Class 8 Exam  >  Class 8 Notes  >  Mathematics (Maths) Class 8  >  RD Sharma Solutions: Exercise 2.2 - Powers

Exercise 2.2 - Powers RD Sharma Solutions | Mathematics (Maths) Class 8 PDF Download

Q.1. Write each of the following in exponential form:

(i)Exercise 2.2 - Powers RD Sharma Solutions | Mathematics (Maths) Class 8

(ii)Exercise 2.2 - Powers RD Sharma Solutions | Mathematics (Maths) Class 8

Ans:

(i)Exercise 2.2 - Powers RD Sharma Solutions | Mathematics (Maths) Class 8= Exercise 2.2 - Powers RD Sharma Solutions | Mathematics (Maths) Class 8{am×an=am+n}

=Exercise 2.2 - Powers RD Sharma Solutions | Mathematics (Maths) Class 8

(ii)Exercise 2.2 - Powers RD Sharma Solutions | Mathematics (Maths) Class 8= Exercise 2.2 - Powers RD Sharma Solutions | Mathematics (Maths) Class 8{am×an=am+n}

=Exercise 2.2 - Powers RD Sharma Solutions | Mathematics (Maths) Class 8


Q.2. Evaluate:

(i) 5−2

(ii) (−3)−2

(iii) (1/3)−4

(iv) (−1/2)−1

Ans: 

(i) 5−2 = Exercise 2.2 - Powers RD Sharma Solutions | Mathematics (Maths) Class 8Exercise 2.2 - Powers RD Sharma Solutions | Mathematics (Maths) Class 8

=Exercise 2.2 - Powers RD Sharma Solutions | Mathematics (Maths) Class 8

(ii) (−3)−2 = Exercise 2.2 - Powers RD Sharma Solutions | Mathematics (Maths) Class 8Exercise 2.2 - Powers RD Sharma Solutions | Mathematics (Maths) Class 8

=Exercise 2.2 - Powers RD Sharma Solutions | Mathematics (Maths) Class 8

(iii) (1/3)−4 = Exercise 2.2 - Powers RD Sharma Solutions | Mathematics (Maths) Class 8Exercise 2.2 - Powers RD Sharma Solutions | Mathematics (Maths) Class 8

=Exercise 2.2 - Powers RD Sharma Solutions | Mathematics (Maths) Class 8

= 81

(iv) (−1/2)−1 = Exercise 2.2 - Powers RD Sharma Solutions | Mathematics (Maths) Class 8Exercise 2.2 - Powers RD Sharma Solutions | Mathematics (Maths) Class 8

= - 2


Q.3. Express each of the following as a rational number in the formExercise 2.2 - Powers RD Sharma Solutions | Mathematics (Maths) Class 8:

(i) 6−1

(ii) (−7)−1

(iii)Exercise 2.2 - Powers RD Sharma Solutions | Mathematics (Maths) Class 8

(iv)Exercise 2.2 - Powers RD Sharma Solutions | Mathematics (Maths) Class 8

(v)Exercise 2.2 - Powers RD Sharma Solutions | Mathematics (Maths) Class 8

Ans: 

(i) 6−1 = Exercise 2.2 - Powers RD Sharma Solutions | Mathematics (Maths) Class 8Exercise 2.2 - Powers RD Sharma Solutions | Mathematics (Maths) Class 8

(ii) (−7)−1 = Exercise 2.2 - Powers RD Sharma Solutions | Mathematics (Maths) Class 8Exercise 2.2 - Powers RD Sharma Solutions | Mathematics (Maths) Class 8

= Exercise 2.2 - Powers RD Sharma Solutions | Mathematics (Maths) Class 8

(iii)Exercise 2.2 - Powers RD Sharma Solutions | Mathematics (Maths) Class 8= Exercise 2.2 - Powers RD Sharma Solutions | Mathematics (Maths) Class 8Exercise 2.2 - Powers RD Sharma Solutions | Mathematics (Maths) Class 8

= 4

(iv)Exercise 2.2 - Powers RD Sharma Solutions | Mathematics (Maths) Class 8= Exercise 2.2 - Powers RD Sharma Solutions | Mathematics (Maths) Class 8Exercise 2.2 - Powers RD Sharma Solutions | Mathematics (Maths) Class 8 

= Exercise 2.2 - Powers RD Sharma Solutions | Mathematics (Maths) Class 8

= Exercise 2.2 - Powers RD Sharma Solutions | Mathematics (Maths) Class 8

(v)Exercise 2.2 - Powers RD Sharma Solutions | Mathematics (Maths) Class 8 = Exercise 2.2 - Powers RD Sharma Solutions | Mathematics (Maths) Class 8Exercise 2.2 - Powers RD Sharma Solutions | Mathematics (Maths) Class 8 

Exercise 2.2 - Powers RD Sharma Solutions | Mathematics (Maths) Class 8


Q.4. Simplify:

(i) {4−1 × 3−1}2

(ii) {5−1 ÷ 6−1}3

(iii) (2−1 + 3−1)−1

(iv) {3−1 × 4−1}−1 × 5−1

(v) (4−1 − 5−1) ÷ 3−1

Ans:

(i) {4−1 × 3−1}2 = Exercise 2.2 - Powers RD Sharma Solutions | Mathematics (Maths) Class 8Exercise 2.2 - Powers RD Sharma Solutions | Mathematics (Maths) Class 8

Exercise 2.2 - Powers RD Sharma Solutions | Mathematics (Maths) Class 8Exercise 2.2 - Powers RD Sharma Solutions | Mathematics (Maths) Class 8

(ii) {5−1 ÷ 6−1}3 = Exercise 2.2 - Powers RD Sharma Solutions | Mathematics (Maths) Class 8Exercise 2.2 - Powers RD Sharma Solutions | Mathematics (Maths) Class 8

Exercise 2.2 - Powers RD Sharma Solutions | Mathematics (Maths) Class 8Exercise 2.2 - Powers RD Sharma Solutions | Mathematics (Maths) Class 8

(iii) (2−1 + 3−1)−1 = Exercise 2.2 - Powers RD Sharma Solutions | Mathematics (Maths) Class 8Exercise 2.2 - Powers RD Sharma Solutions | Mathematics (Maths) Class 8

=Exercise 2.2 - Powers RD Sharma Solutions | Mathematics (Maths) Class 8

=Exercise 2.2 - Powers RD Sharma Solutions | Mathematics (Maths) Class 8Exercise 2.2 - Powers RD Sharma Solutions | Mathematics (Maths) Class 8

(iv) {3−1 × 4−1}−1 × 5−1 = Exercise 2.2 - Powers RD Sharma Solutions | Mathematics (Maths) Class 8Exercise 2.2 - Powers RD Sharma Solutions | Mathematics (Maths) Class 8

Exercise 2.2 - Powers RD Sharma Solutions | Mathematics (Maths) Class 8Exercise 2.2 - Powers RD Sharma Solutions | Mathematics (Maths) Class 8

(v) (4−1 − 5−1) ÷ 3−1 = Exercise 2.2 - Powers RD Sharma Solutions | Mathematics (Maths) Class 8

Exercise 2.2 - Powers RD Sharma Solutions | Mathematics (Maths) Class 8

=Exercise 2.2 - Powers RD Sharma Solutions | Mathematics (Maths) Class 8

=Exercise 2.2 - Powers RD Sharma Solutions | Mathematics (Maths) Class 8


Q.5. Express each of the following rational numbers with a negative exponent:

(i)Exercise 2.2 - Powers RD Sharma Solutions | Mathematics (Maths) Class 8

(ii) 35

(iii)Exercise 2.2 - Powers RD Sharma Solutions | Mathematics (Maths) Class 8

(iv)Exercise 2.2 - Powers RD Sharma Solutions | Mathematics (Maths) Class 8

(v)Exercise 2.2 - Powers RD Sharma Solutions | Mathematics (Maths) Class 8

Ans: 

(i)Exercise 2.2 - Powers RD Sharma Solutions | Mathematics (Maths) Class 8= Exercise 2.2 - Powers RD Sharma Solutions | Mathematics (Maths) Class 8Exercise 2.2 - Powers RD Sharma Solutions | Mathematics (Maths) Class 8

(ii) 35 = Exercise 2.2 - Powers RD Sharma Solutions | Mathematics (Maths) Class 8Exercise 2.2 - Powers RD Sharma Solutions | Mathematics (Maths) Class 8 

(iii)Exercise 2.2 - Powers RD Sharma Solutions | Mathematics (Maths) Class 8 = Exercise 2.2 - Powers RD Sharma Solutions | Mathematics (Maths) Class 8Exercise 2.2 - Powers RD Sharma Solutions | Mathematics (Maths) Class 8 

(iv)Exercise 2.2 - Powers RD Sharma Solutions | Mathematics (Maths) Class 8=Exercise 2.2 - Powers RD Sharma Solutions | Mathematics (Maths) Class 8Exercise 2.2 - Powers RD Sharma Solutions | Mathematics (Maths) Class 8

(v)Exercise 2.2 - Powers RD Sharma Solutions | Mathematics (Maths) Class 8= Exercise 2.2 - Powers RD Sharma Solutions | Mathematics (Maths) Class 8Exercise 2.2 - Powers RD Sharma Solutions | Mathematics (Maths) Class 8 


Q.6. Express each of the following rational numbers with a positive exponent:

(i)Exercise 2.2 - Powers RD Sharma Solutions | Mathematics (Maths) Class 8

(ii)Exercise 2.2 - Powers RD Sharma Solutions | Mathematics (Maths) Class 8

(iii)Exercise 2.2 - Powers RD Sharma Solutions | Mathematics (Maths) Class 8

(iv)Exercise 2.2 - Powers RD Sharma Solutions | Mathematics (Maths) Class 8

(v)Exercise 2.2 - Powers RD Sharma Solutions | Mathematics (Maths) Class 8

Ans: 

(i)Exercise 2.2 - Powers RD Sharma Solutions | Mathematics (Maths) Class 8Exercise 2.2 - Powers RD Sharma Solutions | Mathematics (Maths) Class 8

= Exercise 2.2 - Powers RD Sharma Solutions | Mathematics (Maths) Class 8

(ii)Exercise 2.2 - Powers RD Sharma Solutions | Mathematics (Maths) Class 8Exercise 2.2 - Powers RD Sharma Solutions | Mathematics (Maths) Class 8 

= Exercise 2.2 - Powers RD Sharma Solutions | Mathematics (Maths) Class 8

(iii)Exercise 2.2 - Powers RD Sharma Solutions | Mathematics (Maths) Class 8Exercise 2.2 - Powers RD Sharma Solutions | Mathematics (Maths) Class 8

= Exercise 2.2 - Powers RD Sharma Solutions | Mathematics (Maths) Class 8

=Exercise 2.2 - Powers RD Sharma Solutions | Mathematics (Maths) Class 8

(iv)Exercise 2.2 - Powers RD Sharma Solutions | Mathematics (Maths) Class 8Exercise 2.2 - Powers RD Sharma Solutions | Mathematics (Maths) Class 8

= Exercise 2.2 - Powers RD Sharma Solutions | Mathematics (Maths) Class 8

= Exercise 2.2 - Powers RD Sharma Solutions | Mathematics (Maths) Class 8

(v)Exercise 2.2 - Powers RD Sharma Solutions | Mathematics (Maths) Class 8Exercise 2.2 - Powers RD Sharma Solutions | Mathematics (Maths) Class 8

= Exercise 2.2 - Powers RD Sharma Solutions | Mathematics (Maths) Class 8

= Exercise 2.2 - Powers RD Sharma Solutions | Mathematics (Maths) Class 8

=Exercise 2.2 - Powers RD Sharma Solutions | Mathematics (Maths) Class 8


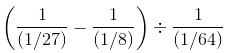
Q.7. Simplify:

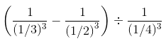
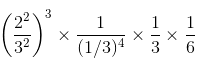
(i)Exercise 2.2 - Powers RD Sharma Solutions | Mathematics (Maths) Class 8

(ii)Exercise 2.2 - Powers RD Sharma Solutions | Mathematics (Maths) Class 8

(iii)Exercise 2.2 - Powers RD Sharma Solutions | Mathematics (Maths) Class 8

(iv)Exercise 2.2 - Powers RD Sharma Solutions | Mathematics (Maths) Class 8

(v)Exercise 2.2 - Powers RD Sharma Solutions | Mathematics (Maths) Class 8

Ans: 

(i)Exercise 2.2 - Powers RD Sharma Solutions | Mathematics (Maths) Class 8 Exercise 2.2 - Powers RD Sharma Solutions | Mathematics (Maths) Class 8

=Exercise 2.2 - Powers RD Sharma Solutions | Mathematics (Maths) Class 8

=Exercise 2.2 - Powers RD Sharma Solutions | Mathematics (Maths) Class 8

=Exercise 2.2 - Powers RD Sharma Solutions | Mathematics (Maths) Class 8

=Exercise 2.2 - Powers RD Sharma Solutions | Mathematics (Maths) Class 8

=Exercise 2.2 - Powers RD Sharma Solutions | Mathematics (Maths) Class 8

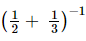
(ii)Exercise 2.2 - Powers RD Sharma Solutions | Mathematics (Maths) Class 8

=Exercise 2.2 - Powers RD Sharma Solutions | Mathematics (Maths) Class 8Exercise 2.2 - Powers RD Sharma Solutions | Mathematics (Maths) Class 8

=Exercise 2.2 - Powers RD Sharma Solutions | Mathematics (Maths) Class 8

=Exercise 2.2 - Powers RD Sharma Solutions | Mathematics (Maths) Class 8

=Exercise 2.2 - Powers RD Sharma Solutions | Mathematics (Maths) Class 8

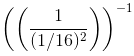
(iii)Exercise 2.2 - Powers RD Sharma Solutions | Mathematics (Maths) Class 8

= Exercise 2.2 - Powers RD Sharma Solutions | Mathematics (Maths) Class 8Exercise 2.2 - Powers RD Sharma Solutions | Mathematics (Maths) Class 8

=Exercise 2.2 - Powers RD Sharma Solutions | Mathematics (Maths) Class 8

=Exercise 2.2 - Powers RD Sharma Solutions | Mathematics (Maths) Class 8

=Exercise 2.2 - Powers RD Sharma Solutions | Mathematics (Maths) Class 8

= 2Exercise 2.2 - Powers RD Sharma Solutions | Mathematics (Maths) Class 8

(iv)Exercise 2.2 - Powers RD Sharma Solutions | Mathematics (Maths) Class 8

= Exercise 2.2 - Powers RD Sharma Solutions | Mathematics (Maths) Class 8Exercise 2.2 - Powers RD Sharma Solutions | Mathematics (Maths) Class 8

=Exercise 2.2 - Powers RD Sharma Solutions | Mathematics (Maths) Class 8Exercise 2.2 - Powers RD Sharma Solutions | Mathematics (Maths) Class 8

=Exercise 2.2 - Powers RD Sharma Solutions | Mathematics (Maths) Class 8

=Exercise 2.2 - Powers RD Sharma Solutions | Mathematics (Maths) Class 8

=Exercise 2.2 - Powers RD Sharma Solutions | Mathematics (Maths) Class 8Exercise 2.2 - Powers RD Sharma Solutions | Mathematics (Maths) Class 8

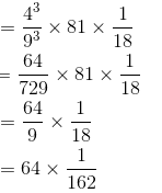
(v)Exercise 2.2 - Powers RD Sharma Solutions | Mathematics (Maths) Class 8

=Exercise 2.2 - Powers RD Sharma Solutions | Mathematics (Maths) Class 8Exercise 2.2 - Powers RD Sharma Solutions | Mathematics (Maths) Class 8

=Exercise 2.2 - Powers RD Sharma Solutions | Mathematics (Maths) Class 8

Exercise 2.2 - Powers RD Sharma Solutions | Mathematics (Maths) Class 8Exercise 2.2 - Powers RD Sharma Solutions | Mathematics (Maths) Class 8

=Exercise 2.2 - Powers RD Sharma Solutions | Mathematics (Maths) Class 8


Q.8. By what number should 5−1 be multiplied so that the product may be equal to (−7)−1?

Ans: Expressing in fraction form, we get:

5−1 = 1/5 (using the property a−1 = 1/a)

and

(−7)−1 = −1/7 (using the property a−1 = 1/a).

We have to find a number x such that

Exercise 2.2 - Powers RD Sharma Solutions | Mathematics (Maths) Class 8

Multiplying both sides by 5, we get:

x= Exercise 2.2 - Powers RD Sharma Solutions | Mathematics (Maths) Class 8

Hence, 5−1 should be multiplied by −5/7 to obtain (−7)−1.


Q.9. By what number should (1/2)−1 be multiplied so that the product may be equal to (−4/7)−1?

Ans: Expressing in fractional form, we get:

Exercise 2.2 - Powers RD Sharma Solutions | Mathematics (Maths) Class 8

and

Exercise 2.2 - Powers RD Sharma Solutions | Mathematics (Maths) Class 8

We have to find a number x such that

Exercise 2.2 - Powers RD Sharma Solutions | Mathematics (Maths) Class 8

Dividing both sides by 2, we get:

Exercise 2.2 - Powers RD Sharma Solutions | Mathematics (Maths) Class 8

Hence, (1/2)−1 should be multiplied by −7/8 to obtain (−4/7)−1.


Q.10. By what number should (−15)−1 be divided so that the quotient may be equal to (−5)−1?

Ans: Expressing in fractional form, we get:

(−15)−1 = −1/15,      ---> (a−1 = 1/a)

and

(−5)−1 = −1/5           ---> (a−1 = 1/a)

We have to find a number x such that

Exercise 2.2 - Powers RD Sharma Solutions | Mathematics (Maths) Class 8

Solving this equation, we get:

Exercise 2.2 - Powers RD Sharma Solutions | Mathematics (Maths) Class 8

Exercise 2.2 - Powers RD Sharma Solutions | Mathematics (Maths) Class 8

Hence, (−15)−1 should be divided by 1/3 to obtain (−5)−1.


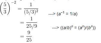
Q.11. By what number should (5/3)−2 be multiplied so that the product may be (7/3)−1?

Ans: Expressing as a positive exponent, we have:

Exercise 2.2 - Powers RD Sharma Solutions | Mathematics (Maths) Class 8

and

(7/3)−1 = 3/7.                ---> (a−1 = 1/a)

We have to find a number x such that

Exercise 2.2 - Powers RD Sharma Solutions | Mathematics (Maths) Class 8

Multiplying both sides by 25/9, we get:

x = Exercise 2.2 - Powers RD Sharma Solutions | Mathematics (Maths) Class 8

Hence, (5/3)−2 should be multiplied by 25/21 to obtain (7/3)−1.


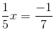
Q.12. Find x, if

(i)Exercise 2.2 - Powers RD Sharma Solutions | Mathematics (Maths) Class 8

(ii)Exercise 2.2 - Powers RD Sharma Solutions | Mathematics (Maths) Class 8

(iii)Exercise 2.2 - Powers RD Sharma Solutions | Mathematics (Maths) Class 8

(iv)Exercise 2.2 - Powers RD Sharma Solutions | Mathematics (Maths) Class 8

(v)Exercise 2.2 - Powers RD Sharma Solutions | Mathematics (Maths) Class 8

(vi)Exercise 2.2 - Powers RD Sharma Solutions | Mathematics (Maths) Class 8

Ans: 

(i) We have:

Exercise 2.2 - Powers RD Sharma Solutions | Mathematics (Maths) Class 8

Exercise 2.2 - Powers RD Sharma Solutions | Mathematics (Maths) Class 8(am×an = am(am×an = am+n)

-12x = 4

3 = x

x = 3

(ii) We have:

Exercise 2.2 - Powers RD Sharma Solutions | Mathematics (Maths) Class 8

Exercise 2.2 - Powers RD Sharma Solutions | Mathematics (Maths) Class 8(am×an = am+n)

-11 = -2x + 1

-12 = -2x

6 = x

x = 6

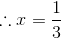
(iii) We have:

Exercise 2.2 - Powers RD Sharma Solutions | Mathematics (Maths) Class 8

Exercise 2.2 - Powers RD Sharma Solutions | Mathematics (Maths) Class 8

2 = 2x +1

1 = 2x

1/2 = x

x = 1/2

(iv) We have:

Exercise 2.2 - Powers RD Sharma Solutions | Mathematics (Maths) Class 8

Exercise 2.2 - Powers RD Sharma Solutions | Mathematics (Maths) Class 8

12 = 2 + 3x

10 = 3x

10/3 = x

x = 10 /3

(v) We have:

Exercise 2.2 - Powers RD Sharma Solutions | Mathematics (Maths) Class 8

Exercise 2.2 - Powers RD Sharma Solutions | Mathematics (Maths) Class 8

-x + 4 = 5

-x = 1

x = -1

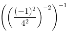
(vi) We have:

Exercise 2.2 - Powers RD Sharma Solutions | Mathematics (Maths) Class 8

Exercise 2.2 - Powers RD Sharma Solutions | Mathematics (Maths) Class 8

2x +6 = x + 2

x = -4


Q.13. (i) If x =Exercise 2.2 - Powers RD Sharma Solutions | Mathematics (Maths) Class 8, find the value of x−2.

(ii) If x=Exercise 2.2 - Powers RD Sharma Solutions | Mathematics (Maths) Class 8, find the value of x−1.

Ans:

(i) First, we have to find x.

x = Exercise 2.2 - Powers RD Sharma Solutions | Mathematics (Maths) Class 8 Exercise 2.2 - Powers RD Sharma Solutions | Mathematics (Maths) Class 8

= Exercise 2.2 - Powers RD Sharma Solutions | Mathematics (Maths) Class 8

=Exercise 2.2 - Powers RD Sharma Solutions | Mathematics (Maths) Class 8

Hence, x−2 is:

x−2 =Exercise 2.2 - Powers RD Sharma Solutions | Mathematics (Maths) Class 8Exercise 2.2 - Powers RD Sharma Solutions | Mathematics (Maths) Class 8

Exercise 2.2 - Powers RD Sharma Solutions | Mathematics (Maths) Class 8

(ii) First, we have to find x.

x = Exercise 2.2 - Powers RD Sharma Solutions | Mathematics (Maths) Class 8Exercise 2.2 - Powers RD Sharma Solutions | Mathematics (Maths) Class 8

Exercise 2.2 - Powers RD Sharma Solutions | Mathematics (Maths) Class 8

= Exercise 2.2 - Powers RD Sharma Solutions | Mathematics (Maths) Class 8

=Exercise 2.2 - Powers RD Sharma Solutions | Mathematics (Maths) Class 8Exercise 2.2 - Powers RD Sharma Solutions | Mathematics (Maths) Class 8

Hence, the value of x−1 is:

x−1 = Exercise 2.2 - Powers RD Sharma Solutions | Mathematics (Maths) Class 8

=Exercise 2.2 - Powers RD Sharma Solutions | Mathematics (Maths) Class 8

=Exercise 2.2 - Powers RD Sharma Solutions | Mathematics (Maths) Class 8


Q.14. Find the value of x for which 52x ÷ 5−3 = 55.

Ans: We have:

52x ÷ 5−3 = 55

52x+3 = 55Exercise 2.2 - Powers RD Sharma Solutions | Mathematics (Maths) Class 8

2x + 3 = 5

2x = 2

x = 1

Hence, x is 1.

The document Exercise 2.2 - Powers RD Sharma Solutions | Mathematics (Maths) Class 8 is a part of the Class 8 Course Mathematics (Maths) Class 8.
All you need of Class 8 at this link: Class 8
81 videos|423 docs|31 tests
Related Searches

Exercise 2.2 - Powers RD Sharma Solutions | Mathematics (Maths) Class 8

,

Viva Questions

,

Important questions

,

past year papers

,

Exam

,

practice quizzes

,

ppt

,

shortcuts and tricks

,

Sample Paper

,

video lectures

,

Extra Questions

,

pdf

,

study material

,

Free

,

Objective type Questions

,

mock tests for examination

,

Exercise 2.2 - Powers RD Sharma Solutions | Mathematics (Maths) Class 8

,

Exercise 2.2 - Powers RD Sharma Solutions | Mathematics (Maths) Class 8

,

Semester Notes

,

Summary

,

Previous Year Questions with Solutions

,

MCQs

;