CAT Exam  >  CAT Notes  >  Quantitative Aptitude (Quant)  >  CAT Previous Year Questions - Coordinate Geometry

Coordinate Geometry CAT Previous Year Questions with Answer PDF

2024

Q1: In the XY-plane, the area, in sq. units, of the region defined by the inequalities y ≥ x + 4 and -4 ≤ x2 + y2 + 4(x - y) ≤ 0 is 
(a) 2π
(b) π
(c) 4π
(d) 3π

Ans: a

Sol: 

Coordinate Geometry CAT Previous Year Questions with Answer PDF

Coordinate Geometry CAT Previous Year Questions with Answer PDF

Q2: The number of distinct integer solutions (x, y) of the equation |x + y| + |x - y| = 2, is 

Ans: 8
Sol: We have,
|x + y| + |x – y| = 2
Let’s analyze the situation better with graphs

Coordinate Geometry CAT Previous Year Questions with Answer PDF

Now, we can see that these are the only 8 integral points where the above equation holds.
Hence, the required answer is 8. 

2023

Q1: The area of the quadrilateral bounded by the Y-axis, the line x = 5, and the lines |x − y| − |x − 5| = 2, is [2023]

Ans: 45
Sol:
Coordinate Geometry CAT Previous Year Questions with Answer PDF
Coordinate Geometry CAT Previous Year Questions with Answer PDF
Coordinate Geometry CAT Previous Year Questions with Answer PDF
So, every point on the line y = 2x − 7 where x ≤ 5 satisfies the given condition.
We are to find the area enclosed by the y-axis, x = 5 and the lines of |x−y|−|x−5|=2 .
Because the area we are interested is bounded by x = 0 (y-axis) and x = 5, 0 ≤ x ≤ 5.
So, we’ll only be concerned about Case III and Case IV.
A rough sketch of the bounded region looks like…
Coordinate Geometry CAT Previous Year Questions with Answer PDF
The line y = 2x – 7 touches x = 0 and x = 5 at (0, -7) and (5, 3) respectively.
Coordinate Geometry CAT Previous Year Questions with Answer PDF

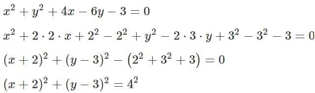
Q2: Let C be the circle x+ y + 4x - 6y - 3 = 0 and L be the locus of the point of intersection of a 2 pair of tangents to C with the angle between the two tangents equal to 60°. Then, the point at which I touches the line x = 6 is 
(a) (6,4)
(b) (6,8)
(c) (6,3)
(d) (6,6)

Ans: c
Sol:
 Coordinate Geometry CAT Previous Year Questions with Answer PDF

This is the equation of a circle with radius 4 units and centered at (-2, 3)

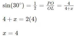
From a point L we drop two tangents on the circle such that the angle between the tangents is 60o.
Coordinate Geometry CAT Previous Year Questions with Answer PDF

∠LPO = 90∘ 

∠PLO=30
Coordinate Geometry CAT Previous Year Questions with Answer PDF

Therefore the locus of the point L, is a circle centered at (-2, 3) and has a radius of (4 + x = 8) units.

The equation of this locus is thus, (x + 2)2 +(y − 3)2 = 82
When x = 6, we have, (8)2 +(y − 3)= 82 , that is y = 3
The circle , (x + 2)2 +(y − 3)2 = 82, touches the line x = 6 at (6, 3).

2022

Q1: Let ABCD be a parallelogram such that the coordinates of its three vertices A, B, C are (1, 1), (3, 4) and (−2, 8), respectively. Then, the coordinates of the vertex D are 
(a) (−3, 4)
(b) (0, 11)
(c) (4, 5)
(d) (−4, 5)

Ans: d
Sol: In a parallelogram, two diagonals of parallelogram bisects each other, which concludes that mid-point of both diagonals are the same.
Coordinate Geometry CAT Previous Year Questions with Answer PDF

x = -4 and y = 5
The answer is option D.

2020

Q1: The area of the region satisfying the inequalities |x| - y ≤ 1, y ≥ 0 and y ≤ 1 is

Ans: 3
Sol:The graph of | x | - y ≤ 1, y ≥ 0 and y ≤ 1 is as follows:
Coordinate Geometry CAT Previous Year Questions with Answer PDF

Area of ABCD = Area of EFCD - Area of EAD - Area of BFC

= Coordinate Geometry CAT Previous Year Questions with Answer PDF
= Coordinate Geometry CAT Previous Year Questions with Answer PDF
= 4 - 1 = 3 Square units.

Q2: The area, in sq. units, enclosed by the lines x = 2, y = |x - 2| + 4, the X-axis and the Y-axis is equal to [2020]
A: 8
B: 12
C: 10
D: 6

Ans: C
Sol:
The line y = |x - 2| + 4 intersects the y-axis at (0,6) and intersects x = 2 at (2, 4)
The other vertices are (0,0) and (2,0)
The figure formed is a trapezium of parallel sides 6 and 4 and the distance between the parallel sides is 2.
Required answer = (1/2) x 2 x (6 + 4) = 10

Q3: The vertices of a triangle are (0,0), (4,0) and (3,9). The area of the circle passing through these three points is [2020]
A: 14π/3
B: 12π/5
C: 123π/7
D: 205π/9

Ans: D
Sol:
Coordinate Geometry CAT Previous Year Questions with Answer PDF
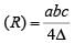
Area of the triangle = 1/2 x 4 x 9 = 18
The circumradius of the triangle Coordinate Geometry CAT Previous Year Questions with Answer PDF
Area of the circle
= Coordinate Geometry CAT Previous Year Questions with Answer PDF
= Coordinate Geometry CAT Previous Year Questions with Answer PDF


Q4: The points (2,1) and (-3,-4) are opposite vertices of a parallelogram. If the other two vertices lie on the line x + 9y + c = 0, then c is [2020]
A: 12
B: 14
C: 13
D: 15

Ans: B
Sol:
The given line also passes through the point of intersection of the diagonals of the parallelogram, which is the mid-point of (2,1) and (-3,-4). The mid-point of the given two points is (-1/2, -3/2).
Substituting the point in the given equation:
Coordinate Geometry CAT Previous Year Questions with Answer PDF
⇒ c = 14

2019

Q1: With rectangular axes of coordinates, the number of paths from (1,1) to (8,10) via (4,6), where each step from any point (x,y) is either to (x,y+1) or to (x+1,y) is [TITA 2019]

Ans: 3920
Sol:
Let us first consider travelling from (1,1) to (4, 6)
This means, Travelling from 1 to 4 units in the x axis → 3 horizontal movements (h h h)
And travelling from 1 to 6 units in the y axis -> 5 vertical movements (v v v v v)
No matter how we proceed, reaching from (1,1) to (4,6) requires 5 vertical movements and 3 horizontal movements.
So, Number of paths to travel from (1,1) to (4,6) = Number of ways of arranging (h h h v v v v v)
Number of ways of arranging (h h h v v v v v) = Coordinate Geometry CAT Previous Year Questions with Answer PDF
Similarly, travelling from (4, 6) to (8, 10) requires 4 horizontal movements and 4 vertical movements
Number of ways of arranging (h h h h v v v v) = Coordinate Geometry CAT Previous Year Questions with Answer PDF
Total number of paths = Coordinate Geometry CAT Previous Year Questions with Answer PDF x Coordinate Geometry CAT Previous Year Questions with Answer PDF= Coordinate Geometry CAT Previous Year Questions with Answer PDF x  Coordinate Geometry CAT Previous Year Questions with Answer PDF= 3920

Q2: Let T be the triangle formed by the straight line 3x + 5y - 45 = 0 and the coordinate axes. Let the circumcircle of T have radius of length L, measured in the same unit as the coordinate axes. Then, the integer closest to L is [TITA 2019]

Ans: 9
Sol:
Coordinate Geometry CAT Previous Year Questions with Answer PDF
We know that the equation of the straight line is 3x + 5y = 45
Coordinate Geometry CAT Previous Year Questions with Answer PDF
The intercepts are (15,0) and (0,9) respectively
Since it's a right-angled triangle, we know that Circumradius (R) = Coordinate Geometry CAT Previous Year Questions with Answer PDF
Circumradius = Coordinate Geometry CAT Previous Year Questions with Answer PDF= Coordinate Geometry CAT Previous Year Questions with Answer PDF
We know that √34 is approximately equal to 6
So, from trial and error to find the closest number, we find that the value of Circumradius is very close to 9
So, the integer closest to L = 9

Q3: Let S be the set of all points (x,y) in the x-y plane such that |x| + |y| ≤ 2 and |x| ≥ 1. Then, the area, in square units, of the region represented by S equals [TITA 2019]

Ans: 2
Sol:
Coordinate Geometry CAT Previous Year Questions with Answer PDF
Construct the given data on a rough graph.
Required area = Sum of area of two smaller triangles [ (-2,0) (-1,1) (-1,-1) and (2,0) (1,-1) (1,1) ]
Required area = 2 x (1/2) x base x height
Required area = 1 x 2 = 2 Sq units

2018

Q1: A triangle ABC has area 32 sq units and its side BC, of length 8 units, lies on the line x = 4. Then the shortest possible distance between A and the point (0,0) is [2018]
A: 4√2 units
B: 2√2 units
C: 4 units
D: 8 units

Ans: C
Sol:
Coordinate Geometry CAT Previous Year Questions with Answer PDF
Given Area (△ABC) = 32 sq units and one of the length BC = 8 units on the line x = 4
Let us draw a graph and plot the given values.
We know that area of the Triangle = 1/2  × base × height considering BC as the base, area of the Triangle = 1/2 × 8 × height = 32
Height = Coordinate Geometry CAT Previous Year Questions with Answer PDF
Since the base lies on x = 4 and has a vertical height is of length = 8 units, A can either lie on the line x = 12 or on x = - 4
However, since we need to find the shortest possible distance between A and the origin, A should lie on the line x = - 4
So, shortest possible distance to A from the point (0,0) = 4 units

The document Coordinate Geometry CAT Previous Year Questions with Answer PDF is a part of the CAT Course Quantitative Aptitude (Quant).
All you need of CAT at this link: CAT
167 videos|238 docs|95 tests

FAQs on Coordinate Geometry CAT Previous Year Questions with Answer PDF

1. What are the basic concepts of coordinate geometry?
Ans. Coordinate geometry involves studying geometrical shapes using the coordinate system, where points are located using ordered pairs of numbers (x, y). This system allows for the calculation of distances, slopes, and equations of lines.
2. How can we find the distance between two points using coordinate geometry?
Ans. The distance between two points A(x1, y1) and B(x2, y2) can be found using the distance formula: d = √((x2 - x1)^2 + (y2 - y1)^2).
3. What is the equation of a straight line in coordinate geometry?
Ans. The equation of a straight line in coordinate geometry can be represented in various forms, such as slope-intercept form (y = mx + b), point-slope form (y - y1 = m(x - x1)), or standard form (Ax + By = C).
4. How do we determine if two lines are parallel using coordinate geometry?
Ans. Two lines are parallel if they have the same slope. To determine this, calculate the slopes of both lines using the formula m = (y2 - y1)/(x2 - x1) and check if they are equal.
5. Can coordinate geometry be used to find the midpoint of a line segment?
Ans. Yes, the midpoint of a line segment can be found using the midpoint formula: M((x1 + x2)/2, (y1 + y2)/2), where (x1, y1) and (x2, y2) are the coordinates of the endpoints of the line segment.
Related Searches

pdf

,

Important questions

,

Sample Paper

,

Free

,

Semester Notes

,

shortcuts and tricks

,

Exam

,

Previous Year Questions with Solutions

,

practice quizzes

,

MCQs

,

mock tests for examination

,

ppt

,

Coordinate Geometry CAT Previous Year Questions with Answer PDF

,

video lectures

,

Coordinate Geometry CAT Previous Year Questions with Answer PDF

,

Extra Questions

,

Objective type Questions

,

study material

,

Coordinate Geometry CAT Previous Year Questions with Answer PDF

,

Viva Questions

,

past year papers

,

Summary

;