know,
a
n = a + (n - 1)d
So, for the last term,
-151 = -1 + (n - 1)(-2)
-151 = -1 - 2n + 2
-151 = 1 - 2n
-2n = -151 - 1
On further simplifying, we get,
-2n = -152
n = -152/-2
n = 76
Therefore, the total number of terms of the given A.P. is n = 76.
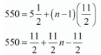
(iii) 5(1/2), 11, 16(1/2), 22, ...We are given,an = 550Let us take the total number of terms as n.So,
First term (a) = 5(1/2)
Last term (a
n) = 550
Common difference (d) = (11 - 5(1/2))
= 11 - (11/2)

= 11/2
Now, as we know,
a
n = a + (n - 1)d
So, for the last term,

550 = 11/2(n)
n = 550(2)/11
On further simplifying, we get,
n = 1100/11
n = 100
Therefore, the total number of terms of the given A.P. is n = 100.
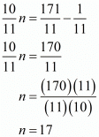
(iv) 1, 21/11, 31/11, 41/11,... We are given,
a
n = 171/11
Let us take the total number of terms as n.
So,
First-term (a) = 1
Last term (a
n) = 171/11
Common difference (d) = (21/11) - 1

Now, as we know,
a
n = a + (n - 1)d
So, for the last term,

On further simplifying, we get,

Therefore, the total number of terms of the given A.P. is n = 17.
Ques.23. The eighth term of an A.P. is half of its second term and the eleventh term exceeds one-third of its fourth term by 1. Find the 15th term.
Ans. a
8 = (1/2)a
2 and a
11 = (1/3)a
4 + 1
⇒ a + 7d =

⇒ a + 13d = 0 ...(i)
And,
a
11 = (1/3)a
4 + 1
⇒ a + 10d =

+ 1
⇒ 2a + 27d = 1 ...(ii)
Solve (i) and (ii), we get d = 1.
Therefore, a = -13
a
15 = a + 14d = -13 + 14 = 1
Ques.24. Find the arithmetic progression whose third term is 16 and seventh term exceeds its fifth term by 12.
Ans. Here, let us take the first term of the A.P as a and the common difference of the A.P as d
Now, as we know,
an = a + (n - 1)d
So, for 3rd term (n = 3),
a3 = a + (3 - 1)d
16 = a + 2d
a = 16 - 2d ...(1)
Also, for 5th term (n = 5),
a5 = a + (5 - 1)d
= a + 4d
For 7th term (n = 7),
a7 = a + (7 - 1)d
= a + 6d
Now, we are given,
a7 = 12 + a5
a + 6d = 12 + a + 4d
6d - 4d = 12
2d = 12
d = 6
Substituting the value of d in (1), we get,
a = 16 - 2(6)
= 16 - 12 = 4
So, the first term is 4 and the common difference is 6.
Therefore, the A.P. is 4, 10, 16, 22, ...
Ques.25. The 7th term of an A.P. is 32 and its 13th term is 62. Find the A.P.
Ans. Here, let us take the first term of the A.P. as a and the common difference of the A.P as d
Now, as we know,
an = a + (n - 1)d
So, for 7th term (n = 7),
a7 = a + (7 - 1)d
32 = a + 6d ...(1)
Also, for 13th term (n = 13),
a13 = a + (13 - 1)d
62 = a + 12d ...(2)
Now, on subtracting (2) from (1), we get,
62 - 32 = (a + 12d)-(a + 6d)
30 = a + 12d - a - 6d
30 = 6d
d = 30/6
d = 5
Substituting the value of d in (1), we get,
32 = a + 6(5)
32 = a + 30
a = 32 - 30
a = 2
So, the first term is 2 and the common difference is 5.
Therefore, the A.P. is 2, 7, 12, 27, ...
Ques.26. Which term of the A.P. 3, 10, 17, ... will be 84 more than its 13th term?Ans. In the given problem, let us first find the 13th term of the given A.P.
A.P. is 3, 10, 17 ...
Here,
First term (a) = 3
Common difference of the A.P. (d) = 10 - 3 =7
Now, as we know,
an = a + (n - 1)d
So, for 13th term (n = 13),
a13 = 3 + (13 - 1)(7)
= 3 + 12(7)
= 3 + 84
= 87
Let us take the term which is 84 more than the 13th term as an. So,
an = 84 + a13
= 84 + 87
= 171
Also, an = a + (n - 1)d
171 = 3 + (n - 1)7
171 = 3 + 7n - 7
171 = -4 + 7n
171 + 4 = 7n
Further simplifying, we get,
175 = 7n
n = 175/7
n = 25
Therefore, the 25th term of the given A.P. is 84 more than the 13th term.
Ques.27. Two arithmetic progression have the same common difference. The difference between their 100th terms is 100, What is the difference between their 1000th terms?
Ans. Here, we are given two A.P sequences which have the same common difference. Let us take the first term of one A.P. as a and of other A.P. as a'
Also, it is given that the difference between their 100th terms is 100.
We need to find the difference between their 100th terms
So, let us first find the 100th terms for both of them.
Now, as we know,
an = a + (n - 1)d
So, for 100th term of first A.P. (n = 100),
a100 = a + (100 - 1)d
= a + 99d
Now, for 100th term of second A.P. (n = 100),
a'100 = a' + (100 - 1)d
= a' + 99d
Now, we are given,
a100 - a'100 = 100
On substituting the values, we get,
a + 99d - a' - 99d = 100
a - a' = 100 ...(1)
Now, we need the difference between the 1000th terms of both the A.P.s
So, for 1000th term of first A.P. (n = 1000),
a1000 = a + (1000 - 1)d
= a + 999d
Now, for 1000th term of second A.P. (n = 1000),
a'1000 = a' + (1000 - 1)d
= a' + 999d
So,
a1000 - a'1000 = (a + 999d) - (a' + 999d)
= a + 999d - a' - 999d
= a - a'
= 100 (Using 1)
Therefore, the difference between the 1000th terms of both the arithmetic progressions will be 100.
Ques.28. For what value of n, the nth terms of the arithmetic progressions 63, 65, 67, ... and 3, 10, 17, ... are equal?
Ans. Here, we are given two A.P. sequences. We need to find the value of n for which the nth terms of both the sequences are equal. We need to find n
So let us first find the nth term for both the A.P.
First A.P. is 63, 65, 67 ...
Here,
First-term (a) = 63
Common difference of the A.P. (d) = 65 - 63 = 2
Now, as we know,
an = a + (n - 1)d
So, for nth term,
an = 63 + (n - 1)2
= 63 + 2n - 2
= 61 + 2n ...(1)
Second A.P. is 3, 10, 17 ...
Here,
First-term (a) = 3
Common difference of the A.P. (d) = 10 - 3 = 7
Now, as we know,
an = a + (n - 1)d
So, for nth term,
an = 3 + (n - 1)7
= 3 + 7n - 7
= -4 + 7n ...(2)
Now, we are given that the nth terms for both the A.P. sequences are equal, we equate (1) and (2),
61 + 2n = -4 + 7n
2n - 7n = -4 - 61
-5n = -65
n = -65/-5
n = 13
Therefore, n = 13.
Ques.29. How many multiples of 4 lie between 10 and 250?
Ans. In this problem, we need to find out how many multiples of 4 lie between 10 and 250.
So, we know that the first multiple of 4 after 10 is 12 and the last multiple of 4 before 250 is 248. Also, all the terms which are divisible by 4 will form an A.P. with the common difference of 4.
So here,
First-term (a) = 12
Last term (an) = 248
Common difference (d) = 4
So, let us take the number of terms as n
Now, as we know,
an = a + (n - 1)d
So, for the last term,
248 = 12 + (n - 1)4
248 = 12 + 4n - 4
248 = 8 + 4n
248 - 8 = 41
Further simplifying,
240 = 4n
n = 240/4
n = 60
Therefore, the number of multiples of 4 that lie between 10 and 250 is 60.
Ques.30. How many three-digit numbers are divisible by 7?
Ans. In this problem, we need to find out how many numbers of three digits are divisible by 7.
So, we know that the first three-digit number that is divisible by 7 is 105 and the last three-digit number divisible by 7 is 994. Also, all the terms which are divisible by 7 will form an A.P. with the common difference of 7.
So here,
First-term (a) = 105
Last term (an) = 994
Common difference (d) = 7
So, let us take the number of terms as n
Now, as we know,
an = a + (n - 1)d
So, for the last term,
994 = 105 + (n - 1)7
994 = 105 + 7n - 7
994 = 98 + 7n
994 - 98 = 7n
Further simplifying,
896 = 7n
n = 896/7
n = 128
Therefore, the number of three-digit terms divisible by 7 is128.