Q1: Which of the following beam(s) is/are statically indeterminate? (2024)
(a) 
(b) 
(c) 
(d) 
Ans: (c,d)
Sol: Statically indeterminate structures are those structures that cannot be analyzed using statics or equations of equilibrium. In such cases, the number unknowns exceeds the number of equilibrium equation available. Checking each option: For option (A), Number of unknown=2 Number of equilibrium equation=2 For option (B), Number of unknown=2 Number of equilibrium equation=2 For option (C), Number of unknown=3 Number of equilibrium equation=2 For option (D), Number of unknown=3 Number of equilibrium equation=3 So, (C) is statically indeterminate structures. Note: Official answer key has been given as option (C) and (D), which can be challenged by students.
Statically indeterminate structures are those structures that cannot be analyzed using statics or equations of equilibrium. In such cases, the number unknowns exceeds the number of equilibrium equation available.
Checking each option:
For option (A),
Number of unknown=2
Number of equilibrium equation=2
For option (B),
Number of unknown=2
Number of equilibrium equation=2
For option (C),
Number of unknown=3
Number of equilibrium equation=2
For option (D),
Number of unknown=3
Number of equilibrium equation=3
So, (C) is statically indeterminate structures. Note: Official answer key has been given as option (C) and (D), which can be challenged by students.
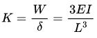
Q2: The effective stiffness of a cantilever beam of length L and flexural rigidity EI subjected to a transverse tip load W is (2023)
(a) 
(b) 
(c) 
(d) 
Ans: (a)
Sol: 
Q3: A cantilever beam with a uniform flexural rigidity
is loaded with a concentrated force at its free end. The area of the bending moment diagram corresponding to the full length of the beam is 10000 N.m2. The magnitude of the slope of the beam at its free end is ____________micro radian (round off to the nearest integer). (2021 Set - 2)
(a) 42
(b) 50
(c) 65
(d) 84
Ans: (b)
Sol: 

Q4: A plane frame PQR (fixed at P and free at R) is shown in the figure. Both members (PQ and QR) have length, L, and flexural rigidity, EI. Neglecting the effect of axial stress and transverse shear, the horizontal deflection at free end, R, is (2021 Set - 2)

(a) 
(b) 
(c) 
(d) 
Ans: (b)
Sol: 

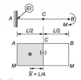
Q5: An overhanging beam PQR is subjected to uniformly distributed load 20 kN/m as shown in the figure. (2021 Set - 1)
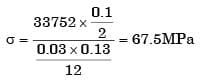
The maximum bending stress developed in the beam is ________MPa (round off to one decimal place).
(a) 125
(b) 250
(c) 325
(d) 450
Ans: (b)
Sol: 




Q6: A cantilever beam of length, L, and flexural rigidity, EI, is subjected to an end moment, M, as shown in the figure. The deflection of the beam at x = L/2 is (2021 Set -1)
(a) 
(b) 
(c) 
(d) 
Ans: (c)
Sol: 

Q7: A cantilever of length l, and flexural rigidity EI, stiffened by a spring of stiffness k, is loaded by transverse force P, as shown

The transverse deflection under the load is (2020 Set - 2)
(a) 
(b) 
(c) 
(d) 
Ans: (d)
Sol: 

Q8: A horizontal cantilever beam of circular cross-section, length 1.0 m and flexural rigidity EI= 200 N.m2 is subjected to an applied moment MA= 1.0 N⋅m at the free end as shown in the figure. The magnitude of the vertical deflection of the free end is _______mm (round off to one decimal place). (2019 Set -2)
(a) 1.2
(b) 5.3
(c) 8.2
(d) 2.5
Ans: (d)
Sol:
Q9: A prismatic, straight, elastic, cantilever beam is subjected to a linearly distributed transverse load as shown below. If the beam length is L, Young's modulus E, and area moment of inertia I, the magnitude of the maximum deflection is (2019 Set -2)
(a) 
(b) 
(c) 
(d) 
Ans: (b)
Sol: Double Integration method:
Let x be distance from the free end


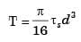
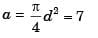
Q10: Consider a prismatic straight beam of length L=πm, pinned at the two ends as shown in the figure. The beam has a square cross-section of side p=6 mm. The Young's modulus E= 200 GPa, and the coefficient of thermal expansion α=3×10-6K-1. The minimum temperature rise required to cause Euler buckling of the beam is ________ K. (2019 Set - 1)
(a) 0
(b) 0.5
(c) 1
(d) 2
Ans: (c)
Sol:

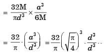
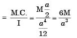
Q11: Consider an elastic straight beam of length L=10πm, with square cross-section of side a=5 mm, and Young's modulus E=200 GPa. This straight beam was bent in such a way that the two ends meet, to form a circle of mean radius R. Assuming that Euler-Bernoulli beam theory is applicable to this bending problem, the maximum tensile bending stress in the bent beam is __________ MPa. (2019 Set-1)
(a) 100
(b) 200
(c) 50
(d)150
Ans: (a)
Sol:
L = 10π m
a = 5 mm
E = 200 GPa
Length of wire: L = πD = 2πR
10π = 2πR
R = 5 m
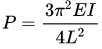
Q12: The minimum axial compressive load, P, required to initiate buckling for a pinned-pinned slender column with bending stiffness EI and length L is (2018 Set -2)
(a) 
(b) 
(c) 
(d) 
Ans: (b)
Sol:
For both ends hinged buckling load,
Q13: A steel column of rectangular section (15 mm x 10 mm) and length 1.5 m is simply supported at both ends. Assuming modulus of elasticity, E = 200 GPa for steel, the critical axial load (in kN) is ____ (correct to two decimal places).
(a) 2.25
(b) 1.09
(c) 2.04
(d) 2.68
Ans: (b)
Sol:
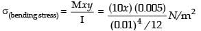
Try yourself: A tapered cantilever beam of constant thickness is loaded as shown in the sketch below. The bending stress will be [1988]


Try yourself: Which one of the following diagrams shows correctly the distribution of transverse shear stress across the depth h of a rectangular beam subjected to varying bending moment along its length?
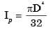
Try yourself: The second moment of a circular area about the diameter is given by (D is the diameter)
Try yourself: The beams, one having square cross-section and another circular cross-section, are subjected to the same amount of bending moment. If the cross sectional area as well as the material of both the beams are the same then [2003]
Try yourself: A cantilever beam has the square cross section of 10 mm × 10 mm. It carries a transverse load of 10 N. Considering only the bottom fibres of the beam, the correct representation of the longitudinal variation of the bending stress is [2005]

Try yourself: A machine frame shown in the figure below is subjected to a horizontal force of 600 N parallel to z-direction. [2007]

The normal and shear stresses in MPa at point P are respectively
Try yourself: The maximum principal stress in MPa and the orientation of the corresponding principal plane in degrees are respectively. [2007]
Try yourself: A massless beam has a loading pattern as shown in the figure. The beam is of rectangular crosssection with a width of 30 mm and height of 100 mm.The maximum bending moment occurs at [2010]

Try yourself: A massless beam has a loading pattern as shown in the figure. The beam is of rectangular cross-section with a width of 30mm and height of 100mm.

The maximum magnitude of bending stress (in MPa) is given by [2010]
Try yourself: A triangular-shaped cantilever beam of uniformthickness is shown in the figure. The Young's modulus of the material of the beam is E. A concentrated load P is applied at the free end of the beam. [2011]

The area moment of inertia about the neutral axis of a cross-section at a distance x measured from the free end is
Try yourself: The maximum deflection of the beam is [2011]
Try yourself: Consider a simply supported beam of length, 50h, wM [2014]
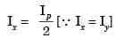
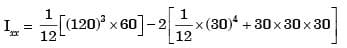
Try yourself: The value of moment of inertia of the section shown in the figure about the axis-XX is [2015]

Try yourself: A beam of length L is carrying a uniformly distributed load w per unit length. The flexural rigidity of the beam is EI. The reaction at the simple support at the right end is [2016]

Try yourself: Consider a beam with circular cross-section of diameter d. The ratio of the second moment of area about the neutral axis to the section modulus of the area is [2017]
Try yourself: The transverse shear stress acting in a beam of rectangular cross-section, subjected to a transverse shear load, is [2008]
Try yourself: An axial residual compressive stress due to a manufacturing process is present on the outer surface of a rotating shaft subjected to bending.Under a given bending load, the fatigue life of the shaft in the presence of the residual compressive stress is [2008]
Try yourself: A solid circular shaft of diameter 100 mm is subjected to an axial stress of 50 MPa. It is further subjected to a torque of 10 kNm. The maximum principal stress experienced on the shaft is closest to [2008]
| 1. What is the formula for calculating the bending stress in a beam? | ![]() |
| 2. How do you determine the maximum deflection of a beam under a certain load? | ![]() |
| 3. What are the different types of beams based on their support conditions? | ![]() |
| 4. How does the material properties of a beam affect its bending behavior? | ![]() |
| 5. What is the significance of the neutral axis in the bending of beams? | ![]() |