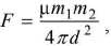
where μ is called the absolute permeability of the medium.
, a vector from south to north pole o f the magnetic dipole.
Here, m is pole strength of the magnetic dipole. S.I. unit of magnetic dipole moment is (Am2).
Magnetic lines of force : Magnetic lines of force are imaginary curves.
These are continuous and closed curves. Inside the magnet, they travel from south pole to north pole. Outside the magnet, they travel from north pole to south pole. They have neither a beginning nor an end.
They are crowded near the poles indicating a stronger magnetic field near the poles.
Tangent drawn to the curve at any point denotes the direction of magnetic field at that point.
Lines of force are drawn equidistant and parallel to each other to indicate a uniform magnetic field.
No line of force passes through a neutral point situated in the magnetic field of a magnet.
Lines of force never intersect each other. At a point, the field has one direction only.
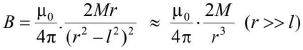
Magnetic field due to a bar magnet: The magnetic field due to a bar magnet of length 2l and having magnetic dipole moment M at a distance r from its centre
(i) on its axial line is given by
(ii) on its equatorial line is given by
Torque on a magnetic dipole in a magnetic field: When a magnetic dipole of magnetic dipole moment
is placed in a uniform magnetic field of strength
making an angle θ with the direction of magnetic field, it experiences a torque, which is given by
Magnetic dipole moment can be defined as the torque acting on a magnetic dipole placed normal to a uniform magnetic field of unit strength.
Potential energy stored in a magnetic dipole on rotating inside a magnetic field: The work done in rotating a magnetic dipole against the torque acting on it, when placed in magnetic field is stored inside it in the form of potential energy. When magnetic dipole is rotated from initial position θ = θ1 to final position θ = θ2 then, potential energy stored is given by
U= - MB (cosθ2 - cosθ1)
A current carrying loop behaves as a magnet i.e. magnetic dipole. Thus magnetic dipole moment of a current loop i.e.
M=IA
where A = area of the loop.
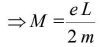
In an atom, electrons revolve around the nucleus in circular orbits. The movement of the electron in circular orbit around the nucleus in anticlockwise direction is equivalent to the flow of current in the orbit in clockwise direction. Thus the orbit of electron is considered as tiny current loop.
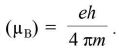
Bohr Magneton 
A current carrying straight solenoid behaves like a bar magnet.
Geographic meridian: An imaginary vertical plane passing through the axis of rotation of the earth is called the geographic meridian.
Magnetic meridian: An imaginary vertical plane passing through the axis of a freely suspended magnet is called the magnetic meridian. It represents the direction of earth's magnetic field.
Magnetic elements: The quantities, magnetic declination, magnetic inclination (dip) and horizontal component of earth's magnetic field completely determine the earth's magnetic field at a given place and are called magnetic elements.
Magnetic declination at a place is the angle between the geographic meridian and magnetic meridian. It is denoted by θ.
Magnetic inclination (dip) at a place is the angle between the direction of the intensity of the total earth's magnetic field and the horizontal. It is denoted by
The figure shows two imaginary vertical planes known as geographical and magnetic meridians.
θ = angle of declination,
= angle of dip
B = total intensity of earth, BH = horizontal component
BV = vertical component of earth's field B.
From geometry of figure, BH = Bcos 
Bv = 5sin
B2V + B2H = B2
Angle of dip
is zero at magnetic equator. Hence on magnetic equator, BH = B, BV = 0.
Angle of dip
is 90° at the poles. Hence at poles, BV = B, BH= zero.
When the magnetic needle oscillates in the vertical east-west plane, at right angles to magnetic meridian, then only BV acts on it.
When the dip needle oscillates at right angles to the magnetic meridian in a horizontal plane, then only BH acts on it.
When the dip needle oscillates in the vertical plane in magnetic meridian, then both the components BV and BH of earth's magnetic field act upon it.
The horizontal component of earth's magnetic field BH acts from south to north direction.
Magnetic latitude
(i) If at any place, the angle of dip is
and magnetic latitude is λ, then tan
= 2tanλ.
(ii) The total intensity of earth's magnetic field
It is assumed that a bar magnet of earth has magnetic moment M and radius of earth is R.
(iii) At magnetic equator of earth, λ = 0 and at poles of earth λ = 90°. Hence IP = 2IE.
Angle of declination =17°.
(i) At magnetic poles, a freely suspended magnetic needle becomes vertical.
(ii) At magnetic equator, a freely suspended magnetic needle becomes horizontal.
The resultant magnetic field of earth B is in the magnetic meridian.
Magnetic maps are maps obtained by drawing lines passing through different places on the surface of earth, having the same value of a magnetic element.
A line drawn through points of equal declination is called isogonal line.
A line drawn through points of zero declination is called agonal line.
A line passing through places of same value of dip is called isoclinic line.
Isoclinic line corresponding to zero dip is called aclinic line, or magnetic equator.
A line passing through places having equal values of BH is called isodynamic line.
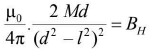
Neutral point: It is that point, where the magnetic field due to a bar magnet is completely cancelled by the horizontal component of earth's magnetic field.
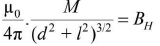
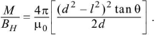
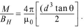
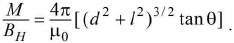
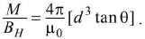
(i) When a bar magnet is placed with its north pole towards south of the earth, the neutral points are obtained on axial line of the magnet. If d is the distance of the neutral point from the centre of the magnet,
(ii) When a bar magnet is placed with its north pole towards north of the earth, the neutral points are obtained on equatorial line of the magnet. If d is the distance of the neutral point from the centre of the magnet,
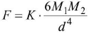
Tangent law: It states that when a short bar magnet is suspended freely under the combined action of two uniform magnetic fields of intensities B and BH acting at 90° to each other, the magnet conies to rest making an angle θ with the direction of magnetic field BH, such that
B = BH tanθ
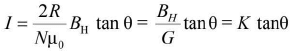
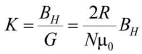
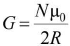
Tangent galvanometer: A tangent galvanometer is a moving magnet and fixed coil type galvanometer. It is based on tangent law and is used to measure very small currents. If a tangent galvanometer has coil of radius R and number of turns N, then deflection 0 produced on passing current I is given by
Here,
is called galvanometer constant and
is called reduction factor o f tangent galvanometer.
Deflection magnetometer is an instrument used for magnetic measurements.
A deflection magnetometer is said to be set for Tan A position, when the magnetometer board axis is parallel to the pointer reading 0° - 0°.
A magnetometer is said to be set for in Tan B position when the magnetometer board is parallel to the magnet with the pointer reading 0° - 0°.
In Tan A position, 
For a short magnet, 
In Tan B position, 
For a short magnet,
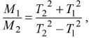
Vibration magnetometer is used for comparing magnetic moments of two magnets and also for comparing the horizontal component of earth's field at two places.
In a vibration magnetometer, the period of oscillation, T is given by T =
where I is the moment of inertia of the magnet about the suspension.
Frequency of oscillation in a vibration magnetometer is given by 
If two magnets are placed one above the other symmetrically and allowed to oscillate with a period, T1 in a horizontal plane with a uniform field and with a period T2 when one of the magnets is reversed, then
M1 and M2 being the moments of the magnets.
Magnetic quantities -Units and dimensions

Magnetic flux (ϕ): The number of lines of force passing through a given area is known as magnetic flux. It is expressedas weber (Wb).
Magnetic induction (B): The number of magnetic lines of force (or magnetic flux) passing through unit normal area is defined as magnetic induction.
Magnetic flux = magnetic induction x normal area
ϕ = BA ⇒ B = ϕ/A
Magnetic induction B is a vector quantity.
It is expressed as weber/metre2 or tesla.
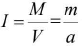
Intensity of magnetisation. It is defined as the magnetic dipole moment developed per unit volume or the pole strength developed per unit area of cross-section of the specimen. It is given by
Here, V is volume and a is area of cross-section of the specimen. Magnetic induction, intensity of magnetisation and magnetic intensity are related to each other as below :
B = μ0 (H + I)
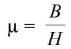
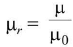
Magnetic permeability. The magnetic permeability of a material is defined as the ratio of the magnetic induction (B) of the material to the strength of magnetising field (H). It is given by
If μr is relative permeability of a medium, then
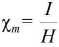
Magnetic susceptibility. The magnetic susceptibility of a material is defined as the ratio of the intensity of magnetisation (I) and the strength of magnetising field (H). It is given by
Also μ0 = po (1 +χm) so that μr = 1 +χm
The resultant field produced inside a specimen placed in a magnetic field (along the field) is called magnetic induction B or magnetic flux density.
On the basis of magnetic properties, different materials have been classified into three categories; diamagnetic, paramagnetic and ferromagnetic substances.

Diamagnetic substance is a substance, a specimen of which when placed in a magnetic field tends to move from stronger to weaker regions; permeability is slightly less than unity.
Paramagnetic substance is a substance, a specimen of which when placed in a magnetic field tends to move from weaker to stronger regions; permeability is slightly greater than unity.
Ferromagnetic substances are substances which can be strongly magnetised; permeability has very large value.
Curie temperature It is the temperature for a ferromagnetic substance above which, it behaves as a paramagnetic substance.
Curie's Law states that the magnetic susceptibility of a paramagnetic substance varies inversely with its absolute temperature.
Hysteresis. The lagging of intensity of magnetisation (or magnetic induction) behind the magnetising field, when a magnetic specimen is taken through a cycle of magnetisation, is called hysteresis.
Retentivity. The value of intensity of magnetisation of the magnetic material, when the magnetising field is reduced to zero, is called its retentivity.
Coercivity. The value of the reverse magnetising field, which has to be applied to the magnetic material so as to reduce the residual magnetisation to zero, is called its coercivity.
Permanent Magnets : Steel is common material used to make permanent magnets. It has high residual magnetism. It has high coercivity i.e. hysteresis loop is wider.
Although area of hysteresis loop for steel is large yet it is of no importance because a permanent magnet is supposed to retain the magnetism and not required to undergo cycle of magnetisation.
Electromagnets : The material for cores of electromagnets should have maximum flux density with comparatively small magnetising field and low hystersis loss. Soft iron is best suited for electromagnet. The hysteresis loop is thin and long. Due to the small area of hysteresis loop, energy loss is small.
Dimensions of M = M0L2T0A1 = L2A.
About 90% of magnetic moment is due to spin motion of electrons while remaining 10% is due to their orbital motion.
When a magnet is divided into n equal parts parallel to length, magnetic moment of each part is equal to M/n. Here length of each part is same (l) but due to division of width, the pole strength of each part becomes min.

When a magnet is divided into n equal parts perpendicular to length, width of each part remains the same but length of each part = l/n.

When a current I flows in a coil of effective area A and number of turns N, the magnetic moment of coil M = NIA.
A = area of coil = πr2, M = NIπr2.
The magnetic moment of a current carrying solenoid = NIA.
M acts along the axis of solenoid.
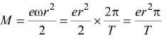
Magnetic moment associated with an electron (or charge) having charge e when it revolves in a circular orbit of radius r with angular speed ω is
The magnetic moment associated with the electron revolving in the first Bohr orbit is known as Bohr magneton (μB).
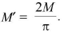
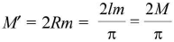
A thin magnetic needle of moment M, length 1 and pole -strength m is turned into a semicircular arc. Then 

M = Im
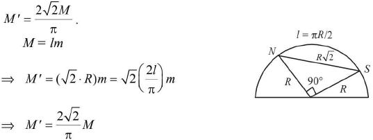
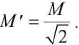
A thin magnet of moment M is turned into an arc of 90°. Then new magnetic moment
Here new length of the magnet turned into an arc NS = R√2
A thin moment M is turned at midpoint at 90°. Then new magnetic moment 

A thin magnet of moment M is turned into an arc of 60°. Then new magnetic moment M is given by M' = 3M/n.
M= Im
A thin magnet of moment M is bent at midpoint at angle of 60°. Then new magnetic moment
M' = M/2.
M= Im
M' = (NS)m
Original magnet NOS is bent at O, the mid point, at 60°. All sides are equal.
Two magnets o f moments M1 and M2 are held at 60° to each other. Their south poles are in contact. If m agnets are identical with moment M, new m agnetic moment
M' = √3M.
M2 acts along S2N2
M1 acts along S1N1 from south to north.
Resultant (M')2 = M12 + M22 + 2M1M2cosθ
= M2 + M2 + 2M x M x cos60° = 2M2 + M2
(M')2 = 3 M2
M' = √3M




in end-on position.
the real dip
and the angle with magnetic meridian 9 are related astan
cosθ = tan
geometric length of magnet.