Q1: Consider an air-standard Brayton cycle with adiabatic compressor and turbine, and a regenerator, as shown in the figure. Air enters the compressor at 100kPa and 300 K and exits the compressor at 600kPa and 550 K. The air exits the combustion chamber at 1250 K and exits the adiabatic turbine at 100kPa and 800 K. The exhaust air from the turbine is used to preheat the air in regenerator. The exhaust air exits the regenerator (state 6) at 600 K. There is no pressure drop across the regenerator and the combustion chamber. Also, there is no heat loss from the regenerator to the surroundings. The ratio of specific heats at constant pressure and volume is cp/cv = 1.4. The thermal efficiency of the cycle is _____ % (answer in integer). [GATE ME 2024]
Ans: 40 to 40
T1 = 300 K
T2 = 550 K
T4 = 1250 K
T5 = 800 K
T6 = 600 K
γ = 1.4
Wnet = CP(T4-T5) - CP(T2-T1)
QR = CP(T6-T1)
QS = Wnet +QR
So, η = Wnet /Qs
Q2: Which one of the following statements regarding a Rankine cycle is FALSE? [GATE ME 2024]
(a) Superheating the steam in the boiler increases the cycle efficiency.
(b) The pressure at the turbine outlet depends on the condenser temperature.
(c) Cycle efficiency increases as a condenser pressure decreases.
(d) Cycle efficiency increases as boiler pressure decreases.
Ans: (d)
Superheating in Rankine cycle increases the cycle efficiency because of increase in mean temperature of heat addition.
With increase in pressure of boiler, the cycle efficiency increases. So, the given statement is wrong.
With decrease in condenser pressure, the cycle efficiency increases because of decrease in mean temperature of heat rejection.
The pressure of turbine outlet is governed by the condenser temperature. Decreasing the cooling water temperature, creates more vacuum in condenser which results in pressure drop and vice-versa.
Q1: Consider an isentropic flow of air (ratio of specific heats = 1.4) through a duct as shown in the figure.
The variations in the flow across the cross-section are negligible. The flow conditions at Location 1 are given as follows:
??P1 = 100kPa, ρ1 = 1.2 kg/m3, u1 = 400m/s
The duct cross-sectional area at Location 2 is given by A2 = 2A1, where A1 denotes the duct cross-sectional area at Location 1. Which one of the given statements about the velocity u2 and pressure P2 at Location 2 is TRUE? [GATE ME 2023]
(a) u2 < u1, P2 < P1
(b) u2 < u1, P2 > P1
(c) u2 > u1, P2 < P1
(d) u2 > u1, P2 > P1
Ans: (c)
Step -1: First identify type of flow - Subsonic or Supersonic by finding out Mach number
Mach no at start of flow
Ma = u1/C1, where, C1 = 
u1 is velocity of gas
C1 is velocity of sound
P1 = ρ1RT1
= 341.56 m/sec
Ma1 = 400/341.56 = 1.017
Flow is supersonic flow. Hence, diverging duct is nozzle so u2 > u1 and P2 < P1.
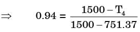
Q1: In a steam power plant based on Rankine cycle, steam is initially expanded in a high-pressure turbine. The steam is then reheated in a reheater and finally expanded in a low-pressure turbine. The expansion work in the high-pressure turbine is 400 kJ/kg and in the low-pressure turbine is 850 kJ/kg, whereas the pump work is 15 kJ/kg. If the cycle efficiency is 32%, the heat rejected in the condenser is ________ kJ/kg (round off to 2 decimal places). [GATE ME 2022 SET-1]
Ans: 2620 to 2630
WHPT = 400 kJ/kg
WLPT = 850 kJ/kg
WP = 15kJ/kg
η = 0.35 = Wnet/QS
QS = 3859.375 kJ/kg
∴ Wnet = QS - QR
QR = 3859.375 - 1235
QR = 2624.37 kJ/kg
Q1: Consider the open feed water heater (FWH) shown in the figure given below:
Specific enthalpy of steam at location 2 is 2624 kJ/kg, specific enthalpy of water at location 5 is 226.7 kJ/kg and specific enthalpy of saturated water at location 6 is 708.6 kJ/kg. If the mass flow rate of water entering the open feed water heater (at location 5) is 100 kg/s then the mass flow rate of steam at location 2 will be kg/s (round off to one decimal place). [GATE ME 2021 SET-2]
Ans: 25 to 25.4
100h5 + (x - 100)h2 = xh6
100 × 226.7 + (x - 100)2624 = 708.6x
22670 + 2624x - 262400 = 708.6x
2624x - 708.6x = 239730
1915.4x = 239730
x = 125.159
125.2 kg/s
Mass flow rate at state 2(x - 100) = 25.2 kg/s
Q2: Consider a steam power plant operating on an ideal reheat Rankine cycle. The work input to the pump is 20 kJ/kg. The work output from the high pressure turbine is 750 kJ/kg. The work output from the low pressure turbine is 1500 kJ/kg. The thermal efficiency of the cycle is 50 %. The enthalpy of saturated liquid and saturated vapour at condenser pressure are 200 kJ/kg and 2600 kJ/kg, respectively. The quality of steam at the exit of the low pressure turbine is ________ % (round off to the nearest integer). [GATE ME 2021 SET-1]
Ans: 92 to 96
hf = 200 kJ/kg
hg = 2600 kJ/kg
wp = 20 kJ/kg = h6 - h5
h1 - h2 = 750 kJ/kg
h3 - h4 = 1500 kJ/kg

QS = 4460 kJ/kg
η = 1 - (QR/QS)
(QR/QS) = 0.5
QR = 2230 kJ/kg
QR = h4 - h5
2230 = h4 - 200
h4 = hf + x(hg - hf)
2430 = 200 + x(2600 - 200)
x = 0.9291
x = 93%
Q1: The values of enthalpies at the stator inlet and rotor outlet of a hydraulic turbomachine stage are h1 and h3 respectively. The enthalpy at the stator outlet (or, rotor inlet) is h2. The condition (h2 - h1) = (h3 - h2) indicates that the degree of reaction of this stage is [GATE ME 2020 SET-2]
(a) zero
(b) 50%
(c) 75%
(d) 100%
Ans: (b)
As enthalpy across stator and rotor is equal it is 50% reaction stage.
Try yourself: Boiler rating is usually defined in terms of [1992]
Try yourself: The equivalent evaporation (kg/hr) of a boiler producing 2000 kg/hr of steam with enthalpy content of 2426 kJ/kg from feed water at temperature 40°C (liquid enthalpy =168 kJ/kg) is (enthalpy of vaporization of water at 100°C = 2258 kJ/kg) [1993]
Try yourself: Which among the following is the boiler mounting? [1997]
Try yourself: When initially dry and saturated steam flows through a nozzle, the ratio of actual discharge to calculated discharge is [1990]
Try yourself: Subsonic and supersonic diffusers have the following geometry. [1992]
Try yourself: The isentropic heat drop in the nozzle of an impulse steam turbine with a nozzle efficiency 0.9, blade velocity ratio 0.5 and mean blade velocity 150 m/s in kJ/kg is [1998]
Try yourself: In the Rankine cycle when superheated steam is used [1990]
Try yourself: In a Rankine cycle heat is added [1991]
Try yourself: In steam and other vapour cycle, the process of removing non-condensable is called [1992]
Try yourself: A gas turbine cycle with heat exchange and reheating improves [1993]
Try yourself: For a given set of operating pressure limits of a Rankine cycle the highest efficiency occurs for [1994]
Try yourself: A gas turbine cycle with infinitely large number of stages during compression and expansion leads to [1994]
Try yourself: Consider an actual regenerative Rankine cycle with one open feed water heater. For each kg steam entering the turbine, if m kg steam with a specific enthalpy of h1 is blade from the turbine, and the specific enthalpy of liquid water entering the heater is h2, then h3 the specific enthalpy of saturated liquid leaving the heater is equal to [1997]
Try yourself: The efficiency of superheat Rankine cycle is higher than that of simple Rankine cycle because [2002]
Try yourself: In Rankine cycle, regeneration results inhigher efficiency because [2003]
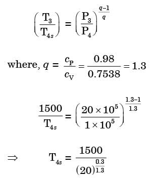
Try yourself: In a gas turbine, hot combustion products with the specific heats cp = 0.98 kJ/kgK, and cv = 0.7538 kJ/kgK enters the turbine at 20 bar, 1500 K and exits at 1 bar. The isentropic efficiency of the turbine is 0.94. The work developed by the turbine per kg of gas flow is [2003]
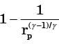
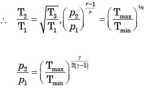
Try yourself: The compression ratio of a gas power plant cycle corresponding to maximum work output for the given temperature limits of Tmin and Tmax will be [2004]
Try yourself: Given below is an extract from steam tables. [2006]

Specific enthalpy of water in kJ/kg at 150 bar and 45°C is
Try yourself: Determine the correctness or otherwise Assertion (A) and the Reason (R). [2006]
Assertion (A): In a power plant working on a Rankine cycle, the regenerative feed water heating improves the efficiency of the steam turbine.
Reason (R): The regenerative feed water heating raises the average temperature of heat addition in the Rankine cycle.
Try yourself: Determine the correctness or otherwise of the following Assertion (A) and the Reason (R). [2006]
Assertion (A) : Condenser is an essential equipment in a steam power plant.
Reason (R): For the same mass flow rate and the same pressure rise, a water pump requires substantially less power than a steam compressor.
Try yourself: Which combination of the following statements is correct? [2007]
The incorporation of reheater in a steam power plant:
P : Always increases the thermal efficiency of the plant.
Q : Always increases the dryness fraction of steam at condenser inlet.
R : Always increases the mean temperature of heat addition.
S : Always increases the specific work output.
Try yourself: A thermal power plant operates on a regenerative cycle with a single open feedwater heater, as shown in the figure. For the state points shown, the specific enthalpies are: h1 = 2800 kJ/kg and h2 = 200 kJ/kg. The bleed to the feedwater heater is 20% of the boiler steam generation rate. The specific enthalpy at state 3 is [2008]
Try yourself: The values of enthalpy of steam at the inlet and outlet of a steam turbine in a Rankine cycle are 2800 kJ/kg and 1800 kJ/kg respectively.Neglecting pump work, the specific steam consumption in kg/kW hour is [2011]
Try yourself: An ideal Brayton cycle, operating between the pressure limits of 1 bar and 6 bar, has minimum and maximum temperatures of 300 K and 1500 K. The ratio of specific heats of the working fluid is 1.4. The approximate final temperature in Kelvin at the end of the compression and expansion processes are respectively [2011]
Try yourself: In a power plant, water (density = 1000 kg/m3) is pumped from 80 kPa to 3 MPa. The pump has an isentropic efficiency of 0.85. Assuming that the temperature of the water remains the same, the specific work (in kJ/kg) supplied to the pump is [2014,Set-1]
Try yourself: The thermal efficiency of an ai r-standard Brayton cycle in terms of pressure ratio rp and y(= cp/cv) is given by [2014,Set-2]
Try yourself: For a gas turbine power plant, identify the correct pair of statements. [2014,Set-3]
P. Smaller in size compared to steam power plant for same power output
Q. Starts quickly compared to steam power plant
R. Works on the principle of Rankine cycle
S. Good compatibility with solid fuel
Try yourself: The INCORRECT statement about regeneration in vapor power cycle is that [2016,Set-1]
Try yourself: Which one of the following modifications of the simple ideal Rankine cycle increases the thermal efficiency and reduces the moisture content of the steam at the turbine outlet? [2019,Set-2]
Try yourself: The current level of the maximum temperature of steam turbine inlet.is much lower than that at gas turbine inlet because [1989]
Try yourself: For a single stage impulse turbine with rotor diameter of 2 m and a speed of 3000 rpm when the nozzle angle is 20°, the optimum velocity of steam in m/s is [1994]
Try yourself: A steam power plant has the boiler efficiency of 92%, turbine efficiency (mechanical) of 94%, generator efficiency of 95% and cycle efficiency of 44%. If 6% of the generated power is used to run the auxiliaries, the overall plant efficiency is [1996]
Try yourself: The following data pertain to a single stage impulse steam turbine: [1997]
Nozzle angle = 20°
Blade velocity = 200 m/s
Relative steam velocity at entry = 350 m/s
Blade inlet angle = 30°
Blade exit angle = 25°
If blade friction is neglected the work done per kg steam is
Try yourself: If VN and α are the nozzle exit velocity and nozzle angle in an impulse turbine, the optimum blade velocity is given by [1998]
Try yourself: A Curtis stage, Rateau stage and a 50% reaction stage in a steam turbine are examples of [1998]
Try yourself: Which of the following is a pressure compounded turbine? [2000]
Try yourself: The Rateau turbine belongs to the category of [2001]
Try yourself: Considering the variation of static pressure and absolute velocity in an impulse steam turbine, across one row of moving blades [2003]
Try yourself: In the velocity diagram shown below, u = blade velocity, C = absolute fluid velocity and W = relative velocity of fluid and the subscripts 1 and 2 refer to inlet and outlet. This diagram is for [2005]
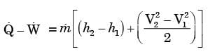
Try yourself: Specific enthalpy and velocity of steam at inlet and exit of a steam turbine, running under steady state, are as given below: [2014]
The rate of heat loss from the turbine per kg of steam flow rate is 5 kW. Neglecting changes in potential energy of steam, the power developed in kW by the steam turbine per kg of steam flow rate, is
| 1. What are the major types of power plants covered in Power Plant Engineering? | ![]() |
| 2. How is the efficiency of a thermal power plant calculated? | ![]() |
| 3. What are the environmental impacts of power plants? | ![]() |
| 4. What is the role of a boiler in a thermal power plant? | ![]() |
| 5. What are some common questions asked in GATE related to Power Plant Engineering? | ![]() |