Mechanical Engineering Exam  >  Mechanical Engineering Notes  >  Solid Mechanics  >  Torsion of Circular Shafts

Torsion of Circular Shafts

Uniform Torsion

  1. Torsion of Shaft and Combined Stresses
    Torsion means twisting a structural Member when it is loaded by a couple that Produces rotation about the longitudinal axis.
    If  τ be the intensity of shear stress, on any layer at a distance r from the centre of shaft, then
    τ/ r = T / J = Gθ / l
    Uniform Torsion
  2. Sign Convention
    (i) Sign convention of torque can be explained by right hand thumb rule.
    (ii) A positive torque is that in which there is tightening effect of nut on the bolt. From either side of the cross-section. If torque is applied in the direction of right hand fingers than right hand thumbs direction represents movement of the nut.
    Uniform Torsion TMD = Torsion moment diagram
    T = Torque
    Total angle of twist :
    θ = Tl / GJ
    Where, T = Torque,
    J = Polar moment of inertia
    G = Modulus of rigidity,
    θ = Angle of twist
    L = Length of shaft,
    GJ = Torsional rigidity
    GJ / l → Torsional stiffness;
    l / GJ → Torsional flexibility
    EA / l → Axial stiffness
    l / EA → Axial flexibility
  3. Moment of Inertia About polar Axis
    (i) For solid circular shaft:
    Uniform Torsion 
    (ii) For hollow circular shaft:
    Uniform Torsion
  4. Power Transmitted in the Shaft
    (i) Power transmitted by shaft:
    P = (2πNT / 60000)kW
    Where, N = Rotation per minute.
  5. Compound Shaft
    An improved type of compound coupling for connecting in series and parallel are given below
    (i) Series connection: Series connection of compound shaft as shown in figure. Due to series connection the torque on shaft 1 will be equal to shaft 2 and the total angular deformation will be equal to the sum of deformation of 1st shaft and 2nd shaft.
    Uniform Torsionθ = θ1 + θ2
    T = T+ T2
    Therefore,
    θ = TL1 / G1J1 + TL2 / G2J2 
    Where,
    θ= Angular deformation of 1st shaft
    θ2 = Angular deformation of 2nd shaft
    (ii) Parallel connection: Parallel connection of compound shaft as shown in figure. Due to parallel connection of compound shaft the total torque will be equal to the sum of torque of shaft 1 and torque of shaft 2 and the deflection will be same in both the shafts.
    Uniform Torsion θ= θ2
    T = T1 + T2
    Therefore,
    T1L / G1J1 = T2L / G2J2
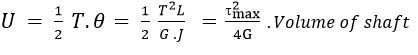
  6. Strain energy (U) stored in shaft due to torsion
    Uniform Torsion
     
    (i) G = Shear modulus
    (ii) T = Torque
    (iii) J = Moment of inertia about polar axis
  7. Effect of Pure Bending on Shaft
    The effect of pure bending on shaft can be defined by the relation for the shaft,
    Uniform Torsion 
    σ = 32M / πD3
    Where, σ = Principal stress
    D = Diameter of shaft
    M = Bending moment
  8. Effect of Pure Torsion on Shaft
    It can be calculated by the formula, which are given below
    Uniform Torsionτmax = 16T/πD3
    Where, τ = Torsion
    D = Diameter of shaft
  9. Combined effect of bending and torsion
    Uniform Torsion (i) Principal stress
    Uniform Torsion
    (ii) Maximum shear stress
    Uniform Torsion
    (iii) Equivalent bending moment
    Uniform Torsion
    (iv) Equivalent torque
    Uniform Torsion
  10. Shear Stress Distribution
    (i) Solid Circulation Section:
    Uniform Torsion(ii) Hollow Circulation Section
    Uniform Torsion(iii) Composite Circular Section
    Uniform Torsion(iv) Thin Tubular section: In view of small thickness-shear stress is assumed to be uniform.
The document Torsion of Circular Shafts is a part of the Mechanical Engineering Course Solid Mechanics.
All you need of Mechanical Engineering at this link: Mechanical Engineering

FAQs on Torsion of Circular Shafts

1. What is torsion and how does it affect circular shafts?
Ans. Torsion refers to the twisting of a circular shaft due to an applied torque or twisting moment. It causes shear stress to be distributed throughout the shaft, resulting in deformation and potential failure. Torsion can lead to fatigue, reduced strength, and ultimately, structural failure in circular shafts.
2. How can the torsional strength of a circular shaft be calculated?
Ans. The torsional strength of a circular shaft can be calculated using the formula T = (π/16) × τ_max × d^3, where T represents the torsional strength, τ_max is the maximum shear stress, and d is the diameter of the shaft. This formula assumes that the shaft is solid and made of a homogeneous material.
3. What are some factors that influence the torsional strength of circular shafts?
Ans. Several factors influence the torsional strength of circular shafts, including the material properties (such as yield strength and modulus of elasticity), shaft geometry (such as diameter and length), and the applied torque or twisting moment. Additionally, the presence of keyways, notches, or holes in the shaft can significantly affect its torsional strength.
4. What are the consequences of exceeding the torsional strength of a circular shaft?
Ans. Exceeding the torsional strength of a circular shaft can lead to various consequences. These include permanent deformation, cracking, and eventual failure of the shaft. Additionally, excessive torsional stress can cause vibrations, noise, and reduced performance of the shaft and any connected components or machinery.
5. Can the torsional strength of a circular shaft be improved?
Ans. Yes, the torsional strength of a circular shaft can be improved by using materials with higher strength properties, increasing the diameter of the shaft, and optimizing the shaft's geometry to minimize stress concentrations. Additionally, reinforcing the shaft with additional supports or using design techniques like filleting can enhance its torsional strength.
Explore Courses for Mechanical Engineering exam
Get EduRev Notes directly in your Google search
Related Searches
Torsion of Circular Shafts, Free, shortcuts and tricks, Summary, pdf , Torsion of Circular Shafts, Torsion of Circular Shafts, Extra Questions, practice quizzes, Previous Year Questions with Solutions, video lectures, MCQs, ppt, Exam, mock tests for examination, Important questions, Sample Paper, Objective type Questions, study material, Semester Notes, past year papers, Viva Questions;