| Table of contents |
If a > b and c > 0, then the following transformations preserve the inequality in the shown directions:
If a, b ≥ 0 and n is a positive integer, then
If a < b and x > 0, then

If a > b and x > 0, then

Basic identities and inequalities for absolute value
These relations are useful to bound expressions involving absolute values and to convert absolute-value inequalities into simpler forms. Typical methods: isolate the absolute expression and split into two linear inequalities, or square both sides when signs allow.
Sign analysis using factorisation
Given a quadratic expressed as a product of linear factors, (x - a)(x - b), the sign of the product depends on the position of x relative to the roots a and b. Assume a < b. Then
Method: find the real roots a and b, plot them on the number line, and test intervals to determine where the quadratic is positive or negative.
Example: Solve (x - 1)(x - 4) > 0.
First, identify the roots: x = 1 and x = 4.
Consider the intervals produced by these roots: (-∞, 1), (1, 4), (4, ∞).
For x in (-∞, 1), both factors (x - 1) and (x - 4) are negative, so their product is positive.
For x in (1, 4), (x - 1) is positive and (x - 4) is negative, so the product is negative.
For x in (4, ∞), both factors are positive, so the product is positive.
Therefore, the solution set is x < 1 or x > 4.
Relation between arithmetic, geometric and harmonic means
For any set of positive real numbers a1, a2, ..., an, the following ordering holds:
Explicitly,
When all numbers are equal, equality holds. The AM-GM inequality is frequently used to find maxima or minima under sum/product constraints.
If a and b are positive quantities, then

If a, b, c, d are positive quantities, then

From the previous relation follows
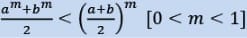
For n positive quantities a1, a2, ..., ak and a natural number m, the following generalisation holds:





Use the following approaches when faced with inequality problems:
Summary. The rules collected here cover elementary manipulations of inequalities, absolute-value relations, sign analysis for quadratics, standard mean inequalities and several useful formulae and tips. Keep the provided images as reference formulae and use AM-GM along with factorisation and sign charts as first-line tools when solving quantitative-aptitude inequality problems.
146 videos|238 docs|88 tests |
| 1. What are some important properties of inequalities? | ![]() |
| 2. How do you solve an inequality with absolute values? | ![]() |
| 3. What is the difference between a strict inequality and a non-strict inequality? | ![]() |
| 4. How can you represent an inequality graphically? | ![]() |
| 5. What are some common mistakes to avoid when solving inequalities? | ![]() |