At a point within a soil mass, stresses develop due to the weight of the soil above that point and due to any external loads applied to the ground surface or within the soil. Vertical stress increments in the ground are central to settlement and bearing capacity problems in geotechnical engineering.
Stress in the soil may be caused by:

When the surface loading area is finite (for example point, circular, strip, rectangular or square loaded areas), the vertical stress increment in the subsoil decreases with increasing depth and with increasing horizontal distance from the loaded area. Several analytical and approximate methods exist to estimate the vertical stress increment beneath different shaped loaded areas.

Purpose: The solution for a point (concentrated) load on the surface of a soil mass is a fundamental solution. It is used as the building block to obtain stresses under finite loaded areas by integration or superposition.

Boussinesq vertical stress expression:
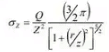
The vertical stress increment at a point located at depth z and radial distance r from the axis of a point load Q applied at the surface is
σz = (3Q / 2π) · (z³ / (r² + z²)^(5/2))
Define R = √(r² + z²). The expression may be written in terms of R as above. For convenience this is often written as
σz = KB · (Q / z²)
where KB is the Boussinesq influence factor that depends only on the ratio r / z:
KB = (3 / 2π) · (1 / (1 + (r / z)²)^(5/2))


On axis (r = 0):
σz = (3Q) / (2π z²) ≈ 0.4775 · (Q / z²)


Physical basis: Westergaard proposed a solution that is appropriate for soils that behave as a system of vertical sheets or columns-this model reduces the lateral interaction of stress and is useful for layered or reinforced soils where the assumption of isotropy may be invalid.
Westergaard's vertical stress expression (point load):
σz = kw · (Q / z²)
where kw is a function of the ratio r / z under Westergaard's assumptions. On the axis (r = 0) the Westergaard factor is
kw|r=0 = 1 / π ≈ 0.3183





For a uniform circular loaded area, one convenient form of the expression is
σz = q · (1 - cos³θ)
where θ is the half-angle subtended at the point by the loaded area (cosθ determined by geometry of load and depth).


Key idea: Newmark (1942) developed an influence chart based on the Boussinesq solution that permits calculation of the vertical stress increase at a point underneath an arbitrarily shaped uniformly loaded area by simple superposition.
Influence of each sector = 1 / (total number of sectors) = 0.005 (for 200 sectors)
σz = 0.005 · q · NA where NA is the number of sectors covered by the projected loaded area on the chart.

When exact integration is inconvenient, approximate methods are used to estimate vertical stresses beneath finite loads. Common approximate methods include the Equivalent Load Method, Trapezoidal Method and Stress Isobar Method.
Replace the actual loaded area by a number of simpler elemental loads (point loads or circular areas), obtain vertical stress due to each element using an appropriate influence factor (for example Boussinesq or Westergaard), and superpose the results:
σz = σz1 + σz2 + σz3 + ...
where σzi = KBi · (Qi / z²) for Boussinesq-based elements, and Qi are the equivalent concentrated loads representing the actual distribution.

This method approximates the stress distribution by assuming an influence depth and linear variation in plan dimensions with depth (equivalent to sloping the loaded area sides at a specified slope η). For example, for a rectangular loaded area B × L with pressure q the approximate stress at depth z may be written as
σz = q · (B × L) / ((B + 2ηz)(L + 2ηz))
For the frequently used slope values the expressions simplify, e.g. for η = 1 (1H : 1V) the denominators become (B + 2z)(L + 2z) etc. The trapezoidal method provides a quick estimate but should be used with caution for deep or highly non-uniform loadings.

Contours (isobars) of equal vertical stress increment in plan are determined, and an area bounded by a selected isobar (for example the 0.2q isobar) is taken as the effective loaded area contributing to the stress at the depth of interest. The approximate rule uses the fact that stresses at depth are significantly influenced by a limited area around the vertical projection of the point.
0.2q indicates the 20% stress isobar used in some approximate procedures.

Q. A concentrated load of 22.5 KN acts on the surface of a homogeneous soil mass of large extent. Find the stress intensity at a depth of 15 metres and (i) directly under the load, and (ii) at a horizontal distance of 7.5 metres. Use Boussinesq's equations.
Ans:

According to Boussinesq's theory the vertical stress at depth z and radial distance r is given by
σz = KB · (Q / z²)
(i) Directly under the load (r = 0):
r = 0 ⇒ r / z = 0
Given: z = 15 m, Q = 22.5 kN = 22.5 × 10³ N
On-axis influence factor KB = 3 / (2π) ≈ 0.4775
Compute the vertical stress:
σz = 0.4775 · (Q / z²)
σz = 0.4775 · (22.5 × 10³ / 15²)
σz = 0.4775 · (22.5 × 10³ / 225)
σz = 0.4775 · 100 = 47.75 N/m²

(ii) At a horizontal distance r = 7.5 m (z = 15 m):
r = 7.5 m, z = 15 m ⇒ r / z = 0.5
Compute the influence factor for r / z = 0.5 using the Boussinesq formula for KB:
KB = (3 / 2π) · (1 / (1 + (r / z)²)^(5/2))
KB = 0.4775 / (1 + 0.5²)^(5/2) = 0.4775 / (1.25)^(2.5)
KB ≈ 0.4775 / 1.7463 ≈ 0.2735
Now compute σz:
σz = 0.2735 · (22.5 × 10³ / 225)
σz = 0.2735 · 100 ≈ 27.35 N/m²

Result: (i) σz directly under the load at 15 m depth ≈ 47.75 N/m². (ii) σz at 15 m depth and 7.5 m horizontal distance ≈ 27.33-27.35 N/m².
Key terms: vertical stress, stress increment, Boussinesq, Westergaard, Newmark chart, influence factor, semi-infinite elastic medium, equivalent load method, trapezoidal method, stress isobar.
| 1. What is vertical stress in ground in civil engineering? | ![]() |
| 2. How is vertical stress in ground calculated in civil engineering? | ![]() |
| 3. What are the factors influencing vertical stress in ground in civil engineering? | ![]() |
| 4. How does vertical stress in ground affect civil engineering projects? | ![]() |
| 5. How can vertical stress in ground be managed in civil engineering? | ![]() |