The main focus of this document is to practice the questions before you go and attempt your nationwide tests @EduRev so that you will be more relating to questions asked in that exam & be more confident about your answers.
All The Best!
Example 1: If three numbers are in the ratio of 1 : 3 : 5 and half the sum is 9, then the ratio of cubes of the numbers is:
(a) 6 : 12 : 13
(b) 1 : 3 : 25
(c) 1 : 27 : 125
(d) 3 : 5 : 7
Ans: (c)
Sol: Let the numbers be x, 3x and 5x.
Half of sum = 9 ⇒ Total sum = 18
x + 3x + 5x = 9x = 18
⇒ x = 2
Numbers = 2, 6, 10
Cubes of numbers:
2³ = 8, 6³ = 216, 10³ = 1000
Ratio of cubes = 8 : 216 : 1000
Divide by 8:
= 1 : 27 : 125
Example 2: Three quantities A, B, C are such that AB = KC, where k is a constant. When A is kept constant, B varies directly as C; when B is kept constant, A varies directly C and when C is kept constant, A varies inversely as B. Initially, A was at 5 and A : B : C was 1 : 3 : 5. Find the value of A when B equals 9 at constant C.
(a) 8
(b) 8.33
(c) 9
(d) 9.5
Ans: (b)
Sol: Corresponding values:
A = 5, B = 15, C = 25
Given relation: AB = kC
Substitute values:
5 × 15 = k × 25
75 = 25k
k = 3
So, AB = 3C
When C is constant at 25 and B = 9:
A × 9 = 3 × 25
A × 9 = 75
A = 75 / 9 = 25 / 3 ≈ 8.33
Example 3: A began a business with Rs. 4,500 and was joined afterwards by B with Rs. 5,400. If the profits at the end of the year were divided in the ratio 2 : 1, then B joined the business after:
(a) 5 months
(b) 4 months
(c) 6 months
(d) 7 months
Ans: (d)
Sol: A's share ∝ 4500 × 12
B's share ∝ 5400 × n
Profit ratio:
4500 × 12 : 5400 × n
Divide both by 900:
5 × 12 : 6 × n
60 : 6n
10 : n
Given ratio = 2 : 1
10 : n = 2 : 1
n = 5 months
B invested for 5 months
Therefore, B joined after = 12 - 5 = 7 months
Try yourself: X varies jointly as Y and Z; and X = 6 when Y = 3, Z = 2; find X when Y = 5, Z = 7.
Try yourself: 3650 is divided among 4 engineers, 3 MBAs and 5 CAs such that 3 CAs get as much as 2 MBAs and 3 Engineers as much as 2 CAs. Find the share of an MBA.
Try yourself: Divide Rs rs.5000 among A, B, C and D so that A and B together get 3/7thof what C and D get together, C gets 1.5 times of what B gets and D gets 4/3 times as much as C. Now the value of what B gets is
Try yourself: A bag contains Rs. 600 in the form of one rupee, 50 paise and 25 paise coins in the ratio of 3 : 4 : 12. Find the total value (in Rs.) of the 25 paise coins present in the bag.
Try yourself: Divide Rs.1400 into three parts in such a way that half of the first part, one-fourth of the second part and one-eighth of the third part are equal.
Try yourself: The students in three batches at EduRev are in the ratio 2 : 3 : 5. If 20 students are increased in each batch, the ratio changes to 4 : 5 : 7. The total number of students in the three batches before the increases were
Almost 70% of questions in CAT are of Medium based questions. Though the conceptually they seem easier, the trick is to solve the calculations faster & we curated problems for you to help you do problems easier.
Example 1: Monthly incomes of X and Y are in the ratio 1 : 3 and their expenses are in the ratio 19 : 40. X saves Rs. 18,860 less than that Y and in total they save Rs. 36,020. The income of X and Y respectively are:
(a) Rs. 10,480 and Rs. 31440
(b) Rs. 9,000 and Rs. 27,000
(c) Rs. 14,200 and Rs. 42,600
(d) Rs. 18,000 and Rs. 31,440
Ans: (a)
Sol: Let income of X = p
Income of Y = 3p
Let expenses of X = 19q
Expenses of Y = 40q
Savings of X = p - 19q
Savings of Y = 3p - 40q
Total savings:
(p - 19q) + (3p - 40q) = 36,020
4p - 59q = 36,020 ......(1)
Difference in savings:
(3p - 40q) - (p - 19q) = 18,860
2p - 21q = 18,860 ......(2)
Multiply (2) by 2:
4p - 42q = 37,720 ......(3)
Subtract (1) from (3):
(4p - 42q) - (4p - 59q) = 37,720 - 36,020
17q = 1,700
q = 100
Substitute in (1):
4p - 59×100 = 36,020
4p - 5,900 = 36,020
4p = 41,920
p = 10,480
Income of X = ₹10,480
Income of Y = 3p = ₹31,440
Example 2: A student scored marks in the ratio 5 : 4 : 6 : 8 : 7 in five subjects having equal maximum marks. In all, he scored 50% of the maximum marks in all the five subjects taken together. In how many subjects did he score more than 55% of the maximum marks?
(a) 1
(b) 2
(c) 3
(d) 4
Ans: (b)
Sol: Let marks = 5x, 4x, 6x, 8x, 7x
Total obtained = 30x
Since this is 50% of total maximum:
Total maximum = 60x
Maximum per subject = 60x ÷ 5 = 12x
55% of maximum per subject:
= 0.55 × 12x
= 6.6x
Compare each subject:
5x < 6.6x → No
4x < 6.6x → No
6x < 6.6x → No
8x > 6.6x → Yes
7x > 6.6x → Yes
Number of subjects with >55% = 2
Example 3: A person buys some apples and mangoes from the market. The cost price of a mango is twice that of an apple and the selling price of a mango is thrice that of an apple. By selling an apple at twice its cost price, he makes 150% profit on the whole. Find the ratio of the number of mangoes to that of apples that he bought from the market.
(a) 3 : 5
(b) 3 : 4
(c) 1 : 2
(d) 2 : 3
Ans: (c)
Sol: Let cost of an apple = c
Cost of a mango = 2c
Selling price of an apple = 2c
Selling price of a mango = 3 × 2c = 6c
Let number of apples = x
Number of mangoes = y
Total cost:
= xc + 2yc
= c(x + 2y)
Total revenue:
= 2cx + 6cy
= c(2x + 6y)
Profit:
= Revenue - Cost
= c(2x + 6y - x - 2y)
= c(x + 4y)
Given profit = 150% ⇒ Profit/Cost = 3/2

Cross multiply:
2(x + 4y) = 3(x + 2y)
2x + 8y = 3x + 6y
x = 2y
So, y/x = 1/2
Ratio (mangoes : apples) = 1 : 2
Try yourself: The ratio of the first class fare and second class fare is 3 : 1 and that of the number of passengers traveling by the first class and by the second class is 1 : 27. If Rs. 2,700 is collected as fare, then the amount collected from the first class passengers is
Try yourself: The ratios of the incomes and the expenditures of Aishwarya, Babita and Charu are 7 : 9 : 12 and 8 : 9 : 15 respectively. If Aishwarya saves one-fourth of her income, then the ratio of their savings is
Try yourself: Total expenses of a boarding house are partly fixed and partly varying linearly with the number of boarders. The average expense per boarder is Rs. 700 when there are 25 boarders and Rs. 600 when there are 50 boarders. What is the average expense per boarder when there are 100 boarders? (CAT 1999)
Try yourself: Sahil employs 200 men to build a bund. They finish 5/6 of the work in 10 weeks. Because of some natural calamity not only does the work remain suspended for 4 weeks but also half of the work already done is washed away. After the calamity, when the work is resumed, only 140 men turn up. The total time in which the contractor is able to complete the work assuming that there are no further disruptions in the schedule
Try yourself: A bag contains 25 paise, 50 paise and 1 Rupee coins. There are 220 coins in all and the total amount in the bag is Rs160. If there are thrice as many 1 Rupee coins as there are 25 paise coins, then what is the number of 50 paise coins?
Try yourself: A mother divided an amount of Rs 61,000 between her two daughters aged 18 years and 16 years respectively and deposited their shares in a bond. If the interest rate is 20% compounded annually and if each received the same amount as the other when she attained the age of 20 years, their shares are
Try yourself: 40 men could have finished the whole project in 28 days but due to the inclusion of a few more men, work got done in 3/4 of the time. Find out how many more men were included (in whole numbers).
Around 25% of these types of questions come in CAT - If your target is above 95%ile, we recommend you solve these questions.
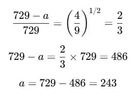
Example 1: From a full barrel containing 729 litres of honey, we pour off 'a' litre and add water to fill up the barrel. After stirring the solution thoroughly, we pour off 'a' litre of the solution and again add water to fill up the barrel. After the procedure is repeated 6 times, the solution in the barrel contains 64 litres of honey. Find a.
(a) 243 litres
(b) 81 litres
(c) 2.7 litres
(d) 3 litres
Ans: (a)
Sol: Initial honey = 729 L
After each operation, fraction of honey remaining:

After 6 repetitions:

Taking sixth root:

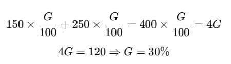
Example 2:There are two alloys of gold, silver and platinum. The first alloy is known to contain 40% of platinum and the second alloy 26 % of silver. The percentage of gold is the same in both alloys. Having alloyed 150 kg of the first alloy and 250 kg of the second, we get a new alloy that contains 30 per cent of gold. How many kilograms of platinum is there in the new alloy?
(a) 170 kg
(b) 175 kg
(c) 160 kg
(d) 165 kg
Ans: (a)
Sol: Total weight = 150 + 250 = 400 kg
Gold in new alloy:
30% of 400=120 kg
Let gold percentage in each alloy = G%
Gold from both alloys:

Alloy 1 (150 kg):
Platinum = 40%
Gold = 30%
Silver = 30%
Platinum from alloy 1:
Alloy 2 (250 kg):
Silver = 26%
Gold = 30%
Platinum = 100 - 26 - 30 = 44%
Platinum from alloy 2:
0.44 × 250 = 110 kg
Total platinum in new alloy: 60+110=170 kg
Answer: (a) 170 kg
Try yourself: In two alloys, the ratios of nickel to tin are 5 : 2 and 3 : 4 (by weight). How many kilogram of the first alloy and of the second alloy should be alloyed together to obtain 28 kg of a new alloy with equal contents of nickel and tin?
Try yourself: Total expenses of running the hostel at Harvard Business School are partly fixed and partly varying linearly with the number of boarders. The average expense per boarder is $70 when there are 25 boarders and $60 when there are 50 boarders. What is the average expense per boarder when there are 100 boarders?
Try yourself: Gunpowder can be prepared by saltpetre and nitrous oxide. Price of saltpetre is thrice the price of nitrous oxide. Notorious gangster Kallu Bhai sells the gunpowder at Rs 2160 per 10 g, thereby making a profit of 20%. If the ratio of saltpetre and nitrous oxide in the mixture be 2 : 3, find the cost price of saltpetre.
This brings you to the end of practice document, EduRev wishes you the best for your online practice tests on our platform.
| 1. How do I find the ratio of two quantities when one keeps changing in a word problem? | ![]() |
| 2. What's the difference between direct proportion and inverse proportion in CBSE practice questions? | ![]() |
| 3. Why do I get different answers when solving the same ratio problem using different methods? | ![]() |
| 4. Can I use proportion to solve missing values in ratios, or do I need a different approach? | ![]() |
| 5. How do compound ratios appear in CUET Commerce General Test questions, and what's the quickest way to handle them? | ![]() |