Q1: The figure shows a thin cylinder pressure vessel constructed by welding plates together along a line that makes an angle α = 6 0 ∘ with the horizontal. The closed vessel has a wall thickness of 10 m m 10 mm and diameter of 2 m. When subjected to an internal pressure of 200kPa, the magnitude of the normal stress acting on the weld is ______ MPa (rounded off to 1 decimal place). [GATE ME 2024]
Ans: (12.3 to 12.7)
P = 200kPa = 0.2MPa
d =2 m
t =10 mm 
σa + σl = Pd/4t
= 0.2 x 2 x 103/4 x 10 = MPa
⇒ σc = σ y = -2σ1 = 2 x σx = 2 x 10 = 20MPa//
σ0 = σn
cos 2 x 30° + Txy x sin 2 x 30°
σn = 10 + 20/2 + (10 - 20)/2 cos 60 + 0 = 12.5Mpa
Q1: Ignoring the small elastic region, the true stress (σ)- true strain (ε) variation of a material beyond yielding follows the equation σ = 400 ε 0.3 MPa. The engineering ultimate tensile strength value of this material is ________ MPa. (Rounded off to one decimal place) [GATE ME 2023]
Ans: (206 to 207)
Given
σT = 400 ε 0.3 = 400 εT 0.3 . . . ( i )
ε = true strain = εT
n = 0.3 = strain hardening exponent
The true strain (εT) at the onset of necking equal to the strain hardening exponent i.e. at ultimate tensile point.
So,εT = n = 0.3 at ultimate point
So, from equation (i)
σT = 400 × (0.3) 0.3 =278.74MPa at ultimate point
As εT = ln (1 + ε)
So,ε = eεT-1 = e0.3-1=0.35
and σT= σ(1 + ε)
So σ ultimate = σT/1 + ε + 278.74/1 + 0.35 = 206. 55Mpa
Q2: The principal stresses at a point P in a solid are 70 MPa, -70 MPa and 0. The yield stress of the material is 100 MPa. Which prediction(s) about material failure at P is/are CORRECT? [GATE ME 2023]
(a) Maximum normal stress theory predicts that the material fails
(b) Maximum shear stress theory predicts that the material fails
(c) Maximum normal stress theory predicts that the material does not fail
(d) Maximum shear stress theory predicts that the material does not fail
Ans: (b, c)
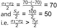
σ1=70MPa, σ2 =-70MPa, σ3=0, Syt = 100MPa
For maximum shear stress theory:
So material will fail As per maximum normal stress theory:
σ1 and sigma 2 > sigma yt
then material will fail
Here 70 & -70 < 100
So material is safe.
Q1: A prismatic bar PQRST is subjected to axial loads as shown in the figure. The segments having maximum and minimum axial stresses, respectively, are [GATE ME 2021 SET-1 ]
(a) QR and PQ
(b) ST and PQ
(c) QR and RS
(d) ST and RS
Ans: (d)
Pmax = PST = 25kN
Pmin = PRS = 5kN
Hence, maximum and minimum axial stresses are in ST and RS portions because of prismatic bar.
Q2: The loading and unloading response of a metal is shown in the figure. The elastic and plastic strains corresponding to 200 MPa stress, respectively, are [GATE ME 2021 SET-1]
(a) 0.01 and 0.01
(b) 0.02 and 0.01
(c) 0.01 and 0.02
(d)0.02 and 0.02
Ans: (b)
Elastic strain : Which can be recovered = 0.03 - 0.01 = 0.02
Plastic strain : Permanent strain = 0.01
Q1: Uniaxial compression test data for a solid metal bar of length 1 m is shown in the figure.

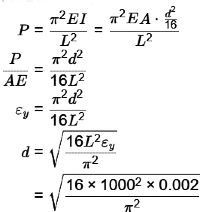
The bar material has a linear elastic response from O to P followed by a non-linear response. The point P represents the yield point of the material. The rod is pinned at both the ends. The minimum diameter of the bar so that it does not buckle under axial loading before reaching the yield point is _______ mm (round off to one decimal place). [GATE ME 2020, SET-2]
Ans: (55 to 58)
For both end pin,
= 56.94mm
Q2: Bars of square and circular cross-section with 0.5 m length are made of a material with shear strength of 20 MPa. The square bar cross-section dimension is 4 cm x 4 cm and the cylindrical bar cross-section diameter is 4 cm. The specimens are loaded as shown in the figure.

Which specimen(s) will fail due to the applied load as per maximum shear stress theory? [GATE ME 2020 SET-1 ]
(a) Tensile and compressive load specimens
(b) Torsional load specimen
(c) Bending load specimen
(d) None of the specimens
Ans: (a)
σ = 80 x 103/402 = 50N/mm2
Tmax = σ/2 = 25N/mm2 > 20MPa
= 16N/mm2 <20MPa
σ = 320 x 103/403 = 30N/mm2
6 = σ/2 = 15N/mm2 < 20MPa
Tmax = σ/2
| 1. What's the difference between stress and strain in GATE Mechanical Engineering problems? | ![]() |
| 2. How do I identify whether a GATE past year question involves tensile or compressive stress? | ![]() |
| 3. Why do shear stress and shear strain calculations confuse me in GATE exam questions? | ![]() |
| 4. What's the relationship between Young's modulus, bulk modulus, and shear modulus in stress-strain GATE problems? | ![]() |
| 5. How should I approach solving elastic strain energy questions from previous GATE exams? | ![]() |