Class 8 Exam  >  Class 8 Notes  >  Mathematics (Maths) Class 8  >  RD Sharma Solutions: Exercise 2.3 - Powers

Exercise 2.3 - Powers RD Sharma Solutions | Mathematics (Maths) Class 8 PDF Download

Q.1. Express the following numbers in standard form:

(i) 6020000000000000

(ii) 0.00000000000943

(iii) 0.00000000085

(iv) 846 × 107

(v) 3759 × 10−4

(vi) 0.00072984

(vii) 0.000437 × 104

(viii) 4 ÷ 100000

Ans: To express a number in the standard form, move the decimal point such that there is only one digit to the left of the decimal point.

(i) 6020000000000000 = 6.02 x 1015(The decimal point is moved 15 places to the left.)

(ii) 0.0000000000943 = 9.43 x 10−12(The decimal point is moved 12 places to the right.)

(iii) 0.00000000085 = 8.5 x 10−10(The decimal point is moved 10 places to the right.)

(iv) 846 x 107 = 8.46 x 102 x 107 = 8.46 x 109 (The decimal point is moved two places to the left.)

(v) 3759 x 10−4 = 3.759 x 10x 10−4 = 3.759 x 10−1(The decimal point is moved three places to the left.)

(vi) 0.00072984 = 7.984 x 10−4(The decimal point is moved four places to the right.)

(vii) 0.000437 x 104 = 4.37 x 10−4 x 104 = 4.37 x 100 = 4.37(The decimal point is moved four places to the right.)

(viii) 4/100000 = 4 x 100000−1 = 4 x 10−5(Just count the number of zeros in 1,00,000 to determine the exponent of 10.)


Q.2. Write the following numbers in the usual form:

(i) 4.83 × 107

(ii) 3.02 × 10−6

(iii) 4.5 × 104

(iv) 3 × 10−8

(v) 1.0001 × 109

(vi) 5.8 × 102

(vii) 3.61492 × 106

(viii) 3.25 × 10−7

Ans:

(i) 4.83 x 107 = 4.83 x 1,00,00,000 = 4,83,00,000

(ii) 3.02 x 10−6 = 3.02/106 = 3.02/10,00,000 = 0.00000302

(iii) 4.5 x 104 = 4.5 x 10,000 = 45,000

(iv) 3 x 10−8 = 3/108 = 3/10,00,00,000 = 0.00000003

(v) 1.0001 x 109 = 1.0001 x 1,00,00,00,000 = 1,00,01,00,000

(vi) 5.8 x 102 = 5.8 x 100 = 580

(vii)  3.61492 x 106 = 3.61492 x 10,00,000 = 3614920

(viii) 3.25 x 10−7 = 3.25/107 = 3.25/1,00,00,000 = 0.000000325


Exercise (MCQs)


Q.1. Square ofExercise 2.3 - Powers RD Sharma Solutions | Mathematics (Maths) Class 8is

(a) −2/3

(b) 2/3

(c) −4/9

(d) 4/9

Ans: (d) 4/9

To square a number is to raise it to the power of 2. Hence, the square of (−2/3) is

Exercise 2.3 - Powers RD Sharma Solutions | Mathematics (Maths) Class 8


Q.2. Cube ofExercise 2.3 - Powers RD Sharma Solutions | Mathematics (Maths) Class 8is

(a) 1/8

(b) 1/16

(c) −1/8

(d) −1/16

Ans: (c) -1/8

The cube of a number is the number raised to the power of 3. Hence the cube of −1/2 is

Exercise 2.3 - Powers RD Sharma Solutions | Mathematics (Maths) Class 8


Q.3. Which of the following is not equal toExercise 2.3 - Powers RD Sharma Solutions | Mathematics (Maths) Class 8?

(a)Exercise 2.3 - Powers RD Sharma Solutions | Mathematics (Maths) Class 8

(b)Exercise 2.3 - Powers RD Sharma Solutions | Mathematics (Maths) Class 8

(c)Exercise 2.3 - Powers RD Sharma Solutions | Mathematics (Maths) Class 8

(d)Exercise 2.3 - Powers RD Sharma Solutions | Mathematics (Maths) Class 8

Ans: 

(c)  −(34/54)

Exercise 2.3 - Powers RD Sharma Solutions | Mathematics (Maths) Class 8= Exercise 2.3 - Powers RD Sharma Solutions | Mathematics (Maths) Class 8= Exercise 2.3 - Powers RD Sharma Solutions | Mathematics (Maths) Class 8

It is not equal to −Exercise 2.3 - Powers RD Sharma Solutions | Mathematics (Maths) Class 8


Q.4. Which  of the following is not reciprocal of (2/3)4?

(a)Exercise 2.3 - Powers RD Sharma Solutions | Mathematics (Maths) Class 8

(b)Exercise 2.3 - Powers RD Sharma Solutions | Mathematics (Maths) Class 8

(c)Exercise 2.3 - Powers RD Sharma Solutions | Mathematics (Maths) Class 8

(d)Exercise 2.3 - Powers RD Sharma Solutions | Mathematics (Maths) Class 8

Ans: 

(c) (3/2)−4

The reciprocal of Exercise 2.3 - Powers RD Sharma Solutions | Mathematics (Maths) Class 8isExercise 2.3 - Powers RD Sharma Solutions | Mathematics (Maths) Class 8

Therefore, option (a) is the correct answer.

Option (b) is just re-expressing the number with a negative exponent.

Option (d) is obtained by working out the exponent.

Hence,option (c) is not the reciprocal ofExercise 2.3 - Powers RD Sharma Solutions | Mathematics (Maths) Class 8


Q.5. Which of the following numbers is not equal to −8/27?

(a)Exercise 2.3 - Powers RD Sharma Solutions | Mathematics (Maths) Class 8

(b)Exercise 2.3 - Powers RD Sharma Solutions | Mathematics (Maths) Class 8

(c)Exercise 2.3 - Powers RD Sharma Solutions | Mathematics (Maths) Class 8

(d)Exercise 2.3 - Powers RD Sharma Solutions | Mathematics (Maths) Class 8

Ans:

(a) (2/3)-3

We can writeExercise 2.3 - Powers RD Sharma Solutions | Mathematics (Maths) Class 8asExercise 2.3 - Powers RD Sharma Solutions | Mathematics (Maths) Class 8. It can be written in the forms given below.

Exercise 2.3 - Powers RD Sharma Solutions | Mathematics (Maths) Class 8 ---> work out the minuses 

Exercise 2.3 - Powers RD Sharma Solutions | Mathematics (Maths) Class 8

Exercise 2.3 - Powers RD Sharma Solutions | Mathematics (Maths) Class 8

Hence, option (b) is equal toExercise 2.3 - Powers RD Sharma Solutions | Mathematics (Maths) Class 8

We can also write:

Exercise 2.3 - Powers RD Sharma Solutions | Mathematics (Maths) Class 8

Exercise 2.3 - Powers RD Sharma Solutions | Mathematics (Maths) Class 8

Hence, option (c) is also equal toExercise 2.3 - Powers RD Sharma Solutions | Mathematics (Maths) Class 8

We can also write:

Exercise 2.3 - Powers RD Sharma Solutions | Mathematics (Maths) Class 8

Hence, option (d) is also equal to −8/27.

This leaves out option (a) as the one not equal toExercise 2.3 - Powers RD Sharma Solutions | Mathematics (Maths) Class 8.


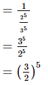
Q.6. Exercise 2.3 - Powers RD Sharma Solutions | Mathematics (Maths) Class 8is equal to

(a)Exercise 2.3 - Powers RD Sharma Solutions | Mathematics (Maths) Class 8

(b)Exercise 2.3 - Powers RD Sharma Solutions | Mathematics (Maths) Class 8

(c)Exercise 2.3 - Powers RD Sharma Solutions | Mathematics (Maths) Class 8

(d)Exercise 2.3 - Powers RD Sharma Solutions | Mathematics (Maths) Class 8

Ans: 

(b)Exercise 2.3 - Powers RD Sharma Solutions | Mathematics (Maths) Class 8 

Rearrange (2/3)−5 to get a positive exponent.

Exercise 2.3 - Powers RD Sharma Solutions | Mathematics (Maths) Class 8

Exercise 2.3 - Powers RD Sharma Solutions | Mathematics (Maths) Class 8Exercise 2.3 - Powers RD Sharma Solutions | Mathematics (Maths) Class 8


Q.7. Exercise 2.3 - Powers RD Sharma Solutions | Mathematics (Maths) Class 8is equal to

(a)Exercise 2.3 - Powers RD Sharma Solutions | Mathematics (Maths) Class 8

(b)Exercise 2.3 - Powers RD Sharma Solutions | Mathematics (Maths) Class 8

(c)Exercise 2.3 - Powers RD Sharma Solutions | Mathematics (Maths) Class 8

(d)Exercise 2.3 - Powers RD Sharma Solutions | Mathematics (Maths) Class 8

Ans: 

(a) (−1/2)8

Exercise 2.3 - Powers RD Sharma Solutions | Mathematics (Maths) Class 8= Exercise 2.3 - Powers RD Sharma Solutions | Mathematics (Maths) Class 8

= Exercise 2.3 - Powers RD Sharma Solutions | Mathematics (Maths) Class 8


Q.8. Exercise 2.3 - Powers RD Sharma Solutions | Mathematics (Maths) Class 8is equal to

(a)Exercise 2.3 - Powers RD Sharma Solutions | Mathematics (Maths) Class 8

(b)Exercise 2.3 - Powers RD Sharma Solutions | Mathematics (Maths) Class 8

(c)Exercise 2.3 - Powers RD Sharma Solutions | Mathematics (Maths) Class 8

(d)Exercise 2.3 - Powers RD Sharma Solutions | Mathematics (Maths) Class 8

Ans: 

(c) (−5)5

We have:

Exercise 2.3 - Powers RD Sharma Solutions | Mathematics (Maths) Class 8

=Exercise 2.3 - Powers RD Sharma Solutions | Mathematics (Maths) Class 8

=Exercise 2.3 - Powers RD Sharma Solutions | Mathematics (Maths) Class 8

= Exercise 2.3 - Powers RD Sharma Solutions | Mathematics (Maths) Class 8

= Exercise 2.3 - Powers RD Sharma Solutions | Mathematics (Maths) Class 8

=Exercise 2.3 - Powers RD Sharma Solutions | Mathematics (Maths) Class 8


Q.9. Exercise 2.3 - Powers RD Sharma Solutions | Mathematics (Maths) Class 8 is equal to

(a) 4/25

(b) −4/25

(c) (−2/5)12

(d) 25/4

Ans: 

(a) 4/25

We have:

Exercise 2.3 - Powers RD Sharma Solutions | Mathematics (Maths) Class 8

=Exercise 2.3 - Powers RD Sharma Solutions | Mathematics (Maths) Class 8

=Exercise 2.3 - Powers RD Sharma Solutions | Mathematics (Maths) Class 8

=Exercise 2.3 - Powers RD Sharma Solutions | Mathematics (Maths) Class 8


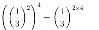
Q.10. Exercise 2.3 - Powers RD Sharma Solutions | Mathematics (Maths) Class 8 is equal to

a) (1/3)6

(b) (1/3)8

(c) (1/3)24

(d) (1/3)16

Ans:

(b) (1/3)8

We have:

Exercise 2.3 - Powers RD Sharma Solutions | Mathematics (Maths) Class 8Exercise 2.3 - Powers RD Sharma Solutions | Mathematics (Maths) Class 8

=Exercise 2.3 - Powers RD Sharma Solutions | Mathematics (Maths) Class 8


Q.11. Exercise 2.3 - Powers RD Sharma Solutions | Mathematics (Maths) Class 8is equal to

(a) 0

(b) 1/5

(c) 1

(d) 5

Ans: 

(c) 1

We have:

Exercise 2.3 - Powers RD Sharma Solutions | Mathematics (Maths) Class 8 --> (a0 = 1, for every non-zero rational number a.)


Q.12. Exercise 2.3 - Powers RD Sharma Solutions | Mathematics (Maths) Class 8 is equal to

(a) 2/3

(b) −2/3

(c) 3/2

(d) none of these

Ans:

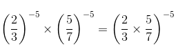
Exercise 2.3 - Powers RD Sharma Solutions | Mathematics (Maths) Class 8

We have:

Exercise 2.3 - Powers RD Sharma Solutions | Mathematics (Maths) Class 8Exercise 2.3 - Powers RD Sharma Solutions | Mathematics (Maths) Class 8

Exercise 2.3 - Powers RD Sharma Solutions | Mathematics (Maths) Class 8


Q.13.Exercise 2.3 - Powers RD Sharma Solutions | Mathematics (Maths) Class 8 is equal to

(a)Exercise 2.3 - Powers RD Sharma Solutions | Mathematics (Maths) Class 8

(b)Exercise 2.3 - Powers RD Sharma Solutions | Mathematics (Maths) Class 8

(c)Exercise 2.3 - Powers RD Sharma Solutions | Mathematics (Maths) Class 8

(d)Exercise 2.3 - Powers RD Sharma Solutions | Mathematics (Maths) Class 8

Ans:

Exercise 2.3 - Powers RD Sharma Solutions | Mathematics (Maths) Class 8

We have:

Exercise 2.3 - Powers RD Sharma Solutions | Mathematics (Maths) Class 8Exercise 2.3 - Powers RD Sharma Solutions | Mathematics (Maths) Class 8


Q.14. Exercise 2.3 - Powers RD Sharma Solutions | Mathematics (Maths) Class 8is equal to

Ans: 

(a) Exercise 2.3 - Powers RD Sharma Solutions | Mathematics (Maths) Class 8

We have;

Exercise 2.3 - Powers RD Sharma Solutions | Mathematics (Maths) Class 8Exercise 2.3 - Powers RD Sharma Solutions | Mathematics (Maths) Class 8


Q.15. For any two non-zero rational numbers a and b, a4 ÷ b4 is equal to

(a) (a ÷ b)1

(b) (a ÷ b)0

(c) (a ÷ b)4

(d) (a ÷ b)8

Ans: 

Exercise 2.3 - Powers RD Sharma Solutions | Mathematics (Maths) Class 8

This is one of the basic exponential formulae, i.e.Exercise 2.3 - Powers RD Sharma Solutions | Mathematics (Maths) Class 8


Q.16. For any two rational numbers a and b, a5 × b5 is equal to

(a) (a × b)0

(b) (a × b)10

(c) (a × b)5

(d) (a × b)25

Ans: 

(c) (a x b)5

an x bn = (a x b)n

Hence,

a5 x b5 = (a x b)5


Q.17. For a non-zero rational number a, a7 ÷ a12 is equal to

(a) a5

(b) a−19

(c) a−5

(d) a19

Ans: 

(c) a−5

Exercise 2.3 - Powers RD Sharma Solutions | Mathematics (Maths) Class 8

Hence,

Exercise 2.3 - Powers RD Sharma Solutions | Mathematics (Maths) Class 8


Q.18. For a non zero rational number a, (a3)−2 is equal to

(a) a9

(b) a−6

(c) a−9

(d) a1

Ans: 

(b) a−6

Exercise 2.3 - Powers RD Sharma Solutions | Mathematics (Maths) Class 8

= a-6Exercise 2.3 - Powers RD Sharma Solutions | Mathematics (Maths) Class 8

The document Exercise 2.3 - Powers RD Sharma Solutions | Mathematics (Maths) Class 8 is a part of the Class 8 Course Mathematics (Maths) Class 8.
All you need of Class 8 at this link: Class 8
81 videos|423 docs|31 tests

FAQs on Exercise 2.3 - Powers RD Sharma Solutions - Mathematics (Maths) Class 8

1. What is the importance of powers in mathematics?
Ans. Powers play a crucial role in mathematics as they help simplify complex calculations and represent repeated multiplication. They are used to express large numbers in a compact form and are fundamental in several mathematical concepts and equations.
2. How do you calculate the power of a number?
Ans. To calculate the power of a number, you need to multiply the base number by itself the number of times indicated by the exponent. For example, to find the power of 2 raised to the exponent of 3 (2^3), you would multiply 2 by itself three times (2 × 2 × 2 = 8).
3. What is the significance of the exponent in a power?
Ans. The exponent in a power represents the number of times the base number is multiplied by itself. It indicates the number of times the base is multiplied to obtain the result. The exponent determines the value and magnitude of the power.
4. How do you simplify expressions involving powers?
Ans. To simplify expressions involving powers, you need to apply the rules of exponents. These rules include multiplying powers with the same base, dividing powers with the same base, and raising a power to another power. By applying these rules, you can simplify complex expressions and make calculations easier.
5. How are powers used in real-life situations?
Ans. Powers are used in various real-life situations, such as scientific notations, computing large numbers, calculating compound interest, and representing population growth. They are also used in physics, engineering, and other scientific fields to express quantities with large or small values efficiently.
Related Searches

Extra Questions

,

Semester Notes

,

Summary

,

MCQs

,

Important questions

,

Exercise 2.3 - Powers RD Sharma Solutions | Mathematics (Maths) Class 8

,

Exercise 2.3 - Powers RD Sharma Solutions | Mathematics (Maths) Class 8

,

Viva Questions

,

past year papers

,

mock tests for examination

,

ppt

,

practice quizzes

,

video lectures

,

pdf

,

Objective type Questions

,

Exercise 2.3 - Powers RD Sharma Solutions | Mathematics (Maths) Class 8

,

study material

,

Exam

,

Free

,

shortcuts and tricks

,

Sample Paper

,

Previous Year Questions with Solutions

;